Материал: Соревновательная деятельность пловцов

Внимание! Если размещение файла нарушает Ваши авторские права, то обязательно сообщите нам

Соревновательная деятельность пловцов

ОГЛАВЛЕНИЕ

Введение

Глава 1. Соревновательная деятельность пловца и её поведенческая структура

Глава 2. Спортивная техника и тактика соревновательной деятельности пловца

Глава 3. Требования к физическим и психическим возможностям пловца

Заключение

Список литературы

ВВЕДЕНИЕ

Актуальность работы. Одним из основных направлений совершенствования системы спортивной тренировки в современном плавании является построение тренировочного процесса с учетом анализа структуры соревновательной деятельности и специальной подготовленности. Изучению структуры соревновательной деятельности пловцов в последние десятилетия уделяется большое внимание. Благодаря проведенным многочисленным исследованиям на сегодняшний день определены основные компоненты соревновательной деятельности: 1) старт, уровень дистанционной скорости, поворот, финиш; 2) интегральные качества, определяющие эффективность действий пловца при выполнении основных составляющих соревновательной деятельности; 3) основные функциональные параметры и характеристики, определяющие уровень развития интегральных качеств. Однако, как показал анализ специальной литературы, большинство этих работ связаны с изучением структуры соревновательной деятельности пловцов-спринтеров. В то время как анализ структуры соревновательной деятельности спортсменов, специализирующихся в плавании на средних и длинных дистанциях, на настоящий момент является недостаточно полным и требует более пристального внимания. Одним из основных элементов при планировании и управлении подготовкой спортсменов является информация о тенденциях, влияющих на рост результатов в конкретном виде спорта и особенностях соревновательной деятельности представителей спортивной элиты [8]. Поэтому данная тема является актуальной и интересной.

Объект исследования: соревновательная деятельность пловцов.

Предмет исследования: особенности соревновательной деятельности, спортивная тактика и техника пловцов, требования к психическим и физическим возможностям пловцов.

Цель исследования: изучить особенности соревновательной деятельности пловцов.

Задачи исследования:

.        Изучить соревновательную деятельность пловцов и её поведенческую структуру.

.        Анализировать спортивную технику и тактику соревновательной деятельности пловцов.

.        Рассмотреть требования к физическим и психическим возможностям пловца.

Методы исследования: анализ литературных источников по данной теме, обобщение, абстрагирование, синтез.

Структура работы. Работа написана на 26 листах печатного текста. Работа содержит введение, 3 главы, заключение и список использованной литературы.

ГЛАВА 1. СОРЕВНОВАТЕЛЬНАЯ ДЕЯТЕЛЬНОСТЬ ПЛОВЦА И ЕЁ ПОВЕДЕНЧЕСКАЯ СТРУКТУРА

Анализ соревновательной деятельности пловца осуществляется по следующим параметрам: время и скорость преодоления стартового, финишного, поворотных отрезков, участков дистанционного плавания. Так же измеряется темп и «шаг» цикла гребковых движений. При использовании термина «соревновательная деятельность» пловца следует понимать действия спортсмена в соревновательном заплыве от момента стартового сигнала до момента касания им финишного щита. Так как арсенал технических действий в плавании очень ограничен, спортивный результат может рассматриваться как сумма длительности отдельных действий на дистанции - старта, «чистого» плавания, поворотов (если необходимы) и финиша [5].

Рис.1. Компоненты соревновательной деятельности пловца при проплывании дистанций 50 м (А), 100 м (Б), 200 м и более (В).

С помощью этих показателей оценивалась эффективность важнейших составляющих соревновательной деятельности, выявлялись сильные и слабые стороны каждого спортсмена, определялись индивидуальные резервы дальнейшего роста мастерства. Этому способствовало также определение темпа и шага гребков. Вместе с тем, нельзя не увидеть, что приведенная система контроля соревновательной деятельности носит слишком общий характер и не позволяет достаточно полно охарактеризовать ее структуру, хотя, к сожалению, до сих пор используется в практике спорта высших достижений (Haljaud, 1999).

Эффективная оценка соревновательной деятельности требует дифференцированного подхода к различным дистанциям (рис. 2). В частности для оценки эффективности соревновательной деятельности на дистанции 50 м рекомендуются следующие показатели: 1 - время сложной реакции на старте (время от подачи стартового сигнала до отрыва ног пловца от стартовой тумбы), с; 2 - скорость на 10 - метровом стартовом участке, м • с-1; 3- скорость на первом участке дистанционного плавания от 10 до 25 м, м • с-1; 4 - скорость на втором участке дистанционного плавания 25 - 40 м, м • с-1; 5 - скорость на 10-метровом финишном отрезке, м • с-1 [18].

Рис. 2. Влияние различных показателей соревновательной деятельности на спортивный результат (мужчины, 50 м вольным стилем, %).

Соревновательная деятельность пловца на дистанции 100 м оценивается по таким показателям: 1 - время сложной реакции на старте, с; 2  - скорость на 10-метровом стартовом участке, м • с-1; 3- скорость на первом участке дистанционного плавания от 10 до 25 м, м • с-1; 4 - скорость на втором участке дистанционного плавания 25 - 42,5 м, м • с-1; 5 - скорость на 7,5-метровом участке подплывания к поворотному щиту, м • с-1; 6- скорость на 7,5-метровом участке при отплывании от поворотного щита, м • с-1; 7- скорость на третьем участке дистанционного плавания 57,5 - 75 м, м • с-1; 8- скорость на четвертом участке дистанционного плавания - 75-90 м, м • с-1; 8- скорость на 10-метровом финишном отрезке, м • с-1 (рис.3) [20].

Оценка соревновательной деятельности на 200-метровой дистанции осуществляется аналогично за исключением того, что дистанционная скорость может измеряться как на 25-, так и на 50-метровых отрезках.

Рис.3. Влияние различных показателей соревновательной деятельности на спортивный результат (мужчины, 100 м вольным стилем, %).

В частности, регистрируются следующие показатели: 1- время сложной реакции на старте, с; 2 - скорость на 10-метровом стартовом участке, м • с-1; 3- скорость на первом участке дистанционного плавания (10 - 42,5 м), м • с~1; 4 - скорость на 7,5-метровом участке подплывания к поворотному щиту, м • с-1; 5 - скорость на 7,5-метровом участке при отплывании от поворотного щита, м • с-1; 6 - скорость на втором участке дистанционного плавания (57,5 - 92,5 м), м • с-1; 7 - скорость на 7,5-метровом участке при подплывании к поворотному щиту, м • с-1; 8 - скорость на 7,5-метровом участке при отплывании от поворотного щита, м • с-1; 9 - скорость на третьем участке дистанционного плавания (107,5-142,5 м), м • с-1; 10 - скорость на 7,5-метровом участке при подплывании к поворотному щиту, м • с-1; 11 - скорость на 7,5-метровом участке при отплывании от поворотного щита, м • с-1; 12 - скорость на четвертом отрезке (157,5-190 м) дистанционного плавания (7,5 - 40 м), м • с-1; 13 - скорость на 10-метровом финишном отрезке, м • с-1 [1].

Рис.3. Влияние различных показателей соревновательной деятельности на спортивный результат (мужчины, 200 м вольным стилем, %).

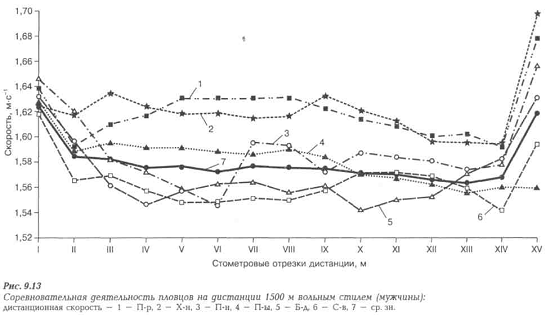
Таким же образом оценивается соревновательная деятельность при проплывании дистанций 400, 800 и 1500 м (рис. 4 и 5) [16].

В зависимости от длины дистанции следует дифференцированно подходить к оценке эффективности финиша. Если при проплывании дистанции 100 м это делается по времени преодоления заключительного 10-метрового отрезка, то на более длинных дистанциях оценивается, соответственно, более длинный отрезок: на дистанции 200 м - 25 м, 400 м - 50 м, 800 м - 100 м, 1500 м - 200 м. Эффективность старта в значительной мере определяется техникой его выполнения, способностью к быстрому реагированию на звуковой сигнал, к быстрому выполнению одиночного движения со сложной координационной структурой, скоростными и скоростно-силовыми возможностями, в первую очередь мышц - разгибателей нижних конечностей [5].

Рис.4. Соревновательная деятельность пловцов на дистанции 400 м вольным стилем (мужчины): выполнение поворотов (1-7 - повороты).

Рис.5. Соревновательная деятельность пловцов вольным стилем на дистанции 1500 м (мужчины).

Проведенными ранее исследованиями было установлено, что длительность старта в плавании имеет сильную корреляционную связь с конечным результатом на дистанции (Arellano и др., 1994; Arellano и др., 1996; Cossor&Masson, 2001; Blanksby и др., 2001; Скирене и др., 2006; Скирене, Зуозене, 2009). Стартовый отрезок является уникальным для каждого пловца при выполнении каждого старта и это затрудняет сравнение показателей у разных спортсменов, поэтому международные правила соревнования обязывают спортсменов показаться на поверхности воды при пересечении 15-ти метровой (от стартовой линии) отметки. Этот отрезок в плавании считается стартовым. Спортсмены, которые при выполнении старта большую часть отрезка преодолевают под водой, могут развить более высокую скорость (Cossor&Masson, 2001). Таким образом, преимущество перед соперниками имеют те, чьи физические данные и соответствующая подготовленность позволяет большую часть отрезка двигаться в подводном положении [12].

Проведенными ранее исследованиями установлено, что спортивный результат в плавании находится в довольно большой зависимости от средней длины гребка (r=-0,76) (Kennedy и др., 1990). В свою очередь уровень корреляционной связи между длиной гребка и темпом движений на дистанциях разной длины может достигать 0,8. Чаще всего при увеличении одного Mason & Cossor (2001) установили, что время преодоления поворотов на дистанциях проявляет корреляционную связь со средней скоростью плавания (r=0,53 и r=0,67 соответственно). Повышение скорости за счет удлинения гребка - именно тот путь, которым следует идти, желая достичь более высоких результатов в плавании. Подготовка именно такой направленности преобладает в тренировочном процессе элиты Европы на протяжении двух последних олимпийских циклов [3].

Исследованиями Mason и Cossor (2001) установлено, что наибольшее влияние на конечный результат на дистанциях оказывает средняя скорость, которую спортсмен пловец развивает на дистанции (r=0,71 и r=0,78 соответственно) и финишном отрезке (r=0,69 и r=0,61 соответственно). На протяжении рассматриваемого периода средняя скорость на обеих дистанциях возрастает, однако в тактике проплывания преобладают различные тенденции. Желание спортсменов удлинить часть дистанции, которую можно преодолеть вод водой, не оставит в стороне и технику и тактику выполнения поворотов. Чем длиннее сама дистанция, тем больше возможность сделать это, так как увеличивается количество поворотов, которые будет выполнять пловец [20].

Наибольшее влияние на положительную динамику спортивного результата на дистанции пловцов оказывает возросшая средняя скорость на дистанции, скорость преодоления стартового отрезка, скорость выполнения поворота и преодоления финишного отрезка. На положительную динамику результатов более длинных дистанций (200-400м) оказывают влияние те же показатели, за исключением скорости финиша [2].

Преимущественное значение в финишной зоне получили: выносливость, скорость, сила, координация. Поскольку все проявления двигательной деятельности осуществляются одними и теми же физиологическими механизмами, стимулируются одними и теми же нервными центрами, то, следовательно, такая деятельность пловцов в финишной зоне есть не что иное, как поведенческий акт, который имеет сложную нейрофизиологическую организацию и преломляется в практику на основе психомоторных проявлений [15].

В подготовке спортсменов пловцов должна проводиться направленная работа, которая позволила бы им концентрировать усилия на финише и, соответственно, уменьшать время преодоления финишного отрезка. Пловцы могут очень существенно отличаться по эффективности выполнения тех или иных компонентов соревновательной деятельности. Одни отличаются эффективностью старта и высокой скоростью в начале дистанции, другие имеют преимущество во второй половине дистанции и на финише, третьи относительно равномерно подготовлены к выполнению всех компонентов дистанции [17].

ГЛАВА 2. СПОРТИВНАЯ ТЕХНИКА И ТАКТИКА СОРЕВНОВАТЕЛЬНОЙ ДЕЯТЕЛЬНОСТИ ПЛОВЦА

Техника плавания состоит из многих элементов, и спортсмен не в состоянии сознательно контролировать сразу все их. Лучше всего спортсмену во время упражнения сосредоточить внимание на правильном выполнении одного или двух элементов техники. Наиболее важные элементы техники связаны с движениями под водой. Существенными элементами техники плавания, являются такие как, высокое положение локтя, гребок правильной формы и т. п. Необходимо работать и над сравнительно второстепенными деталями движений, например над сомкнутым положением пальцев руки во время гребка [4].

Спортсмены, должны выполнять упражнения, помогающие им овладеть правильной техникой плавания. Если пловцы упражняются на изокинетических установках, нужно, чтобы они имитировали основные элементы техники плавания, такие, как гребок рукой, согнутой в локтевом суставе, высокое положение локтя, правильная траектория движения руки во время гребка и т. д. Слабо подготовленный в силовом отношении спортсмен не сможет поддерживать правильную технику продолжительное время. У него просто не хватит сил справляться с сопротивлением воды, которое возникает на ладони во время гребка, и по мере того, как тренировочное занятие будет продолжаться, техника спортсмена плавания будет становиться все хуже и хуже. Однако если данный пловец повысит уровень силовых качеств, он сможет плавать технично и в течение длительного времени. Спортсмен должен стремиться сохранить необходимую технику движений даже в период наступления острого утомления - это поможет ему совершенствовать свое техническое мастерство в условиях, близких к соревновательным. Например, если при наступлении утомления пловец выполняет гребок с опущенным локтем и не пытается удержать его в необходимом положении, то он не тренирует силу и выносливость мышц-вращателей плеча, а значит, не сможет на соревнованиях удержать этот рациональный элемент техники гребка до конца дистанции. Спортсменам необходимо выполнять на суше имитационные упражнения на технику плавания перец зеркалом [12].

Тренер не должен быть педантом в отношении техники своих учеников. Он должен обращать их внимание, прежде всего, на существенные элементы техники плавания, такие, как высокое положение локтя, гребок правильной формы и т. п. Конечно, надо работать и над сравнительно второстепенными деталями движений, например нал сомкнутым положением пальцев руки во время гребка. Тренер должен отличать наиболее действенные стороны технического мастерства пловца от несущественных, вникать в суть закономерностей, которым подчиняются движения спортсмена, и прежде всего его движения в воде. Это требует изучения законов физики, наблюдения за техникой плавания наиболее одаренных пловцов и проверки вновь полученных званий в своей тренерской практике [15].

Тренер никогда не должен принуждать пловца к овладению косным, шаблонным вариантом техники. Он должен позволить ему варьировать своими плавательными движениями, выполнять их в зависимости от индивидуальных особенностей плавучести, развития силы и гибкости. Образец гребка, который эффективен для одного пловца, может оказаться малопригодным для другого, более или менее сильного по сравнению с первым. Но не надо забывать и о том, что большинство пловцов никогда не сможет освоить рациональную технику плавания только путем проб и ошибок, без непосредственной помощи тренера. Тренер должен направлять учебный процесс, обращая внимание пловца па определенные стороны техники плавания. Он должен требовать от спортсменов, чтобы они выполняли упражнения, помогающие им овладеть правильной техникой плавания. Если пловцы упражняются на изокинетичесих установках, тренер должен следить, чтобы они имитировали основные элементы техники плавания, такие, как гребок рукой, согнутой в локтевом суставе, высокое положение локтя, правильная траектория движения руки во время гребка и т. д. Ведь, слабо подготовленный в силовом отношении спортсмен не сможет поддерживать правильную технику продолжительное время. У него просто не хватит сил справляться с сопротивлением воды, которое возникает на ладони во время гребка, и по мере того, как тренировочное занятие будет продолжаться, его техника плавания будет становиться все хуже и хуже. Однако если данный пловец повысит уровень силовых качеств, он сможет плавать технично и в течение длительного времени. Спортсмен должен стремиться сохранить необходимую технику движений даже в период наступления острого утомления - это поможет ему совершенствовать свое техническое мастерство в условиях, близких к соревновательным. Например, если при наступлении утомления пловец выполняет гребок с опущенным локтем и не пытается удержать его в необходимом положении, то он не тренирует силу и выносливость мышц-вращателей плеча, а значит, не сможет на соревнованиях удержать этот рациональный элемент техники гребка до конца дистанции [10].

Тренер должен давать спортсменам задания выполнять на суше имитационные упражнения на технику плавания перед зеркалом. Использовать образные выражения, побуждающие спортсмена создавать свои двигательные представления о технике движений. Время от времени давать ему задания по технике примерно в следующей формулировке: «Во время плавания скользите по воле легко, как будто над телом - это легкое каноэ». Важно предоставлять возможность пловцам работать над техникой плавания друг с другом, как бы дублируя учебный процесс [19].