Материал: Социально-экономический анализ конкурентоспособности предприятий в России

Внимание! Если размещение файла нарушает Ваши авторские права, то обязательно сообщите нам

Социально-экономический анализ конкурентоспособности предприятий в России

Содержание

Введение

1. Теоретические основы социально-экономического анализа конкурентоспособности предприятий

1.1 Сущность, значение, задачи статистической оценки конкурентоспособности в предприятиях

1.2 Методика статистической оценки показателей конкурентоспособности

2. Социально-экономический анализ конкурентоспособности предприятий в России

2.1 Статистическая оценка состава, структуры торговых предприятий России

2.2 Статистическая оценка динамики развития торговых предприятий

2.3 Особенности изучения Российских конкурентоспособных предприятий

3. Направление совершенствования системы статистической оценки конкурентоспособности предприятий России

Заключение

Список литературы

Введение


Обеспечение конкурентоспособности объективно является основной стратегической задачей любого предприятия. Известно, что уровень конкурентоспособности определяется большим числом факторов, соответственно, могут быть выделены и различные направления в решении этой задачи.

Экономический кризис серьезно усложнил реализацию производственно-экономических программ предприятий. Но одновременно, обострив конкурентную борьбу, кризис показал исключительную роль активной рыночной политики предприятия при постоянно возрастающей эффективности его деятельности. Фундаментальный подход к реализации этих требований и, соответственно, к обеспечению конкурентоспособности базируется на освоении новых эффективных форм организации производственного процесса фирмы и методов производственного менеджмент <#"822356.files/image001.gif">

 (3.1.1)

 - конкурентоспособность предприятия;i - удельный вес i-го вида продукции в общем объеме продаж;i - конкурентоспособность i-го вида продукции.

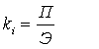
Расчет показателя конкурентоспособности по каждому виду продукции ведется с использованием экономического и параметрического индексов:

 (3.1.2)


i - конкурентоспособность i-го вида продукции;

П - параметрический индекс;

Э - экономический индекс.

Параметрический индекс отражает оценку совокупности свойств (параметров) анализируемой продукции относительно конкурирующей (эталонной) продукции и определяется путем суммирования частных параметрических индексов по каждому оцениваемому параметру анализируемого вида продукции с учетом соответствующих весовых коэффициентов:

 (3.1.3)



П - параметрический индекс;i - весовой коэффициент i-го параметра;i - частный параметрический индекс i-го параметра продукции.

В свою очередь каждый из частных индексов по соответствующему параметру рассчитывается как отношение фактического значения оцениваемого параметра анализируемой продукции к значению соответствующего показателя конкурирующей продукции (либо эталонной продукции, выбранной за базу сравнения). Перечень оцениваемых параметров продукции, а также весовой коэффициент каждого из параметров устанавливаются экспертным путем.

 (3.1.4)


i - частный параметрический индекс i-го параметра продукции;а - фактическое значение оцениваемого параметра;э - эталонное значение оцениваемого параметра.

Экономический индекс определяется как отношение совокупных затрат потребления анализируемой продукции к совокупным затратам потребления конкурирующей (эталонной) продукции.

 (3.1.5)


Э - экономический индекс;

За - совокупные затраты потребления анализируемой продукции;

Зэ - эталонные затраты потребления.

В состав совокупных затрат потребления включается как стоимость приобретения самой продукции, так и затраты на ее эксплуатацию, приобретение расходных материалов, обслуживание (включая ремонты) и утилизацию.

Матричные методы

Первыми инструментами оценки конкурентоспособности хозяйствующих субъектов через призму стратегического менеджмента можно признать "матричные" методы, разработанные в 1960-х гг. американскими консалтинговыми компаниями. Свое название эти модели получили в силу использования матричной формы отображения результатов оценки и анализа. Другой характерной чертой данной группы методов явился ярко выраженный акцент на маркетинговой оценке деятельности предприятия, в результате чего компания рассматривается как совокупность различных бизнес-единиц (продуктовый портфель).

В числе матричных моделей в первую очередь необходимо выделить разработки Бостонской консалтинговой группы (Boston Consulting Group, далее - также БКГ), прославившейся матрицей "Относительная доля рынка" - "Темпы роста рынка". В основе методики лежат две концепции: кривой опыта (согласно которой предприятия, имеющие бoльшую долю рынка, минимизируют свои издержки), а также жизненного цикла товара (согласно которой наибольшие перспективы имеют растущие сегменты рынка) [24, с.66].

Исходя из указанных концепций, бизнес-единицы предприятия дифференцируются с точки зрения относительной доли рынка (по одной оси координат) и темпов роста соответствующих рынков (по другой оси). При этом относительная доля рынка - это отношение доли данного предприятия к доле крупнейшего конкурента на рынке соответствующей отрасли (доли измеряют в натуральных единицах продукции). Заметим, что обладание высокой долей рынка, согласно концепции кривой опыта должно приводить к минимальному (относительно конкурентов) уровню издержек и максимальному уровню прибыли.

Темпы роста рынка оцениваются относительно среднеотраслевых (среднерыночных) величин: хозяйственные единицы, где темпы роста выше, чем в экономике в целом, должны попасть в ячейки "быстрого роста", а в отраслях, которые растут медленнее, - в ячейки "медленного роста". Продукты, имеющие высокую долю на растущих рынках ("звезды"), - усиливают конкурентные позиции компании; низкую долю на стагнирующих рынках ("собаки") - ослабляют. На поле матрицы бизнес-единицы обозначаются как круги в соответствующих квадрантах (площадь кругов пропорциональна масштабам деятельности бизнес-единиц).

Популярность матричных инструментов анализа в свое время была столь велика, что впоследствии появилось множество вариаций на эту тему, отличающихся как критериями дифференциации (системами координат), так и степенью дифференциации (размерностью матриц). Кратко охарактеризуем другие известные матричные модели.

На сегодняшний день существует множество всевозможных матриц стратегического менеджмента, которые в той или иной степени являются развитием рассмотренных выше моделей.

К достоинствам матричных методов оценки конкурентоспособности следует отнести их простоту и наглядность. При наличии необходимой информации матричные модели позволяют обеспечить высокую достоверность оценки конкурентных позиций продуктового портфеля предприятия [24, с.67].

Операционные методы

Выделение операционных методов как самостоятельного инструмента оценки конкурентоспособности хозяйствующих субъектов происходило как развитие инструментария матричных моделей стратегического планирования. В соответствии с операционным подходом, наиболее конкурентоспособными являются те предприятия, где наилучшим образом организована работа всех подразделений и служб (также в литературе эта группа методов известна под названием "методы, основанные на теории эффективной конкуренции").

На эффективность деятельности каждой из служб компании оказывает влияние множество факторов - ресурсов предприятия. Оценка эффективности работы каждого из подразделений предполагает оценку эффективности использования им этих ресурсов. При этом ресурсы предприятия понимаются широко - это не только капитал в финансовой и материальной форме, но и персонал, и состояние управления, и качество связей с контактными аудиториями, и организация маркетинга. Каждый ресурс предприятия, определенный таким образом, может быть оценен соответствующим количественным или качественным показателем. Таким образом, конкурентоспособность компании предстает как совокупность частных показателей эффективности выполнения им отдельных аспектов хозяйственной деятельности - операций [10, с.241].

Недостатком операционных методов можно считать то, что они основываются на выявлении факторов (показателей), определяющих конкурентоспособность хозяйствующих субъектов, при этом упор делается на выявлении максимального количества данных факторов, создании их исчерпывающего списка (некоторые методики предполагают обработку десятков различных показателей финансово-хозяйственной деятельности).

Резюмируя отмеченные недостатки можно утверждать, что многие из представленных в литературе операционных методов оценки конкурентоспособности компаний в силу ряда методологических изъянов далеко не всегда позволяют обеспечить адекватную оценку конкурентоспособности хозяйствующих субъектов. Если же абстрагироваться от методологических аспектов, то основной проблемой операционных методов является то, что их применение требует сбора больших массивов данных об объектах оценки, в силу чего трудоемкость и стоимость проведения такой оценки становится чрезмерной.

При этом было бы неверно утверждать, что в силу вышесказанного операционные методы на практике не используются или используются крайне мало. Отнюдь. Поскольку необходимость в оценке конкурентоспособности предприятий объективно существует, и методологически операционные методы намного достовернее, чем продуктовые, то аналитики вынуждены использовать именно операционные методы.

Только вот позволить себе исследование конкурентоспособности предприятия при помощи операционных методов, вследствие их большой трудоемкости, могут исключительно специализированные организации. К ним относятся в первую очередь рейтинговые агентства, устанавливающие инвестиционные рейтинги хозяйствующим субъектам. Рейтинговые модели специализированных агентств являют собой не что иное, как взвешенную оценку кредитоспособности компаний, основанную на учете количественных показателей финансово-хозяйственной деятельности, качественных управленческих данных, показателях поддержки группы или государства, параметрах кредитной истории и предупреждающих сигналах. Схожие рейтинговые модели применяются кредитными организациями, применяющими внутренние рейтинги заемщиков согласно Базельских соглашений об оценке банковских рисков. В терминологии настоящего исследования рейтинговые модели суть операционные методы.

И, тем не менее, считаем, что вопрос о методике оценки конкурентоспособности рейтинговыми моделями не исчерпывается.

Во-первых, рейтинги имеют преимущественно кредитный контекст и позволяют оценить в большей степени платежеспособность предприятия, нежели его конкурентоспособность [13, с.66].

Во-вторых, рейтинговые модели специализированных агентств носят закрытый и непубличный характер. С одной стороны, это делает возможным манипуляции и искажения рейтингов (в чем обвиняются ведущие мировые агентства в связи с присвоением высоких рейтингов эмитентам и ценным бумагам дефолтного уровня перед кризисом ликвидности 2008 г.). С другой, - свободное использование рейтинговых моделей другими субъектами рынка (помимо владельца модели) становится невозможным.

В-третьих, применение рейтинговых моделей (операционных методов) является настолько трудоемким, "громоздким" и, как следствие, - дорогостоящим, что позволить себе их использование могут только самые крупные компании и кредитные организации.

Комбинированные методы

Методы, отнесенные к данной группе, определены как комбинированные в силу того, что оценка конкурентоспособности предприятия в их рамках ведется на основании выделения не только достигнутой, но и потенциальной конкурентоспособности. В основе подхода лежит утверждение, в соответствии с которым конкурентоспособность хозяйствующего субъекта есть интегральная величина (комбинация) текущей конкурентоспособности предприятия и его конкурентного потенциала.

К достоинствам данной группы методов следует отнести то, что они учитывают не только достигнутый уровень конкурентоспособности предприятия, но и его возможную динамику в будущем. Взаимодополнение продуктовых и операционных методов, казалось бы, должно нивелировать их слабые стороны и объединить сильные [7, с.776].

Методы оценки стоимости бизнеса

В отдельную группу выделим методы оценки конкурентоспособности предприятия, основанные на оценке стоимости бизнеса. Указанные методы базируются на допущении о том, что объем продаж, прибыль, себестоимость, прочие финансовые показатели (ликвидность, финансовая устойчивость, оборачиваемость активов и эффективность) являются промежуточными характеристиками отдельных экономических аспектов деятельности предприятия.

Оценка стоимости бизнеса может осуществляться с учетом результатов затратного, доходного и сравнительного подходов, либо на определении капитализации компании исходя из котировок её ценных бумаг на фондовом рынке. И в том и в другом случае стоимость бизнеса определяется на основе независимой экспертной оценки с учетом всей совокупности существенной информации о деятельности оцениваемого предприятия. Разница лишь в количестве экспертов: в случае котировки ценных бумаг на фондовом рынке количество экспертов настолько велико, что вероятность ошибки в оценке стремится к нулю.

Охарактеризовав основные методы оценки конкурентоспособности предприятий, еще раз отметим, что предложенная выше традиционная классификация построена с учетом исторического развития методов в разрезе их сущностных характеристик, того содержания, которое разработчики методов вкладывали в экономические модели, использующиеся в рамках того или иного подхода.

Заметим, что ни один из вышеуказанных подходов к оценке конкурентоспособности предприятий не нашел широкого применения в практике экономического анализа. На наш взгляд, это обусловлено тем, что помимо частных недостатков, отмеченных выше, анализ существующих подходов позволяет отметить следующие общие их недостатки [12, с.266].

Подавляющее большинство методик основывается на выявлении факторов, определяющих конкурентоспособность хозяйствующих субъектов, при этом упор делается на выявлении максимального количества этих факторов, создании их исчерпывающего списка. Далее выделенные факторы обрабатываются с помощью различных математических методов.

Таким образом, количество факторов конкурентоспособности практически бесконечно, следовательно, как бы ни был обширен их перечень, он все равно не будет исчерпывающим, а значит, и основанная на таком неполном перечне оценка конкурентоспособности предприятия будет неадекватной. В результате все существующие перечни факторов конкурентоспособности являются весьма условными, что не позволяет использовать их для оценки конкурентоспособности предприятий. Ставя во главу угла исчерпывающий перечень факторов конкурентоспособности предприятия, исследователи попадают в тупик, поскольку такой перечень невозможен в принципе. Ограниченный же перечень обусловливает ограниченность метода.