Материал: shpory_s_zadachami

Внимание! Если размещение файла нарушает Ваши авторские права, то обязательно сообщите нам

1. Автомобильный хладотранспорт

Автомобильный – одно из звеньев НХЦ – служит для перевозки СПГ с распределительных холодильников и предприятий пищевой промышленности в сеть общественного питания и торговли. АХТ делится на несколько категорий:* автомобили с изотермическим кузовом без приборов охлаждения (на базе ГАЗ К=0,5, Гп=3,25 т, на базе ЕрАЗ К=0,5, Гп=0,8 т) * автомобили – ледники, в качестве холода используют водный или сухой лед (кузов Оренбургского завода холодильного оборудования) * автомобили – рефрижераторы с Х/У (с обычной изоляцией К=0,7 Вт/м2К и с усиленной изоляцией 0,4 Вт/м2К) * автомобили с подогреваемым изотермическим кузовом.

Требование к конструкции кузова АХТ:- устойчивость к динамическим нагрузкам; - повышенная прочность и долговечность; - незначительная масса кузова; - отсутствие тепловых мостиков.

Источники холода в АХТ: - машинная система охлаждения - машинно-аккумуляционная система охлаждения - охлаждение сухим или водным льдом - охлаждение сжиженными газами.

1 Машинное охлаждениеТемпературный интервал от -12 до +12. Распространены фреоновые Х/У с компрессором имеющим непосредственный привод от автомобильного двигателя, на стоянках возможно подключение к электросети. В последние годы распространяются авторефрежираторы с питанием компрессоров от автономных дизель-генераторных установок.

Компоновка холодильного оборудования традиционна – Д-Г и Х/У располагаются в торце кузова автофургона.

Преимущества: - полная автономность работы; - неограниченная продолжительность работы;

- универсальность.

Недостатки: - сравнительная сложность конструкции; - необходимость высококвалифицированного обслуживания.

2) машинно – аккумуляционное охлаждение Оно обычно применяется в авторефрижераторах малой и средней грузоподъемности. Холодильный агрегат устанавливается обычно под кузовом или в кабине.

Испарители – аккумуляторы (зироторы) представляют собой металлические плиты, заполненные эвтектическим раствором (22,4% раствор NaCl). Внутри плит располагается змеевик испарителя холодильной установки.

Во время стоянки холодильную установку подключают к электросети и замораживают раствор (температура замерзания 21,2 С), который отдает холод во время движения автомобиля.

Объем плит выбирают в зависимости от величины теплопритоков и температурных режимов перевозки.

Преимущества: - простота конструкции; - бесшумность; - отсутствие выхлопных газов; - большая надежность.

3. Единые технологические процессы работы различных видов транспорта

Перевозить грузы в прямых смешанных сообщениях можно с передачей с одного вида транспорта на другой по схеме:

* с выгрузкой из вагонов, судов или автомобилей и размещени­ем для длительного или краткосрочного (временного) хранения на складах пункта перегруза с последующей погрузкой на соот­ветствующий транспорт для дальнейшего следования (перегру­зочный вариант);

* с перегрузкой непосредственно из подвижного состава одного вида в подвижной состав другого вида транспорта (прямой ва­риант).

Большое значение имеет разработка единых технологических процессов работы пунктов перевалки и железнодорожных стан­ций с учетом полной механизации погрузочно-разгрузочных работ и максимального выполнения перегрузки по прямому варианту. Единые технологические процессы разрабатывают только для тех пунктов, где скоропортящиеся грузы превалируют. Там, где эти грузы перерабатывают в небольших размерах или только во время массовых сезонных перевозок, обычно в общих единых технологических процессах отражают специфические особенности перегрузки: своевременную подготовку подвижного состав» (ваго­нов и судов), нахождение термически подготовленных грузов (охлажденных и замороженных) в течение перегруза и особенно при временном хранении в пунктах перевалки в одних и тех же температурных условиях и др. Единые технологические процессы на пунктах перевалки грузов с одного вида транспорта на другой (в том числе и скоропортящихся грузов) предусматривают вы­полнение следующих основных видов операций и работ:

организация информации о подходе вагонов и судов, которая обычно состоит из двух видов: предварительной, передаваемой с ближайшего транзитного порта или отделения железной дороги, и точной, передаваемой с последнего попутного пункта, участко­вой станции или отделения дороги;

сменно-суточное планирование работы пункта перевалки с учетом своевременного подвода вагонов и судов, исключающего непроизводительные простои подвижного состава на каждом из видов транспорта;

организация погрузочно-разгрузочных работ, правильное рас­пределение механизмов и устройств, с учетом длины перегрузоч­ных фронтов, объема передачи грузов, выполнения норм простоя подвижного состава (вагонов и судов) под перегрузочными опе­рациями, максимального отправления грузов по железной дороге маршрутами и др.;

оформление передачи грузов с одного вида транспорта на дру­гой, быстрое оформление документов, определяющих факт пере­дачи; ответственность за сохранность грузов и выполнение сро­ков доставки, внесение в документы отметок о возникших в пунк­те перевалки дополнительных расходах и т. д.;

подготовка подвижного состава (вагонов и судов) з сани­тарном, техническом и термическом отношениях, своевременная подача их на. фронты перегруза с учетом темпов и ритма пере­грузочных работ, размеров перегрузочных фронтов, интервалов, порядка расстановки вагонов и судов у причальной линии.

На основании принятого порядка выполнения этих операций разрабатывают единые графики обработки вагонов и судов, в которых отражают тип подвижного состава, род груза, его терми­ческую подготовку, наличие специальных охлаждаемых складов. Графики учитывают также, что к началу перегрузочных операций к фронтам перегрузки должны быть подведены вагоны и суда

5. Испарители и их роль в транспортных холодильных машинах. Определение холодоотдающей поверхности испарителя для изотермических вагонов.

Испарители – теплообменный аппарат, в котором тепло от окружающей среды отбирается кипящим х/а. По способу забора тепла: рассольные и воздушные. Рассольные бывают: кожухотрубные и вертикальнотрубные. Кожухотрубные испарители представляют собой горизонтальный барабан, к концам которого приварены решетчатые днища, в них ввальцованы трубы. Жидкий аммиак поступает через вентиль во внутреннюю полость барабана, где кипит и охлаждает поступающий по трубопроводу принудительно циркулирующий рассол. Достоинства: простота и надежность конструкции, компактность, закрытая система циркуляции рассола, что ослабляет коррозия металла.

Вертикальнотрубные испарители представляют собой параллельно соединенные между собой секции, погруженные в бак с рассолом. Каждая секции состоит из горизонтальных коллекторов, расположенных один над другим и соединенных между собой вертикальными, несколько изогнутыми на концах трубками. Кроме того, коллекторы соединены несколькими прямыми трубками стояками, х/а поступает через один из стояков. Недостатки: открытая система циркуляции рассола, следовательно, сильная коррозия труб секции и бака, трудность изготовления.

Воздушные испарители представляют собой батареи-змеевики из гладких или ребристых труб, расположенные у стен или под потолком помещения. Охлаждение воздуха происходит путем теплообмена с кипящим х/а в трубах.

Расчет испарителей сводится к определению его теплопередающей поверхности: qи – удельная тепловая нагрузка испарителя, Вт/м2; K – коэффициент теплопередачи, Вт/(м2∙К); Δt – средняя разность температур между х/а и омываемой средой (5°С); Qо – рабочая холодопроизводительность компрессора, Вт. Рассольные батареи представляют собой змеевики из гладких или ребристых труб, предназначены для охлаждения воздуха грузовых помещений холодным рассолом. Охлаждение воздуха происходит путем теплообмена с циркулирующим по трубам рассолом. Расчет рассольных батарей сводится к определению его теплопередающей поверхности: qб – удельная тепловая нагрузка на рассольную батарею, Вт/м2; K – коэффициент теплопередачи, Вт/(м2∙К); Δt – средняя разность температур между рассолом и охлаждаемой средой (5°С); Qо – рабочая холодопроизводительность компрессора,Вт.

7 Контейнеры для перевозки скоропортящихся грузов.

П еревозка СПГ в контейнерах создает благоприятные условия для бесперебойного функционирования Непрерывной холодильной цепи (НХЦ) при этом обеспечивается сохранность груза, появляется возможность применения механизации погрузочно-разгрузочных работ и позволяет производить доставку груза по принципу «от двери до двери».

Контейнеры бывают:- обычные (т.е. неохлаждаемые); - изотермические (т.е. охлаждаемые).

К неохлаждаемым относятся: 1 - контейнеры для перевозки арбузов и дынь грузоподъемностью 2,5 тонны Контейнеры имеют перфорированные полки и вентиляционные окна. Вместимость – 2 тонна арбузов.

2 – контейнер для перевозки охлажденного мяса оборудованные крюками, грузоподъемностью 400 кг, масса тары 72 кг. Размеры ширина 800 мм, длина 1000 мм, высота 1800 мм. Состоит из поддона и стоек, после выгрузки разбирается и складываетсяСамым распространенным видом неохлаждаемых контейнеров является ящичный поддон, который предназначен для перевозки плодоовощей и картофеля. Поддон имеет металлический каркас и деревянную обрешетку, некоторые были оснащены крышкой. Размеры поддона ширина 800 мм, длина 1200 мм, высота 900 мм. Грузоподъемность до 500 кг. Поддон можно использовать для загрузки плодоовощей в полевых условиях и перевозки и хранения плодоовощей в зимний период

Для охлаждения контейнеров применяют: водный и сухой лед, сжиженные газы машинное охлаждение. Эффективность применения изотермических контейнеров зависит от грузопотока на данном направлении, грузоподъемности контейнера, системы охлаждения и организации обслуживания в пути обследования. При выборе системы охлаждения необходимо учитывать: скорость охлаждения, возможность автоматизации управления и регулирования температуры, диапазон поддерживаемых температур, надежность, простота эксплуатации, размеры эксплуатационных расходов и себестоимость кВт-часа холода. Международными соглашениями установлены размеры изотермических контейнеров: 6,1х2,4х2,4 и 12,2х2,4х2,4 м.

Самый распространенный способ охлаждения – машинный, однако необходимо ТО в пути следования (как у АРВ), для этого необходимо разработать технологию обслуживания контейнеров или можно использовать контейнерные поезда с сопровождением их механиками.

В контейнерах можно перевозить охлажденные, замороженные, быстрозамороженные, подогретые продукты и консервную продукцию. Грузоподъемность контейнеров от 16 до 25 т.

Также существуют изотермические контейнеры без системы охлаждения для перевозки молока, мяса и других продуктов на небольшие расстояния.

* Максимальную скорость охлаждения СПР имеют контейнеры с жидкоазотным охлаждением.

* Возможностью регулирования температуры обладают контейнеры с машинным и жидкоазотным охлаждением. * Максимальный температурный диапазон имеют контейнеры с жидкоазотным охлаждением. * Минимальную себестоимость перевозки СПГ имеют контейнеры с охлаждением водным льдом. * Надежность в работе распределяется следующим образом: 1 – водный или сухой лед; 2 – жидкоазотное охлаждение; 3 – машинное охлаждение

10.Нормирование работы изотермических вагонов. Показатели использования РПС

2)Количественные: – погрузка– выгрузка– прибытие– передача вагонов по стыкам– прием, сдача груженых и порожних вагонов– рабочий парк

Качественные:– Qваг – оборот вагона – Sваг – среднесуточный пробег

Оборот вагона – это время, в течение которого вагон находится в пути следования, на станции погрузки, на технических станциях, под экипировкой.

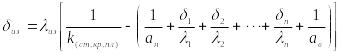
11.Определение коэффициента теплопередачи кузова вагона. Факторы, влияющие на коэффициент теплопередачи.

Расчетный коэффициент (κр) теплопередачи зависит от площади стен, крыши, пола (Fст, Fкр, Fпл) и средневзвешенной величины коэффициента теплопередачи стен, крыши, пола (κст, κкр, κпл).

где: κ(ст,кр,пл) - коэффициента теплопередачи ограждения, Вт/м2∙К;

ан, ав – коэффициенты теплоотдачи от воздуха к наружней поверхности и от внутренней поверхности к воздуху грузового помещения, Вт/м2∙К;

δиз, δ1, δ2, δn – толщина слоя основного изоляционного и других изоляционных и строительных материалов данной конструкции, м;

λиз, λ1, λ2, λn – коэффициент теплопроводности изоляционного слоя и строительных материалов данной конструкции, Вт/м2∙К.

Приведенный коэффициента теплопередачи кпр (для данного вагона в данное время) определяется экспериментальным способом: вагон устанавливают в закрытое помещение с постоянной температурой, внутри вагона устанавливают нагревательный прибор, после доведения температуры в вагоне до постоянной, снимают показания затраченной мощности нагревательного прибора (Q) (нагревание длится в пределах 8 суток, способ точный, но длительный) и рассчитывают по формуле:

F – площадь поверхности ограждения вагона;

Δt – разность температур внутри вагона и в закрытом помещении.

С момента поступления ИПС в эксплуатацию коэффициент теплопередачи постоянно изменяется (ухудшается). Основные факторы, влияющие на изменение коэффициента теплопередачи, можно разделить на 2 группы:

- постоянно действующие (не зависящие от срока эксплуатации):

температура наружного воздуха, скорость движения, солнечная радиации

13. Организация перевозок скоропортящихся грузов международном сообщении.

Перевозка в международном сообщении

Прямым международным грузовым называется сообщение, в котором грузы перевозятся по дорогам 2-х и более стран по одному перевозочному документу. Международное грузовое сообщение подпадает под действие СМГС, сроки доставки определяются по СМГС.

ГО выбирает подвижной состав и полностью отвечает за качество перевозки. К перевозочным документам в обязательном порядке прикладывается сертификаты. Международным перевозки могут быть перегрузочные (смена подвижного состава) и бесперегрузочные (производится смена колесные пары). Также выделяют пограничные станции двух типов перегрузочные и бесперегрузочные, они бывают отдельные для каждой стороны и объединенные (на объединенной пограничной станции все операции производятся одновременно: одна сторона принимает, другая сдает).

На пограничных станциях производится: передача груза и подвижного состава, санитарно-ветеренарный, пограничный и таможенный контроли, технический и коммерческий осмотры. Сдающая сторона составляется передаточная ведомость на груз в 6-ти экземплярах (по 3 для каждой страны), вагоны передаются по передаточной ведомости (4 экземпляра), вместе с ведомостями передаются основные документы.

Основное условие при перегрузке – партия груза из 3-х двухосных вагонов должны разместится в 2-а четырехосных.

Помимо документов, подтверждающих качество груза ГО должно иметь разрешение на вывоз груза. Груз, вывозимый из РФ, осматривает на пограничной станции государственный инспектор по качеству. Импорт осматривает эксперт торговой палаты.

Способ перевозки и вид вагона определяет грузоотправитель. Плата за провоз взимается по единому транспортному тарифу, а затем делится между странами. При прибытии на станцию назначения ж.д. должна выдать груз при подтверждении полной оплаты за перевозку. Если ГО отказывается от груза из-за его порчи, то ж.д. решает вопрос его реализации.

14. Основные принципы и способы консервирования скоропортящихся продуктов

2) Все способы хранения СПГ основаны на 3 принципах:

поддержание жизненных процессов в продукте;

подавление жизнедеятельности микроорганизмов;

прекращение жизнедеятельности микроорганизмов.

Два последних положены в основу консервации.

Способа консервации:

Физический – сушка, засахаривание, использование высоких и низких температур.

Биологический – вызов антоганизма между молочнокислыми и гнилостными бактериями (квашение капусты, соление огурцов, мочение яблок, приготовление кислого молока).

6.Классификация изотермических вагонов. Структура парка вагонов.

В зависимости от рода перевозимых грузов ИПС подразделяются на:

Универсальные Специальные

РПС РПС Цистерны-Термосы

21-вагонные поезда 5-вагонные секции для вина молочные

12-вагонные секции АРВ для эндокринного сырья винные

5-вагонные секции БМЗ АРВ живорыбные

5-вагонные секции ZA-5, ZB-5 АРВ

В зависимости от системы машинного охлаждения РПС подразделяется:

Основные требования к ИПС:

1 – возможность поддержания заданной температуры и влажности независимо от внешних условий.

2 – обеспечение заданной скорости охлаждения плодов и овощей (она зависит от мощности х/м).

3 – обеспечение нормальной вентиляции воздуха в грузовом помещении.

4 – возможность полной автоматизации работы оборудования и контроля за температурой.

5 – надежность оборудования и простота его обслуживания.

4. Значение и задачи железнодорожного хладотранспорта. История развития. Применение искусственного холода

Холодильный транспорт – это совокупность транспортных и стационарных сооружений, предназначенных для перевозки СПГ

Главная задача – сохранение качества перевозимого грузка и как можно быстрее доставить его в пункт назначения

Особенности: 1. Необходимо обеспечивать при перевозки СПГ условий близких к условиям хранения

2. Потери массы и качества дорогостоящих грузов, зависят от срока доставки и др. факторов

3. Необходимость выполнения придельных сроков перевозки 4. Высокая стоимость СПГ 5. Односторонние перевозки – большой порожний пробег 6. Дальность перевозки в 2-3 раза выше 7. Сезонность перевозки 8. Формирование холодильных поездов

История: С 1830 по 1865 годы были разработаны все принципиальные схемы холодильных машин, что дало возможность использовать для получения холода машинное охлаждение. В 1860 году был создан первый вагон-ледник в котором искусственный холод получали за счет использования водного льда и льдосоляной смеси.

В 1876 году построено первое судно-рефрижератор.

В 1877 году в Мурманске был построен первый холодильник с машинным охлаждение для хранения рыбы, а на Волге построено рефрижераторное судно с машинным охлаждением.

В 1908 году впервые в мире на Российских железных дорогах появился изотермический контейнер с льдосоляным охлаждением и рефрижераторный поезд, состоящий из 6 грузовых вагонов и вагона-машинного отделения, а позднее в 1908 году построен АРВ с машинным охлаждением.

В 19581 году на железных дорогах России начали эксплуатироваться 21- и 23-вагонные рефрижераторные поезда, 12- и 5-вагонные рефрижераторные секции (ZA-5) постройки ГДР.

В 1966 году начало эксплуатации АРВ длиной 19 м (постройки ГДР).

В 1976 году начало эксплуатации АРВ длиной 21 м.

Сохранность СПГ обеспечивает холодильная техника. Это понятие охватывает методы получения и практическое применение низких tС для промышленных и бытовых нужд.Охлаждать тело ниже tС окружающей среды можно искусственным способом: сначала понизить tС, а затем поддерживать ее, противодействуя внешним воздействиям.

В этом случае тепло, отнимаемое от тел более холодных, чем окружающая среда называется холодом. Получение tС до -120С называется умеренным охлаждением, ниже -120С глубоким охлаждением.

Вся ответственность по сохранению свойств СПГ в процессе доставки от мест производства к местам потребления ложится на холодильный транспорт, в том числе и железнодорожный. Для выполнения этой задачи холодильный транспорт использует искусственный холод. Источниками холода могут служить:

1 водный лед (этот способ экологичен и для отдельных районов экономически выгоден);

2 сухой лед (этот способ экологичен, но экономически не выгоден);

3 сжиженные газы (этот способ экономически дорогостоящий);

4 машинное охлаждение.

Недостатки: - значительная масса приводит к снижению полезной грузоподъемности; - строго ограниченное время между зарядками зироторов, так как ограничено время работы аккумуляторов холода; - невозможность форсированного охлаждения.

3) охлаждение при помощи льда. Карман для льда в торце кузова. При перевозках мороженного и мороженных грузов большое распространение поучило применение сухого льда, так как этот способ экономически выгоден.

Недостаток: - невозможность регулировать холодоотдачу и температуру в грузовом помещении.

4) охлаждение сжиженными газами является самой перспективной системой охлаждения (по конструкции аналогична системе которая применяется для охлаждения вагона).

Преимущества: - простота конструкции и эксплуатации; - возможность быстрого снижения температуры (удельная холодопроизводотельность жидкого азота 378 кДж/кг); - высокая надежность; - бесшумность и экологичность; - благоприятное влияние атмосферы на сохранность груза; - снижение НЕУ.

Недостатки: - высокая стоимость получения сжиженных газов; - необходимость создания сети заправочных станций.

2. Анализ причин несохранных перевозок.

Несохранные перевозки это – утрата, хищение, порча, повреждение вагона в пути следования, недостача количества мест или веса.

При обнаружении этих недостатков составляется коммерческий акт. Причины несохранных перевозок:

Нарушение правил подготовки скоропортящегося груза к перевозке.

Неправильная упаковка, погрузка в несоответствующую тару.

Аварии, крушения, пожары.

Загрузка в неисправные вагоны.

Несвоевременная доставка, неправильный режим перевозки.

Из общего объема несохранных перевозок скоропорт занимает 10%

1 место – овощи и фрукты 32%

2 место мясо и мясо продукты 4%

3 рыба и рыбо продукты 1%

В зависимости от стоимости делятся на :

1 Высокой стоимости – расследуются начальником службы

2 Средней стоимости- расследуются начальником отдела

3 Малой стоимости – расследуются начальником станции

Химический – добавление съедобных консервантов (соли, сахара, спирта, уксуса и др), т.е. посол, консервирование, копчение, также применяются дополнительные способы: ионизация, обработка озоном, обработка антибиотиками, вакууминация.

Сушка – удаление влаги из продукта при этом теряется много витаминов.

Пастеризация (характерны для молока) – нагревание по 80С в течении 30 минут. Не все микроорганизмы погибают, поэтому продукты необходимо хранить при пониженной температуре. Стерилизация - нагревание по 120С в течении 40 минут. Все микроорганизмы погибают.

Копчение, вяление (характерны для мяса) – удаление влаги из продукта и пропитка дымом (продукты горячего копчения имеют много влаги и хранятся не более 3 суток, продукты холодного копчения хранятся значительно дольше).

Соление, маринование, засахаривание (характерны для плодов) – большая концентрация соли резко увеличивает осмотическое давление, что приводит к обезвоживанию клеток и гибели микроорганизмов.

Сублимационная сушка (характерна для мяса) – заморозка и последующая возгонка (лед минуя жидкую фазу превращается в пар) при этом все качества сохраняются.

Самым лучшим способов консервирования является хранение в холоде. К нему относится охлаждение, переохлаждение, подмораживание, замораживание.

Охлаждения – понижение температуры продукта до криоскопической (начало образования льда в продукте). Охлажденным считается продукт, в толще которого поддерживается температура от 0 до+4С.

Переохлаждение – понижение температуры ниже криоскопической на 1-2С без образования в лед содержащейся в продукте воды. Существует два способа охлаждения: в воздушной среде и в жидкой среде.

Подмораживание – понижение температуры ниже криоскопической на 3-4С при этом не весь сок превращается в лед.

Замораживание – понижение температуры значительно ниже криоскопической до превращения в лед большей части соков продукта. Существует два способа замораживания: быстрое и медленное (хуже, так как образуется крупные кристаллы льда).

- периодически действующие (зависящие от срока эксплуатации):

увлажнение изоляционного материала

старение изоляционного материала

ухудшение плотности ограждения вагона

деформация пакетов ограждения, что приводит к появлению зазоров и возникновению тепловых мостиков. Кап. ремонт мало способствует восстановлению коэффициента теплопередачи. За 10 лет эксплуатации коэффициент теплопередачи увеличивается в 2,5.

12. Организация перевозок скоропортящихся грузов на особых условиях.

Организация перевозок скоропортящихся грузов на особых условиях

К особым условиям относятся дополнительные требования для обеспечения сохранности скоропортящегося груза при перевозке.

Особые условия распространяются на:

Перевозка в переходный и зимний периоды

Мелкие отправки

Прямое железнодорожно-водном сообщение

Международное сообщение и Перевозка импортных грузов

Перевозка груза багажом и повагонными отправками в пассажирских поездах

Перевозка в арендованных и специализированных вагонах

Эти перевозки отражены в ППГ, также имеют места перевозки нестандартных грузов по ходатайствам заинтересованных ведомств:

Опытные перевозки.

Импорт, прибывающий на пограничную станцию или в порт перегрузку с повышенным процентом порчи (устанавливается % контрактом между странами).

Любая другая продукция, которая испортится в пути (заранее можно сказать).

Перевозка в переходной период относится к транспортированию в крытых вагонах, при этом ГО должен учитывать температурные условия на всем пути следования. ГО должен утеплить КР по всему периметру, обеспечить печное отопление 1 и сопровождение проводником.

Перевозка мелкими отправками

Мелкая отправка – партия груза, ограниченная по весу и размеру, которая не требует отдельного вагона (принимается только в жесткой таре).Перегрузка в пути следования запрещается. Срок доставки МО не должен превышать срок доставки ПО. Грузы мелкими отправками перевозятся в сборно-раздаточных вагонах. Сборно-раздаточные вагоны курсирующие по сети дорог назначает ОАО «РЖД», в пределах дороги – управление ж.д. Для перевозке могут быть привлечены экспедиторские организации, которые обеспечивают сохранность и выдачу груза.

Для перевозки мелких отправок принимаются все виды скоропортящихся грузов. Эти перевозки подпадают под действие ППГ.

8.Контрольно измерительные приборы для измерения температур и влажности.

Приборы для измерения температуры

Термомерт расширения – изменение объема от температуры

Термограф – изменение линейных размеров термочувствительной пластины от температуры

Манометрический термометр – зависимость давления вещества от температуры

Электрический термометр – изменение сопротивления в зависимости от температуры

Пирометр – для изменения температуры используется тепловое излучение нагретых тел

Термограф – изменение размеров термочувствительной пластины под температурой

Приборы для измерения влажности

Основные понятия:

Влагосодержание – Отношение массы водяного пара к массе сухого газа в том же объеме

Абсолютная влажность воздуха – масса водяного пара содержащегося в единице объема влажного или сухого газа

Относительная влажность – величина равная отношению ее действительной влажности к максимально возможной этого газа при данной температуре

Приборы:

Гигрометр – изменение длины человеческого волоса в зависимости от степени влажности воздуха, чем суше воздух, тем короче волос

Гигрограф- укорочение и удлинение пучка обезжиренных волос влияют на систему рычагов сообщаюших перу наполненному специальными чернилами, перемещение в вертикальном направлении. Перо оставляет след на специальной бумажной ленте надетой на вращающийся барабан.

Психрометр – основан на использовании зависимости между упругостью водяного пара и показаниями сухого и влажного термометров

Конденсационный влагометр

Сорбционные влагометры

Механические сорбционные влагометры

Электрические сорбционные влагометры

9.Методы определения качества груза.

Методы определения качества бывают:

органолептический - при помощи органов чувств (используется на жд); - внешний вид и цвет – консистенция – запах – жир - костный мозг - сухожилия

Всего органолиптический показателей – 13 баллов

лабораторный:физический, химический, физиологический(используется в государственных инспекциях по качеству)

Работники жд и гос инспекции по качеству определяют качество груза органолептически, лабораторно – на сан эпидем станциях.

15.Основные приборы автоматики по регулированию давления и температуры.

2) Для поддержания необходимой температуры в грузовом помещении вагона, необходимо, чтобы х/м работала в требуемом режиме. Это возможно при наличии приборов автоматике. Приборы автоматике позволяют обеспечить:

1 заданный температурный режим;

2 необходимое давление в холодильной установке;

3 требуемую холодопроизводительность;

4 снижение эксплуатационных расходов;

5 повышение производительности труда.

Все приборы автоматике подразделяются группы:

1 - управления (автоматический пуск, автоматическое отключение х/м);

2 - регулирования (поддержания заданных значений);

3 - защиты (защита х/м от чрезмерных отклонений);

4 - контроля (для наблюдения и фиксирования температурных и влажностных режимов, давления);

5 - сигнализации (помощь обслуживающему персоналу).

Холодопроизводительность зависит от работы компрессора, который надо защищать от чрезвычайно высокого давления нагнетания (моноконтроллер) и чрезвычайно низкого давления всасывания (прессостат). Защиту компрессора можно осуществлять несколькими способами:

- пуск – остановка (наиболее приемлемый);

- отключение отдельных цилиндров;

- изменение частоты вращения коленчатого вала.

Основные приборы автоматике: реле давления (моноконтроллер + прессостат), терморегулировочный вентиль, терморегулятор.

16. Основные теплоизоляционные материалы. Расчёт оптимальной толщины изоляции.

Надежный теплоизоляционный материал позволяет сократить потери холода, уменьшить непроизводительные затраты топлива, способствуют лучшей сохранности груза.

Требования к изоляционным материалам: * наименьший коэффициент теплопроводности (λ=0,05 Вт/м2∙К)* - малая плотность (для стационарных х/м 650 кг/м3, для транспортных х/м 250 кг/м3)* - высокое водоотталкивание (гигроскопичность) * - морозостойкость и огестойкость

- устойчив к загниванию * - низкая стоимость,* - отсутствие запаха

Самый лучший теплоизоляционный материал неподвижный воздух (λ=0,023 Вт/м2∙К). Необходимо учитывать, что увлажненный, материал имеет высокий коэффициент теплопроводности например: сухой кирпич λ=0,041 Вт/м2∙К, вода λ=0,66 Вт/м2∙К, мокрый кирпич λ=1,22 Вт/м2∙К.

17.Основные холодильные агенты, их характеристики и свойства. Требования ГОСТа. Области применения холодильных агентов на ж.д транспорте.

1) Х/А – это рабочее тело или вещество, совершающее в холодильной машине круговой процесс. Теоретически в качестве х/а может быть использовано любое жидкое вещество, но это вещество должно отвечать некоторым требованиям:

1. Термодинамическим – низкая температура кипения, давление при рабочих условиях должно быть выше атмосферного, однако, во избежание утечки, оно должно быть умеренным при температуре кипения и конденсации; высокий коэффициент теплопередачи, высокая объемная холодопроизводительность.

2. Теплофизические – малекулярная масса, низкая плотность, малая вязкость, газовая постоянная

3. Физико-химические – растворим в воде, плохая растворимость в смазке, слабо проникать через неплотные материалы.

Так же негорюч, невзрывоопасен, безвреден для человека.

Ни один из существующих х/а этим требования полностью не отвечает, но наиболее полной соответствуют: аммиак, хладон-12, фрион-22. Токсичные свойства х/а характеризуется ПДК: аммиак – 20 мг/м3, хладон-12 – 300 мг/м3, фрион-22 – 1000 мг/м3.

Аммиак бесцветный газ с резким запахом, легче воздуха, обладает рядом термодинамических и технических преимуществ, большая холодопроизводительность, слабо растворяется в масле, интенсивно поглощается водой, утечка легко обнаруживается по запаху, ядовит (при содержании 1% в воздухе возможно отравление), взрывоопасен (16% в воздухе), жидкий аммиак является электроповодником, не коррозионен для стали, но в присутствии влаги разъедает цинк, медь, бронзу. Применяется в средних и крупных х/м. Температура кипения –70С°, температура конденсации 50С°.

Хладон-12 (дифтордихлрметан) – бесцветный газ со слабым специфическим (слабосладким) запахом, неощутим при концентрации менее 20%, в 4,18 раза тяжелее воздуха. Безопасен, только при содержании в воздухе более 30% (по объему) наступает удушье из-за недостатка кислорода. Хладон дороже аммиака, но его объемная холодопроизводительность несколько меньше, следовательно размеры хладоновых холодильных установок больше аммиачных. Хладон-12 имеет большой удельный вес, что вызывает значительное сопротивление при движении по трубопроводам, для обеспечения такой же скорости как и у аммиака сечения трубопроводов увеличивают в два раза. Хладон растворяет резани, при отсутствии влаги нейтрален ко всем металлам. Жидкий хладон не электропроводен. Хладон обладает высокой проницательной способностью, невзрывоопасен, при температуре выше 400С°разлагается с выделение фосгена.

Хладон неограниченно растворяется в масле, и растворимость увеличивается с повышением давлением и снижением температуры.

19.Охлаждение и замораживание продуктов питания. Определение расхода холода для этих целей.

1) Самым лучшим способов консервирования является хранение в холоде. К нему относится охлаждение, переохлаждение, подмораживание, замораживание.

Охлаждения – понижение температуры продукта до криоскопической (начало образования льда в продукте). Охлажденным считается продукт, в толще которого поддерживается температура от 0 до+4С.

Переохлаждение – понижение температуры ниже криоскопической на 1-2С без образования в лед содержащейся в продукте воды. Существует два способа охлаждения: в воздушной среде и в жидкой среде.

Подмораживание – понижение температуры ниже криоскопической на 3-4С при этом не весь сок превращается в лед.

Замораживание – понижение температуры значительно ниже криоскопической до превращения в лед большей части соков продукта. Существует два способа замораживания: быстрое и медленное (хуже, так как образуется крупные кристаллы льда).

Значительная часть воды, находящаяся в связанном состоянии не замерзает даже при низких температурах.

Количество тепла отводимое при охлаждении продукта (расход холода при охлаждении)

Q=GC(t1-t2)=G(i1-i2)

Для плодоовощей необходимо учитывать биохимическое тепло:

Q=qG/3,6·1000

q – тепло выделяемое в течении 1 часа свежими плодоовощями вследствие продолжения в них жизнедеятельности.

Количество тепла отводимое при замораживании продукта (расход холода на замораживание):

Q=G[C1(tнtз)+qωr+ C2(tзtк)

q – количество воды в продукте;

ω – количество вымерзшей воды;

r – удельная теплота льдообразования, 335 кДж/кг.

Замораживание производят двумя способами:

в воздушной среде при t = -30С и скорости циркуляции воздуха 5 м/с;

в жидкой среде контактным и бесконтактным способом (1 – продукт помещают в раствор NaCl t = -45С, 2 – в емкость помещают продукт, а емкость опускают в раствор). Мясо замораживают в тушах, полутушах, четвертинах при t = -35С в течении 48 часов. Рыбу морозят контактным способом в жидкой среде при t = -45С. Масло замораживают в воздушной среде до t = -12 …-15С.

21.Перевозка живности железнодорожным транспортом.

Перевозка живности производится в специальных поездах («скотские вертушки» - арендуются мясокомбинатами), а так же в крытых вагонах.

Управление дороги совместно с ГО оговаривают станцию погрузки (станция должна быть открыта для грузовых операций и оборудована скотопогрузочными платформами). Заявку подают за 3 дня. За сутки ДС предупреждает ветврача.

На каждую партию живности – ветеринарное свидетельство, но врач обязан перед погрузкой осмотреть всю живность (если есть больные животные то решение принимает ветврач). В случае его отсутствия ДС может дать разрешение на погрузку, но прежде он должен посмотреть ветеринарное свидетельство. При этом на станцию проследования телеграмма – «без ветврача», там скот осматривается.

Под погрузку чистые вагоны, пригодность определяет ветврач. Лошади грузятся в раскованном виде. Привязи делают головами к дверному проему.

Крупнорогатый скот устанавливается либо вдоль вагона (устанавливают коновницы), либо поперек (в обвязочных брусья вкручивают кольца для привези).

В дверных проемах устанавливают скотские решетки.

Нормы погрузки: -КРС -20-24 головы;- телята – до 50; - овцы, козы – 110;

-свиньи в зависимости от веса – 20…60 (до 80 кг 50-60, до 100 кг 45-50, до 150 кг 35-45)

- рабочие лошади – 16;- беговые лошади – 12.

Грузоотправитель обеспечивает фуражом и подстилкой. В случае неисправности вагона станция принимает меры по ремонту и отправке вагона.

Проводник сопровождает 2-3 вагона, то расцеплять их нельзя.

О выходе «скотской вертушки» диспетчер должен дать циркулярный приказ Скот должен быть напоен, летом водопой – 2 раза в сутки после кормления, зимой – 1 раз в сутки перед кормлением. О необходимости водопоя ДНЦ информирует станцию водопоя заранее. Работники станции должны помогать проводнику как модно быстрее напоить скот.

На станции назначения осматривает ветврач, на это дается 6 часов, через 12 ч живность должны быть вывезена со станции. Надзор за перевозкой осуществляет ветслужба и ветпункты дороги.

Скотские вагоны, выпускаемые Алтайским вагонзаводом имеют вентиляционные люки, кормушки, 22 скобы с кольцами для привязи, корыто для водопоя, 4 бака для воды, 6 откидных полок для фуража.

После перевозки живности вагоны должны подвергаться ветсанобработке на дезопромстанциях и дезопромпунктах.

По характеру обработки вагоны делятся на 3 категории:

- вагоны, в которых перевозились здоровые животные, мясо от здоровых животных, кожи сырые, шерсть промытая;

22. Подготовка скоропортящихся продуктов к перевозке.

2) К основным условиям правильной подготовки и организации перевозок относятся:* Подготовка ГО СПГ к перевозке в полном соответствии с ГОСТами и ППСГ. * Предъявление СПГ к перевозке только в стандартной доброкачественной таре. * Подача под погрузку только исправных вагонов. * Погрузка в вагон и укладка грузов в вагоне в полном соответствии с правилами * Отгрузка маршрутами и ускоренное продвижение поездов. * Необходимость учитывать климатические условия станции назначения (особенно для перевозки в крытых вагонах).

При перевозке СПГ год разделен на 4 периода: зимний, летний и два переходных. В зависимости от периода выбирают соответствующие условия перевозки и срок доставки. Если погрузка производится на МОП, то СПГ модно завозить только при наличии вагонов.

К перевозке СПГ принимаются по весу и количеству мест с обязательным наружным осмотром. К накладной на каждую отправку ГО должен приложить качественное удостоверение, в котором указывается: наименование груза, термическая подготовка груза, количество мест и вес груза, для мороженных грузов t при погрузке, возможный срок транспортабельности (его определяет ГО). Качественное удостоверение должно датироваться днем погрузки. Удостоверение на станции назначения выдается ГП. На станциях, где имеются государственные инспекции по качеству, независимо от наличия удостоверения, ГО должен получить сертификат качества (датированный днем погрузки) с заполнением аналогичных данных. При перевозке мяса ГО должен приложить ветеринарное свидетельства, которое выдается местными органами ветеринарного надзора. Не зависимо от наличия этих документов жд имеет право самостоятельно проверить качество предъявляемого к перевозке СПГ. Качество проверяется выборочно, наружным осмотром (могут быть проверены до 5% груза), обращают внимание на внешний вид, цвет, запах, температуры, консистенцию, окраску, размеры. Температура груза измеряется при погрузке в вагон. Туши КРС разделяются на полутуши и четвертины, свинина – на полутуши, баранина – тушами. Они должны быть без остатков внутренних органов, кровоподтеков, сгустков крови, загрязнений, побитостей, повреждений поверхности. Погрузка мяса производится в присутствии транспортного ветврача, которого предупреждает ДС за 24 часа до погрузки. Мороженное мясо у костей в толщине мышц должно иметь: говядина t = -8С, свинина t = -10С, мясо на экспорт t = -10С. Мясные блоки заворачиваются в пергамент или целлофан упаковывается в коробки и укладывается в вагон плотным штабелем. Охлажденное мясо предъявляется к перевозке при t от 0 до +4С с корочкой подсыхания, без ослизнения и плесени. Остывшее мясо предъявляется к перевозке при t от +4 до +12С. Охлажденное и остывшее мясо грузится в вагон подвесом на крючьях без соприкосновения тушь полутушь друг с другом. Перевозится только секциями БМЗ. Битая птица в мороженном состоянии предъявляется к перевозке при t = -8С.

24. Понятие теплотехнического расчёта изотермического вагона.

2) Цель теплотехнического расчета: определить количества тепла (Q), поступающего в грузовое помещение для определения холодопроизводительности Х/М Q = Q1 + Q2 + Q3 + Q4 + Q5 + Q6

Q1 – количества тепла поступающего в грузовое помещение вагона от наружного воздуха и воздуха машинного отделения через ограждения кузова вагона Q1=Fрk(tн-tв)+Fм k(tм-tв)

Q2 - количества тепла поступающего в грузовое помещение вагона от воздействия солнечной радиации Q2=Fk(tmax-tв) z/24

Q3 - количества тепла поступающего в грузовое помещение через неплотности кузова вагона Q3=Vp/3.6 * (i1-i2)

Q4 - количества тепла поступающего в грузовое помещение при вентилировании вагона

n – кратность вентилирования, объем/ч V – объем грузового помещения вагона, м3 1,3 – теплоемкость возуха, кДж/м3 r – скрытая теплота конденсации водного пара из наружного воздуха, кДж/ч φ1, φ2 – относительная влажность воздуха поступившего в вагон и выходящего из него (доли единицы) g1, g2 - абсолютная влажность воздуха поступившего в вагон и выходящего из него, г/м3

Q5 - количества тепла поступающего в вагон эквивалентное работе вентиляторов в грузовом помещении Q5=1000Nnв∙ηэ∙τв/24

N – мощность электродвигателей вентиляторов, кВт nв – число электродвигателей ηэ – КПД электродвигателей τв – продолжительность работы электродвигателей в сутки, ч

Q6 - количества тепла поступающего в грузовое помещение от перевозимого груза и тары при охлаждении в вагоне

Все 6 теплопритоков практически никогда не действуют. Так при перевозке мороженных грузов, груз подается под погрузку термически подготовленным и в пути следования не вентилируется, следовательно не надо учитывать Q4, Q5, Q6

20.Перевозка скоропорта в смешанном железнодорожно-водном сообщении

Перевозка железнодорожно-водным сообщением осуществляется по единой накладной. Эта перевозка осуществляется при взаимодействии железнодорожного и водного транспорта. ППГ ОАО «РЖД» и заинтересованными ведомствами. Смешанная – так как несколько видов транспорта, прямая – так как по единой накладной. К документам на перевозку обязательно прикладываются сертификаты, качественные удостоверения. При отсутствии их в пункте перевалки, новые удостоверения выдает инспектор по качеству.

Тара и упаковка грузов, которые перевозятся в районы Севера, должны соответствовать ГОСТу. Ответственность за тару несет ГО.

Передача груза производится без грузоотправителя и грузополучателя. Если возникла конфликтная ситуация, то стороны руководствуются Уставом ЖДТ и Уставами внутреннего водного транспорта. Споры по качеству груза в пункте перевалки решаются сдающей и принимающей стороной при участии государственного инспектора по качеству. При выявлении порчи груза в пункте перевалки, сдающая сторона может реализовать груз, вырученные деньги вернуть ГО. МинТранс должен информировать железную дорогу о начале и окончании навигации до р. Енисей с западной стороны за 20 суток, с восточной за 45 суток.

Важное место при прямом смешанном сообщении имеет ЕТП работы станции и порта. Он предусматривает:

- организацию информации о подходе вагонов и судов (предварительную и точную);

- сменно – суточное планирование работы пункта перевалки, предусматривающее своевременный подвод вагонов и судов;

- организацию погрузо-разгрузочных работ,

- подготовку подвижного состава в санитарном, техническом и температурном отношении,

- быстрое оформление документов.

ЕТП предусматривает единые графики обработки вагонов и судов. Дорога и Пароходство заключают узловое соглашение. Передача грузов производится по передаточным ведомостям, которые выписываются в 4-х экземплярах, по две каждой стороне. Сроки перевозки устанавливаются отдельно по каждому виду транспорта. Грузовые пункты перевалки могут быть специальные и универсальные. Перевозочные документы составляются в двух экземплярах, второй остается в пункте перевалки

Фрион-22 (дифтормонохлорметан) в 4 раза тяжелее воздуха, более ядовит, чем хладон-12, растворяет в 8 раз больше воды, чем хладон, неограниченно растворяется в масле только при высоких температурах. Фрион легко проникает через неплотности, нейтрален к металлам, обладает высокой объемной холодопроизводительностью, близкой к аммиачной, коэффициент теплоотдачи на 25-30% выше, чем у хладона. Температура кипения -40,8С°, замерзания -160С°, температура конденсации 96С°. Применяется в АРВ и 5-вагонных секциях.

Хранятся и транспортируются х/а в стальных герметически закрывающихся баллонах емкостью 5-50 л, снабженных вентилями и предохранительными клапанами.

18.Охлаждени изотермических вагонов и контейнеров жидким азотом. Достоинства и недостатки.

Автономные вагоны с жидкоазотным способом охлаждения (АЖВ) были разработаны в НИИЖТ, но не внедрены на сети.

Охлаждение сжиженными газами основано на дросселировании этих газов находящихся в баллонах, которое сопровождается поглощением тепла из окружающей среды. Можно применять сжиженный бутан пропан, углекислый газ, азот, кислород, воздух.

Из этих газов наиболее эффективен азот, температура перехода в газообразное состояние – 196 градусов при этом он увеличивается в объеме в 700 раз, заполняет все пространство грузового помещения. Происходит быстрое охлаждение и образуется равномерное температурное поле. Аналогичные вагоны используются за рубежом для перевозки СПГ и цветов.

Рекомендуется перевозить: плодоовощи (от 0 до +10°C), молочные продукты (от 0 до +5°C), свежее мясо и свежую рыбу (от -1 до +5°C), яйцо (от 0 до +15°C).

Подача азота в грузовое помещение происходит следующим образом: при повороте вентиля испарителя азот поступает в емкость, где кипит, увеличивается в объеме в 700 раз, при этом резко возрастает давление, и азот под давлением поступает в систему раздачи. Процесс полностью автоматизирован.

Недостатки: при эксплуатации данного РПС необходимо иметь не только пункты ТО, но и экипировки. В начале процесса перевозки экипировка требуется через 12-15 часов, потом через 1, 2, 3 суток в зависимости от количества тепла поступающего в вагон (расход азота в первые сутки составляет: для плодоовощей -7 т, для мяса мороженного – 1 т).

Преимущества: - надежность системы охлаждения; - равномерность температурного поля в грузовом помещении; - простота конструкции и эксплуатации; - простота обслуживания и экипировки (требуется небольшой штат рабочих);- отсутствие жидкого топлива и Х/М; - отсутствие вентиляционного оборудования (кислорода 3 – 5 %); - быстрое охлаждение грузового помещения; - обеспечение качества СПГ

По строению теплоизоляционные материалы бывают:* - жесткие (платы, щиты) * - гибкие (маты, шнуры, жгуты) *- рыхлые

По виду основного сырья:

- не органические (пенобетон, керамзитобетон, шлак, пемза, пеностекло) не подвержены гниения, мало гигроскопичны

- органические: пробковые плиты (λ=0,05 Вт/м2∙К, дорогая, опилки пробки + смола), торфоплиты (горючи, подвержены воздействию грибков), мипора (влагоемкий материал), камышовые щиты (дорогие).

Гидроизоляционный (влагоизоляционный) материал:

- пароизоляционная бумага (рубероид, толь, перфоль, рулонный синтетический материал)

- напыляемые изоляционные материалы (при напылении в объеме увеличиваются в 30 раз при этом заполняют все предоставленное пространство, в том числе и микрощели, одновременно являются конструктивным материалам).

Основной задачей расчета теплоизоляции является определение рациональной толщены теплоизоляционного слоя в зависимости от назначения холодильного помещения:

Толщина изоляции=коэфициент теплопроводности[1/коэф теплопередачи-(1/коэф теплоотдачи от наружн стенки+ толщина/материал + толщина/материал…+1/коэф теплопередачи от внутр стенци)]

2 5.Порядок построения энтальпийной диаграммы двухступенчатой холодильной машины.

1-2 Сжатие в ЦНД (Ро, to – соответственно давление и температура кипения (всасывания в ЦНД)).

2-3 Охлаждение в промежуточном сосуде (Ро1, to1 – соответственно давление и температура в промежуточном сосуде).

3-4 Сжатий в ЦВД (Рк, tк – соответственно давление и температура конденсации (сжатия в ЦНД)).

4-5 Конденсация.

5-6 Переохлаждение.

6-7 Первое дроссельрование.

7-8 Отделение жидкости от пара в промежуточном сосуде.

8-9 Второе Дрсселирование.

9-1 Кипение.

26.Правила перевозок мороженого мяса.

Мясо и мясопродукты грузятся в вагон только после осмотра ветеринарным врачом, который уведомляется не менее чем за 24 часа до подачи вагонов под погрузку. Изменение указанной в ветеринарном свидетельстве станции назначения и ГП при погрузке или переадресовке допускается только с согласия ветврача. Туши крупнорогатого скота разделяют на полутуши и четвертины, свинины на полутуши, баранину не разделяют. Мясо не должно иметь остатков шкуры и внутренних органов. Мороженное мясо укладывают плотным штабелем. Температура при приеме в толще мышц у кости должна быть не более: –10ºС – свинина; –8ºС – говядина.

Эндокринное сырье (поджелудочные, щитовидные железы в медицинских целях) предъявляется к перевозке при t = -20С. Субпродукты (язык, печень, почки) предъявляется к перевозке при t = -12С. Мясокопчености (корейка, грудонка) предъявляется к перевозке в ящиках при t = -9С.Колбасы (чистая сухая поверхность) предъявляется к перевозке в ящиках: сырокопченые при t = +12С, полукопченые и вареные при t от 0 до +4С. Мороженная рыба упаковывается в картонные коробки или деревянные ящики предъявляется к перевозке при t = -8С укладывается плотным штабелем. Охлажденная и соленая рыба упаковывается в сухотарные бочки или деревянные ящики послойно слой рыбы слой, мелкодробленого льда, предъявляется к перевозке при t от -1 до -3С. В зависимости от засола рыба бывает: * слабосоленая 6 – 10% соли; * среднесоленая 10 –14% соли; * крепкосоленая более 14% соли. Плодоовощи должны быть чистыми, без механических повреждений и вредителями, одной степени зрелости, в жесткой стандартной таре предъявляется к перевозке при t от +2 до +5С. Молоко свежее в молочных цистернах, бидонах, флягах предъявляется к перевозке при t = +4С, творог при t от –8 до -12С, томленое и сливочное масло в упаковке в ящиках при t от –2 до +6С, маргарин в упаковке в ящиках при t = +10С. Сыры твердые упаковке укладываются в ящики, барабаны t = +8С, плавленые при t от –2 до +5С.

23.Понятие непрерывной холодильной цепи (НХЦ). Элементы (НХЦ).Схемы и условия функционирования НХЦ

1) НХЦ – это комплекс технических средств и технологических процессов, предназначенных для подготовки, хранения и транспортирования СПГ от мест производства до мест потребления.

Для устойчивой и бесперебойной работы НХЦ необходимо предусмотреть: * технологическую непрерывность и стабильность условий перевозки в течение всего времени нахождения СПГ в системе НХЦ; * эксплуатационную непрерывность продвижения грузопотока; * предусматривает объединение районов производства и потребления СПГ с целью создания устойчивого грузопотока; * обеспечение транспортными и стационарными холодильниками всего грузопотока; соблюдение сроков доставки.

К эл-м холодильным установка относятся: * Холодильники * транспортные средства *- дополнительные объекты (депо, гаражи пункты ПТО и экипировки и др.)

Схемы непрерывной холодильной цепи

РБ->ПБ->МХТ->ПХ->ЖХТ->АХТ->РХ->Х

РБ – рыболовецкое судно ПБ – плавбаза МХТ – морской холодильник ПХ – перегрузочный холодильник ЖХТ – железнодорожный хладотранспорт АХТ – автохладотранспорт РХ – распределительный холодильник Х – торговая точка

- вагоны, в которых перевозились больные животные или их мясо или если обнаружен падеж;

- вагоны в которых перевозились животные с подозрением на сибирскую язву или столбняк.

Категорию обработки определяет ветврач. Вагоны 1 категории отправляются по пересылочной ведомости на обработку; вагоны 2 и 3 категории по полным документам под пломбами.

ДС должен дать телеграмму об отправлении вагонов 2, 3 категории и получить ответ, что вагоны прибыли. Если вагоны в течение 2-3 дней не прибыли, организуется срочный розыск.

После обработки ДС дает заключение о годности вагонов под погрузку.

Технология обработка: 1 категории: очищаются от навоза, промываются горячей водой;

2 категории: 1 + дезинфекция раствором хлора; 3 категории: дезинфицируются, очищаются, навоз сжигают, дезинфицируются повторно, промываются и снова дезинфицируются.

Вода после промывки собирается в емкости, где кипятится при температуре 120ºС.

На сети железных дорог работают дезопромстанции и дезопромпункты. Существуют строгие ограничения выбора места ДПС, ДПП – должно быть удаление от населенных пунктов, автодорог, предусматривается маневренные устройства для работы, ДПС разделяется для 1, 2, 3 категории. Особенно изолируются здания для обработки вагонов III категории

27. Правила перевозок плодоовощной продукции.

Плодоовощи предъявляются свежими, чистыми, без механических повреждений, без повреждений грызунами и однородными по степени зрелости. Содержание в плодах токсичных элементов, пестицидов, нитратов не должно превышать допустимые уровни установленные медико-биологическими требованиями и санитарными нормами качества продовольственного сырья и пищевых продуктов. Плодоовощи упаковываются в соответствующую тару: в ящики типа

1, 2 – ягоды, фрукты; ящик типа 3 – картофель; ящик типа 4 – картофель, капуста.

Укладка плодоовощей производится в уровень с верхней обвязкой ящика.

В период массовых заготовок допускается перевозка отдельных плодоовощей навалом в КР (картофель, свекла, арбузы). Картофель для длительного хранения перевозится только в таре.

Бананы к перевозке предъявляются жесткие зеленого цвета, укладываются в полиэтиленовые мешки с плотно завязанной горловиной и затариваются в картонные коробки. Перевозятся только в РПС, при плюсовых температурах вентилируются два раза в сутки, при минусовых температурах вентилируются 1 раз в сутки в течении 15-20 минут. Наличие пожелтевших бананов в конце перевозки не является порчей.

Для живых растений условия перевозки определяет ГО и перевозятся они только в сопровождении проводников ГО.

Предельные сроки перевозки всех грузов в том числе и плодоовощей приведены в Приложении к ППСГ.

28.Принципиальная схема одноступенчатой холодильной машины.

О тветы:

1). Х/м состоит из:

1 Компрессора, который предназначен для сжатия газообразного х/а.

2 Конденсатора, который предназначен для превращения х/а из газообразного состояния в жидкое за счет отдачи тепла воздуху.

3 Терморегулировочного вентиля (ТРВ), который предназначен для дросселирования х/а (дросселирование процесс понижения температуры за счет понижения давления), регулировка количества х/а подаваемого в испаритель..

4 Испарителя, который предназначен для кипения х/а, в испарителе происходит забот тепла от окружающей среды.

30. Причины порчи продуктов при хранении.

В процессе хранения все СПГ изменяют свое качества в сторону ухудшения. Степень изменения качества продукта зависит от способа производства и хранения. Если продукты подвергнуты консервированию или созданы специальные условия, то СПГ хранятся дольше.

Процессы изменения качества растительных и животных продуктов отличаются друг от друга и протекают не одинаково. Плоды овощи после съема продолжают жить и бороться с микроорганизмами, животные продукты изменяются сразу.

Порча продукта сопровождается распадом белковых веществ (процесс гниения). Это происходит под воздействием гнилостных бактерий. При благоприятной температуре и наличии кислорода происходит глубокий распад продукта с выделением ядовитых веществ.

Причины порчи продуктов:

Наличие воды. Наличие микроорганизмов.

Условия, способствующие развитию микроорганизмов и микробиальных процессов.

Высокая и низкая температуры губительны для микроорганизмов.

Под ухудшением понимают изменение товарного вида.

Под порчей – изменение вкусовых достоинств и питательной ценности продукта.

Мясные продукты:

Потеря влаги приводит к изменению товарного вида. Химические изменения приводят к изменению цвета. Под влиянием кислорода появляется коричневая окраска, жиры окисляются, изменяются вкус. К наиболее часто встречающимся видам порчи относятся: ослизнение, плесневение, пигментация, загар, кислые брожения и гниение.

Рыба:

К наиболее часто встречающимся видам порчи относятся: изменение окраски жабр, глаза тускнеют, брюшко разбухает, слизь на поверхности мутнеет, рыба приобретает темно-серый цвет, мясо дряблеет и отстают от костей.

Масло:Изменение вкуса, пигментация, плесневение.

Сыры:

Вспучиваются (под действием маслянокислых бактерий), аммиачный и гнилостный запах, плесневение.

Овощи, плоды:

Имеют следующие стадии спелости: съедобная, техническая, съемная, физиологическая.

Причины порчи при перевозке:

1 несоответствие продукта требованиям стандарта;

2 несоответствие тары требованиям стандарта;3 несоблюдения режима перевозки.

32.Система технического обслуживания ИПС.

Основная задача ТО – обеспечение своевременной готовности ИПС к перевозке СПГ и обеспечение необходимых температурных режимов при перевозке СПГ. ТО включает в себя:

периодическую проверку холодильного, электрического и вспомогательного оборудования и обеспечение планово-предупредительных ремонтов;

подготовка вагонов к погрузке и обработка его после выгрузки;

поддержание заданных режимов перевозки и контроль за их соблюдением.

ТО состоит из предупредительных ремонтов (заводской ремонт (КР) производится на специализированных заводах; деповской ремонт (ДР) производится в депо приписки (было 9 сейчас 7)) и технического обслуживания (смазочные, крепежные операции, техническое содержание) – производит обслуживание бригада.

Периодичность ремонта:

1ый заводской ремонт после постройки производится через 8 лет, 2ой через 6 лет.

1ый деповской производится через 2 года, 2ой через 1,5 года.

Межремонтный период может быть продлен по решении «Рефсервиса».

Срок службы рефрижераторных вагонов 28 лет.

Кроме деповского и заводского ремонтов производится ежедневный осмотр, а также дополнительные осмотры через 50, 100, 200, 400 часов работы.

На каждой секции имеется техническая документация:

Инструкция по эксплуатации оборудования.

Маршрут формы ВУ-83

Рабочий журнал ВУ-84,

Журнал регламентных работ.

Отчет о работе бригады.

Секцию или поезд постоянно обслуживают 2 бригады: продолжительность работы бригады – 45 сут. Смена бригад производится по графику утвержденному начальником депо, При приеме секции начальник секции (ВНР) осматривает и проверяет работу оборудования, наличие поездной документации, наличие инструментов, запчастей, сигнальных принадлежностей и т.д. По окончании приема начальник дает в депо телеграмму о приеме секции (работу начал ВНР Иванов). Бригада следит за содержанием оборудования, обеспечивает готовность секции принять груз, следит за правильным использованием вагонов, сохранностью вагонов и оборудования, организует ускоренную погрузку, выгрузку, своевременную подачу заявки об экипировке (не позднее, чем за 6 – 12 часов). По прибытию на станцию ВНР должен согласовать с ДСП план работы. Перед выгрузкой ВНР создает в вагоне максимальную температуру по температурному режиму, записать в журнал и после этого отключить оборудование.

В необходимых случаях ВНР дает выписку из температурного журнала. Грузоперевозчик должен тщательно очистить вагоны (следит ВНР).

33.Специализированне вагоны для перевозки скоропорта

Ц истерна для перевозки молока. Молоко перевозится на небольшие расстояния, срок доставки не более 3 суток, температура при перевозке зимой +2; летом не более + 10 градусов. Цистерны бывают грузоподъемностью 26 и 31,5 тонны, имеют три отдельные алюминиевые секции котла, что позволяет перевозить молоко разного качества от трех грузоотправителей. Цистерна не имеет приборов охлаждения, в качестве теплоизоляционного слоя используется мипора толщиной 300 мм, коэффициент теплопроводности 0,58 Вт/м2К.

Секции котла оборудованы устройствами для налива-слива и контроля уровня молока.

Если молока недостаточно заполняют крайние или центральную секцию.

После перевозки котлы промывают, сначала холодной потом горячей водой. Через 5 -6 рейсов проводят дезинфекцию.

Ц истерны для перевозки виноградного вина и виноматериалов. Цистерна (тара 43,6 т) грузоподъемностью 32 т установлена в цельнометаллический кузов 4-х осного вагона длинной 13510 мм, имеющего изоляцию из мипоры, общая толщина стен 150 мм, потолка 250 мм. Коэффициент теплопередачи 0,58 Вт/м2К

1 – расширительный бак на 280 л 2 – купе проводника 3 – баки для льда общий вес льда 4 т

4 – кузов вагона 5 – две цистерны из листовой стали, емкостью по 14 м3 6 – котел водяного отопления

При температуре наружного воздуха -30°C температура груза не ниже 0°C, а при температуре наружного воздуха +30°C температура груза не выше 20°C.

Также для перевозки вина можно использовать цистерны-термосы и молочные цистерны. Цистерны термосы не имеют приборов охлаждения и отопления. Грузоподъемность 53 т, емкость котла 53 м3, тара 26,5 т. Котел диаметром 2600 мм из нержавеющей стали изолирован полистеролом толщиной 250 мм и обшит металлическим кожухом. В верхней части два люка, один – горловина, в другом размещены штурвал нижнего слива и уровнемер. При температуре наружного воздуха -40°C температура груза не ниже +8°C, а при температуре наружного воздуха +30°C температура груза не выше +15°C в течении 15 суток. Цистерны следуют без проводников.

35. Термодинамические основы работы холодильных машин.

1) Работа холодильных машин основана на двух законах термодинамики, согласно которым для передачи тепла от менее нагретых тел более нагретым необходимо энергия и третье тело. В качестве третьего тела используется хладагент, который совершает обратный круговой процесс. В газообразном состоянии х/а забирает тепло, в жидком – отдает. Для перевода х/а из одного состояния в другое необходимо затратить энергию, т.е. совершить работу Q=Q0 + L.

Совокупность процессов, которые при этом осуществляет х/а, называется холодильным циклом.

Таким образом, холодильная машина представляет собой замкнутую систему аппаратов и устройств, осуществляющих холодильный цикл, т.е. круговой тепловой процесс рабочего вещества (х/а).

По способу реализации замкнутого цикла х/м бывают: * компрессионные; * абсорбционные; * адсорбционные; *струйные.

Количество х/а, циркулирующего по замкнутому кругу постоянно. Количество отведенного тепла от тела в течении часа называется холодопроизводотельностью Qo, которая зависит от удельной холодопроизводотельности (qo) и количества (G) х/а циркулирующего в системе.

Qo= qoG

Эффективность работы холодильной машины характеризуется холодильным коэффициентом (ε), который равен отношению отнятого тепла (Qo) к выполненной при этом работе (L).

Для изучения циклов работы х/м, происходящих в них процессов и определения параметров х/а используют энтальпийные диаграммы и таблицы разработанные на основе экспериментальных исследований.

Энтальпия (теплосодержание) – общее количество энергии, т.е., тепла и механической работы, которые должны быть подведены в телу, чтобы перевести его из заданного состояния в следующее.

Энтальпийнце диаграммы строятся в осях давления (Р, вертикальная ) и энтальпии (I - горизонтальная). На диаграмму наносятся две пограничные кривые: левая характеризует состояние насыщенной жидкости (паросодержание х=0), правая - состояние сухого насыщенного пара (х=1). Между пограничными кривыми расположена область влажного пара 2. Левая кривая отделяет область переохлажденной жидкости 1, правая – область перегретого пара 3. Кривые ограничены двумя изобарами (давление всасывания и давления нагнетания).

37. Техническая характеристика и конструкция 5 вагонной секции ZA-5.

1) Пятивагонная секция ZА-5 построенная до 1970 года и имеет центральную дизель-электростанцию, размещенную в торце вагона 3. В торце вагона 2 находится служебное помещение. Эти отделения вагонов 2 и 3 соединены переходной площадкой с защитной гармоникой. Компоновка секции следующая

ДО – дизельное отделение, СП – служебное помещение, мо – машинное отделение, гп – грузовое помещение

Все пять вагонов цельнометаллические с кузовом длиной 17 м. Каждый имеет грузового помещение и машинное отделение, в котором размещены по два компрессорно-конденсационных агрегата 1. В грузовом помещении установлены воздухоохладитель 3, вентилятор 6, электронагреватель 2, под потолком – воздушный канал 4, электродвигатель вентилятора воздухоохладителя

Кузова вагонов цельнометаллические. Наружная и внутренняя обшивка из оцинкованного железа толщиной 2 мм. Теплоизоляция мипора, толщиной в крыши 234 мм, в стенке 230 мм, в полу 140 мм. Коэффициент теплопередачи К=0,3 Вт/м2∙К, после усадки мипоры К увеличивается до 0,6-0,7. Двери двухстворчатые.

38. Техническая характеристика и конструкция 5-ти вагонной секции БМЗ.

5-вагонные секции Брянского машиностроительного завода (БМЗ выпускаются с 1965 года) предназначена для перевозки СПГ, требующих поддержания температуры в грузовом помещении от-20 до +14°С при температуре наружного воздуха от +30 до-45°С, а также для охлаждения свежих плодоовощей от +25 до +4°С в течении 60 часов. БМЗ состоит из 4 грузовых вагонов и одного служебного, расположенного в середине секции. Длина грузового вагона 21 м. Кузов грузового вагона цельнометалический, сварной конструкции с несущими гофрированными стенами.

Наружная обшивка стен и крыши выполнена из стального гофрированного листа толщиной 2 мм (гофры горизонтальные), внутренняя обшивка стен грузового помещения выполнена из алюминиевых листов толщиной 2 мм с вертикальными гофрами, обшивка потолка – из древесноволокнистых плит толщиной 44 мм.

Необходимость промывки вагонов определяет санитарно-ветеринарная служба. При перевозке категорийных грузов промывка обязательна (прослеживает ВНР). Грузовое помещение промывается водой, а затем электропечами просушивается. Под погрузку вагоны отправляются под пломбами по пересылочной ведомости. РПС должен подаваться в первую очередь под погрузку низкотемпературных грузов. Он должен быть технически, термически исправным, заправлен дизельным топливом, смазкой и другими материалами для жизнеобеспечения бригады и секции.

При подходе к станции погрузки ВНР должен запустить всё холодильное оборудование и проверить его работу.

При отцепке вагонов от секции бригада отсоединяет электросиловые установки и автосцепку, время отцепки не должно превышать 6 часов.

Предварительное охлаждение производится:

для низкотемпературных грузов до -10ºС; для охлажденных до 0 ºС.

39. Техническое обслуживание и основы эксплуатации автономных рефрижераторных вагонов.

1) Так как АРВ следует без сопровождения, техническое обслуживание пути следования производится на специализированных пунктах технического осмотра. Указанные ПТО расположены преимущественно в Европейской части страны, где и эксплуатируются АРВ.

На станции перед погрузкой (ст. О) механики осматривают АРВ (проверяют температурный режим, работу дизель-генераторной установки и Х/М, делают запись в бортовом журнале), пломбируют грузовое помещение и отправляют под погрузку. Погрузка осуществляется в присутствии приемосдатчика и механика. После погрузки механик включает обе Х/М, работающие от донного Д-Г (одну на постоянную работу, другую временно), когда температура достигнет заданного значения, одна Х/М отключается.Через 24 часа наработки Х/М на ПТО участковой транзитной станции выполняют ТО-2.Механик не заходя в грузовой отсек, вскрывает машинное отделение, проверяет работу Д-Г и Х/М, температурный режим, делают запись в бортовом журнале и отправляет дальше. На станции выгрузка температуру доводят до крайнего значения, подают под выгрузку и отключают Д-Г. После перевозки при необходимости, а после перевозки мясной или рыбной продукции в обязательном порядке, АРВ оправляют под промывку. Через 120 часов наработки Х/М производят Укрупненный технический осмотр первого объема УТО-1, через 450-500 часов наработки Х/М производят Укрупненный технический осмотр второго объема УТО-2.АРВ как и остальной РПС приписанных к одному из Рефрижераторных депо, где делают ТР, ДР, КР выполняют на вагоноремонтных заводах. Недостатки использования АРВ:

1. ограниченный полигон использования.

2. отсутствия контроля в пути следования.

3. коэффициент порожнего пробега равен 1.

31. Расчёт теплового баланса одноступенчатой холодильной машины. Порядок построения энтальпийной диаграммы рабочего цикла одноступенчатой машины в координатах P-i.

1) Построение и расчет теоретического цикла работы х/м производится для установления теплового и мощностного режима работы х/м. Построение теоретического цикла сводится к определению параметров х/а, т.е. вписыванию в тепловую диаграмму опорных характерных точек и графическому изображению процессов происходящих в агрегатах х/м.

Т еоретический цикл одноступенчатой х/м в координатах Р-i состоит из следующих составляющих:

- адиабата (1-2) соответствует процессу засасывания из испарителя и сжатия в компрессоре сухого насыщенного пара.

- изобара (2-а) – охлаждение пара в конденсаторе.

- изобара и изотерма (а-3) – конденсация пара в конденсаторе при температуре tк и давлении Рк, (к – конденсация).

- изоэнтальпия (3-4) – дросселирование х/а в ТРВ.

- изобара и изотерма (4-1) – кипение х/а в испарителе при температуре tо и давлении Ро, (о – кипение).

Действительный цикл отличается от теоретического за счет перегрева паров при сжатии, переохлаждения при охлаждении и трения в трубопроводе.

- изобара (3-3!) – переохлаждение х/а в переохладителе (и – переохлаждение).

При засасывании из испарителя перегретого пара с температурой tвс адиабатитесчкое сжатие в компрессоре на диаграмме показано линией 1-2!.В этом случаи сухой ход компрессора сопровождается большим перегревом пара при сжатии (точка 2!, температура перегрева сжатых паров tп).

Удельная холодопроизводительность: qo = i1i4 Работа: l = i2i1

Тепло, отводимое в конденсаторе: qк = i2i3 Тепловой баланс: qo + l =qк

Тепло, отдаваемое 1 кг х/а в переохладителе qп = i3i3!

Причины отклонения действительного цикла от теоретического:

* падение давления в конденсаторе и испарителе вследствие трения х/а о стенки труб, в результате чего процесс сжатия между точками 1! и 2! требует большей затраты работы, чем в теоретическом цикле; * переохлаждение жидкого агента в конденсаторе для 100% содержания жидкости перед регулирующим вентилем; * перегрев пара в испарителе для предохранения от уноса частиц жидкости в компрессор (отклонение до точки 1!).

Действительный цикл отличается от теоретического еще и тем, что сжатие паров х/а в компрессоре не происходит при постоянной энтропии; имеются потери на трение и другие (объемные и энергетические) как в компрессоре, так и вне его.

29. Принципиальная схема 2-х ступенчатой холодильной машины.

Для получения более низких температур необходимо понизить температуру кипения х/а и давление в испарители. При этом увеличивается отношение Рко, что допустимо только в определенных пределах поскольку ведет к снижению производительности компрессора и увеличению потерь при дросселировании. Поэтому возможности одноступенчатого сжатия ограничены.

Для получения более низких температур были разработаны и применяются х/м с многоступенчатым сжатием.

ЦНД промежуточный сосуд ЦВД

Э кономия работы получается за счет снижения объема пара и снижения затрат работы в ЦВД, также снижаются потери при дросселировании. Применяются две схемы х/м: с полным и неполным промежуточным охлаждением.

Количество хладагента проходящего через испаритель: (Q0 – холодопроизводительность).

Количество хладагента проходящего через промежуточный сосуд: .

Количество хладагента проходящего через конденсатор: , х1 – паросодержание в точке 1.

Между наружней и внутренней обшивками стен и крыши находится теплоизоляция из полистерола (ранее из мипоры), снаружи теплоизоляция покрыта водонепроницаемой пленкой. Толщина теплоизоляции в продольных стенах 217 мм, в торцевых 290 мм, в крыше 234 мм.

Пол грузового помещения состоит из деревянных брусьев, уложенных поперек хребтовой балки на металлический настил. Между брусьями размещена теплоизоляция толщиной 185 мм в гидроизоляционной пленке. Поверх брусьев укладывается деревянный настил толщиной 45 мм, который покрывается биологически нейтральной резиной толщиной 4 мм. На пол укладываются решетки из алюминиевого сплава, они шарнирно прикреплены к боковым стенам и могут удерживаться в вертикальном положении. В полу имеются два отверстия с гидравлическими затворами, отверстия расположены диагонально и предназначены для слива промывочной воды и конденсата. Для улучшения циркуляции воздуха в вагоне монтируется ложный потолок.

Погрузочная дверь одностворчатая прислонного типа высотой 2000 мм и шириной 2200 мм.

В торце каждого грузового вагона размещено машинное отделение, в котором один над другим установлены два компрессионно-конденсационных агрегата 1, воздухоохладитель 2 и электропечи 3. Они образуют холодильно-отопительную установку холодопризводительность которой при перевозке мороженного груза 6600 Вт, при охлажденииплодоовощей 13700 Вт. Теплопередающая поверхность воздушного конденсатора 90 м2, воздухоохладителя 175 м2. Работа холодильной установки и электропечей автоматизирована. Коэффициент теплопередачи 0,3 Вт/м2∙К, через 2 года эксплуатации - 0,35 Вт/м2∙К.

1 – аккумуляторная; 2 – щитовое отделение; 3 – главный распорядительный щит

Топливные баки расположены в дизельном отделении под крышей и под вагоном.

36. Техническая характеристика 5-ти вагонной рефрижераторной секции ZB-5. Основные принципы работы холодильной машины и охлаждения вагонов. Отопление вагонов. Система эксплуатации.

Пятивагонная секция ZB-5 выпускается с 1971 года (1 служебный и 4 грузовых вагона длиной 21 м, компоновка секции аналогична секции БМЗ) предназначена для перевозки СПГ с температурой перевозки от -20 до +14°С (за исключением охлажденного мяса).

С лужебный вагон

КУ – кабина управления (контрольная и управляющая аппаратура)

Кузов цельнометаллический сварной конструкции. Наружная обшивка из металлического листа с горизонтальными гофрами: толщины в стенке – 1,5 мм; в крыше – 2,5 мм. Изоляция полистерол (толщина в крыше – 250 мм, в стенки – 200 мм, в полу – 140 м). Внутренняя обшивка оцинкованное железо с вертикальными гофрами толщиной 1,5 мм. Рабочий настил пола состоит из 45 мм деревянных досок, уложенных на деревянные брусья. Пол сверху покрыт листами биологически нейтральной резины. Уложенные на резину напольные решетки выдерживают нагрузку от колеса погрузчика (1200 кгс).

Двери грузового помещения прислонного типа с высотой проема 2000 мм, шириной проема 2200 мм. В грузовом помещении имеется 4 водостока, также в грузовом помещении располагаются 6 датчиков для измерения и контроля температуры.

Коэффициент теплопроводности К=0,32 Вт/м2∙К; через два года эксплуатации К=0,39 Вт/м2∙К.

Грузовой вагон

МО – машинное отделение

Цистерны для перевозки коньячных материалов. Сопровождения нет.

Толщина стали 11 мм, внутри нержавейка. Изоляция – стекловолокно, пенополиуретан, грузоподъемность 57 т.

Вагон для перевозки живой рыбы.

Особенность конструкции – наличие резервуаров с водой, для хранения живой рыбы, необходимо обеспечить кислородный (требуется аэроция резервуаров с водой) и температурный режим (+6°C). Кузов цельнометаллический сварной конструкции длиной 14138 мм, тара 40 т, грузоподъемность 32 т включая 24 т воды. Изоляция мипора. Электропитание от двух подвагонных генераторов или аккумуляторных батарей. Для рыбы – два металлических бака с козырьками объемом 17,2 м3 (4,5 т рыбы) и 13,3 м3 (3,4 т рыбы) снабженные подъемной деревянной решеткой для выгрузки рыбы. Для обогащения воды кислородом над баками проходят трубки с форсунками (78 и 42). Вода из резервуаров подается насосами в трубки (производительность насосов вся вода резервуара за 1 час) и распыляется через форсунки, при этом вода освобождается от углекислого газа и обогащается кислородом воздуха. В вагоне имеются емкости для снулой рыбы

34. Стандартные и рабочие условия холодильной машины.

1) Холодопроизводительность и потребляемая мощность установки зависит от температур: кипения, конденсации, всасывания, переохлаждения.

Для всех выпускаемых х/а указанные температуры оговариваются в ГОСТах.

Для фриона:

Т кипения -15°С Т конденсации +30°С

Т всасывания +15°С Т переохлаждения +25°С

Холодопроизводительность при этих температурах называется стандартной (Qр)(по ней определяются и подбираются параметры х/м.

Х/м работают при различных условиях (климатических, поддерживая разные заданные температура), такие условия называются рабочими, а холодопроизводительность – рабочей (Qст).

Vh – объем, описываемый поршнями;

qυр, qυст – объемная холодопроизводительность при рабочих и стандартных условиях;

λр, λст – коэффициент подачи при рабочих и стандартных условиях.

Так как Vh= Vh то:

40.Технологические процессы и средства холодильной обработки скоропортящегося груза.

2) Консервирование – самый надежный и качественный способ, все процессы происходят при температурах от +4 до -35 градусов

Начало замерзания соков в СПГ происходит при температуре ниже 0 градусов, так Креаскопическая температура для мяса -- -0,6…-1,2, рыба – до -2 градусов, земляника -4,2 градуса.

Лучше всего сохранять продукты выше креоскопической температуры, в этом случаи свойства продуктов остаются прежними, а срок хранения не сокращается. Все процессы консервирования холодом происходят в охлаждённой среде.

Охлаждённые среды должны быть не токсичными и химически нейтральными, стерильными:

- газообразные (воздух, углеводрод, хладогент) - жидкие (расол или вода) - твердые (водный и сухой лед, эвтектический лед, испарители) - промежуточные

Основные параметры охлаждённой среды:

- температура - относительная влажность - удельная этальпия (теплосодержание) - скорость движения

Жидкие охложд. среды имеют большую теплоемкость, процессы ускоряются, но они воздействуют активно на продукт, из-за этого ухудшается качество продукта;

Твердые – при соприкосновении с продуктами

К обработке СПГ относятся охлаждение, переохлаждение, подмораживание, замораживание, домораживание, отепление и размораживание.

Охлаждение-отвод тепла от пищевых продуктов с понижение их температуры до начало образования льда. Температура охлаждения от 0 до +4 градусов

Переохлаждение- понижение температуры продукта более чем температуры охлаждения без обращения в лед содержащейся в нем воды. При охлаждении и переохлаждении холод выступает в роли фактора, сдерживающего обменные процессы в веществе без нарушения естественного химического баланса.

Способы охлаждения следующие:

-в воздушной среде,

-в жидкой среде ( в рассоли или воде)

-в тающем льде

Подмораживание- отвод тепла от продукта с понижением его температуры на 1-2 градуса ниже охлаждения при частичном образовании в лед содержащейся в нем воды.

Замораживание- отвод тепла от продукта с понижением температуры его более чем до охлаждения при образовании в лед большей части содержащейся в нем воды.

Домораживание- отвод тепла от пищевых продуктов и доведение их температуры до температуры камеры хранения замороженных продуктов.

Консервирование – самый надежный и качественный способ, все процессы происходят при температурах от +4 до -35 градусов

42. Типы транспортных компрессоров, основные требования, предъявляемые к ним. Выбор и расчёт компрессора для холодильных установок изотермических вагонов.

Компрессор – основной элемент, его назначение – отсасывание паров хладагента из испарителя, сжатие их в цилиндрах и нагнетание в конденсатор.

Типы: * поршневые – с прямолинейным возвратным движением поршня в цилиндре * - центробежные или турбо0компрессоры * -ротационные с вращающимся и катящимся поршнем

На ЖДТ распространены поршневые компрессоры

по применяемому хладогенту: * - аммиачные (применяются на ждт) *- фреоновые (применяются на ждут) * - углекислотные * - унифицированные

по числу степеней сжатия * - одноступенчатые * - многоступенчатые

по числу цилиндров * - одноцилиндровые *- многоцилиндровые

по расположению цилиндров * - горизонтальные * - вертикальные * - угловые *- веерообразные

по направлению движения х/а * - прямоточные * - непрямоточные

по месту установки * - стационарные * - транспортные

по частоте вращения вала * - тихоходные (до 500 оборотов) * - быстроходные (свыше 500 оборотов)

по холодопроизводительности * - мелкие (до 3,5 кВт) * - малые (от 3,5 до 23 кВт) * - средние (от 23 до 115 кВт) * - крупные (свыше 115 кВт)

К транспортным компрессорам предъявляются следующие требования: 1. высокая надежность и долговечность 2. простота конструкции и компактность 3 простота обслуживания 4 устойчивость к ударным нагрузкам 5 высокие удельные мощностные показатели

В 21 вагонных рефрижераторных поездах и 12 вагонных секциях установлены аммиачные, вертикальные, прямоточные компрессоры с водяным охлаждением. Основные части компрессора: картер; цилиндр; коленчатый вал; шатуны; клапаны; подшипники и смазка.

Основной показатель работы компрессора – холодопроизводительность (Qo), по которой определяется объем описываемый поршнями Vh: qv – объемная холодопроизводительность; λ – коэффициент подачи. G – действительное количество х/а;GT – теоретическое количество х/а.

44.Условия приема и правила перевозки мороженной рыбы.

В ИПС перевозится мороженная, охлажденная и соленая рыба и рыбопродукты.

В мороженом виде рыба и рыбопродукты предъявляются к перевозке с температурой –18ºС, затарены в деревянные ящики, картонные коробки, редко мешки. Погрузка плотным штабелем, высотой не более 2 м.

Признаки доброкачественности:

чистая поверхность, естественный окрас, жабры светлокрасного цвета, отсутствие посторонних запахов.

45.Условия приема и правила перевозки прочих скоропортящихся грузов

1) Дрожжи хлебопекарные прессованные должны быть серыми с желтоватым оттенком без темных пятен, консистенция плотная, вкус и запах характерные дрожжам не допускается плесени и посторонних запахов, при перевозке должны иметь температуру 0 +4ºС. Дрожжи в бумажной упаковке упаковываются в ящики.

Консервированная продукция в металлических и стеклянных банках, упаковывается в деревянные или картонные ящики.

Продукция солена, квашенная, маринованная перевозится в деревянных бочках с полиэтиленовыми вкладышами.

Стерилизованные соки, сиропы перевозятся в стеклянных банках, жестяной упаковки, тетрапаках в изотермических вагонах перевозятся круглогодично, в КР в переходный и летний периоды.

Вина – в бутылках, упакованных в ящики, температурой +2…+12ºС.

Стеклянные банки, бутылки затариваются в ящики, имеющие поперечные и продольные перегородки.

46.Условия приема и правила перевозок охлажденного мяса.

1) Мясо и мясопродукты грузятся в вагон только после осмотра ветеринарным врачом, который уведомляется не менее чем за 24 часа до подачи вагонов под погрузку. Изменение указанной в ветеринарном свидетельстве станции назначения и ГП при погрузке или переадресовке допускается только с согласия ветврача. Туши крупнорогатого скота разделяют на полутуши и четвертины, свинины на полутуши, баранину не разделяют. Мясо не должно иметь остатков шкуры и внутренних органов. Охлажденное и остывшее мясо хранится и перевозится подвесом на крючьях, общий срок хранения охлажденного мяса до погрузки не должен превышать 5 суток. Охлажденное мясо принимается на экспорт при температуре хранения от 0 до +4 градусов, со сроком хранения не более 4х суток.

48. Характеристика и планировка холодильных складов. Хранение скоропорта в РГС.

Стационарные холодильные сооружения

Одним из звеньев НХЦ являются стационарные холодильники.

Холодильник – это промпредприятие, в котором с помощью х/м поддерживается заданный температурный режим.

Холодильники в зависимости от назначения подразделяются на: * заготовительные (в сельской местности) * производственные (мясо, рыбокомбинаты) * транспортно-экспедиционные (портовые, перевалочные) * распорядительные(в районах потребления)

Каждый холодильник характеризует емкость: мелкие до 100 т, малые до 300, средние до 500, крупные до 10000, сверхкрупные свыше 10000т. Бывают многоэтажные, одноэтажные. На каждом этаже есть камеры для хранения определенного вида груза.

Емкость: , где – среднесуточное поступление груза; – коэффициент неравномерности; – продолжительность хранения.

Грузовой объем: Vгр = E/g где g – норма загрузки т/м3.

Грузовая площадь: Fгр =Vгр/hгр где hгр – высота штабеля, м.

Регулируемая газовая среда (РГС)

Холодильная обработка скоропортящегося груза не решает полностью вопроса о его сохранности, особенно плодоовощей. Фактором, способным сдержать процессы жизнедеятельности микроорганизмов является химический состав атмосферы. Поэтому для успешного хранения плодоовощей применяется химический способ обработки продуктов за счет регулирования содержания О2 и СО2 в атмосфере. Если в атмосфере повысить содержание СО2 до 3-10%, и понизить концентрацию О2 до 2-3% , то жизнедеятельность плодов уменьшается в 2-3 раза.

При перевозке различных плодов состав атмосферы различен, он определен опытным путем. Различают 3 состава РГС.

1 общее содержание О2 и СО2 равно 21%. О2 – 16% СО2 – 5%

Действие этой среды основано на повышении СО2 и является однофазной.

2 общее содержание О2 и СО2 не более 10%. О2 – 3% СО2 – 5%

Действие атмосферы является двухфазной.

3 общее содержание О2 и СО2 на более 5%. О2 – 2-3% СО2 не более 1%

Данная атмосфера эффективна для только что сорванных плодов.

При применении РГС повышенные требования предъявляются к камерам хранения, так кАк необходимо достичь герметичности. Применение РГС наиболее эффективна в комплексе с понижением температуры.

Преимущества одноэтажных холодильников : 1 - нагрузка на 1 кв метр площади 2 – пролеты между колоннами могут быть до 30 м 3 – высота холодильника может быть 10 – 20 м

50.Химический состав и физические свойства пищевых продуктов, краткая характеристика. Влияние химических элементов на сохранение качества.

1) Скоропортящиеся грузы являются в основном продуктами сельского хозяйства, растительного или животного происхождения. СПГ предъявляются в перевозке в натуральном или переработанном виде и состоят из неорганических и органических веществ.

К неорганическим веществам относятся: минеральные соли и вода, к органическим – белки, углеводы, жиры, кислоты, витамины, ферменты. Минеральные соли представляют собой органические соединения и растворимые соли натрия, калия, кальция, железы фосфора и др. Они составляю примерно 1-2% от общего веса пищевых продуктов. Всего известно примерно 60 минеральных солей, наибольшее влияние на продукт оказывают соли NaCl и КCl, которые снижают температуру замораживания продукта. Вода во многих продуктах содержится в значительном количестве (40-95%) и находится она в свободном или связанном состоянии, причем в растительной продукции воды значительно больше. Воду, молекулы которой электрически прочно связаны с молекулами белка, называют связанной; тем или иным способом выделенная из клетки она не поглощается ее обратно. Под свободной водой условно понимают воду, которая находится в межклеточном пространстве продукта. Вода служит растворителем минеральных веществ, является регулятором физико-химических процессов, участвует в биохимических реакциях, активизирует деятельность ферментов, влияет на тепловые и механические свойства продукта. К углеводам относятся простые и сложные сахара (моносахариды и полисахариды), а также высокомолекулярные соединения такие как крахмал и целлюлоза. В продуктах растительного происхождения углеводы составляют 80% сухого вещества (виноград, яблоки). Жиры как растительного, так и животного происхождения по своему составу сложные вещества. Они составляют основу таких продуктов как свиное, баранье, говяжье сало, сливочное и растительное масло, маргарин. Жиры отличаются друг от друга природой входящих в них кислот, преимущественно пальмитиновой, стеариновой и олеиновой. При хранении в нормальных температурных условиях жиры подвергаются изменению и частично распадаются на глицерины и жирные кислоты. Последние окисляются на воздухе, вследствие чего продукты приобретают неприятный вкус и запах. Белки это высокомолекулярные соединения, то углеводов и жиров они отличаются тем, что в состав их молекул кроме углерода, водорода и кислорода входят азот сера иногда фосфор. Существует большое количество различных видов белков, отличающееся друг от друга строением и составом аминокислот. Белки очень не устойчивые соединения, быстро реагируют на внешние воздействия (набухают, свертываются, выделяют влагу). Ферменты или энзимы – катализаторы белковой природы. Именно от них зависит подавляющее большинство химических процессов. Многие ферменты положительно влияют на качество продуктов, под их воздействием созревают – приобретают определенный вкус и аромат – сыры, мясо, вино.

  1. Автомобильный хладотранспорт

  2. Анализ причин несохранных перевозок.

  3. Единые технологические процессы работы различных видов транспорта 0

  4. Значение и задачи железнодорожного хладотранспорта. История развития. Применение искусственного холода

  5. Испарители и их роль в транспортных холодильных машинах. Определение холодоотдающей поверхности испарителя для изотермических вагонов.

  6. Классификация изотермических вагонов. Структура парка вагонов.

  7. Контейнеры для перевозки скоропортящихся грузов.

  8. Контрольно измерительные приборы для измерения температур и влажности.

  9. Методы определения качества груза.

  10. Нормирование работы изотермических вагонов. Показатели использования РПС

  11. Определение коэффициента теплопередачи кузова вагона. Факторы, влияющие на коэффициент теплопередачи.

  12. Организация перевозок скоропортящихся грузов на особых условиях.

  13. Организация перевозок скоропортящихся грузов международном сообщении.

  14. Основные принципы и способы консервирования скоропортящихся продуктов

  15. Основные приборы автоматики по регулированию давления и температуры.

  16. Основные теплоизоляционные материалы. Расчёт оптимальной толщины изоляции.

  17. Основные холодильные агенты, их характеристики и свойства. Требования ГОСТа. Области применения холодильных агентов на ж.д транспорте.

  18. Охлаждени изотермических вагонов и контейнеров жидким азотом. Достоинства и недостатки.

  19. Охлаждение и замораживание продуктов питания. Определение расхода холода для этих целей.

  20. Перевозка скоропорта в смешанном железнодорожноводном сообщении

  21. Перевозка живности железнодорожным транспортом.

  22. Подготовка скоропортящихся продуктов к перевозке.

  23. Понятие непрерывной холодильной цепи (НХЦ). Элементы (НХЦ).Схемы и условия функционирования НХЦ

  24. Понятие теплотехнического расчёта изотермического вагона.

  25. Порядок построения энтальпийной диаграммы двухступенчатой холодильной машины.

  26. Правила перевозок мороженого мяса.

47.Условия хранения и подготовки скоропортящихся грузов к перевозке.

СПГ – это грузы, которые в пути следования требуют защиты от высоких и низких температур, то есть требуют особых условий перевозки охлаждения или отопления.Как уже отмечалось, для хранения СПГ требуются особые условия. К этим особым условиям относится температурный режим, который варьируется в диапазоне от –30 до +14С. К мороженным грузам относятся грузы, которые хранятся при температуре ниже –8С, К охлажденным грузам относятся грузы, которые хранятся при температуре от 0 до +4С, плодоовощная продукция хранится при температуре от +2С и выше.

К основным условиям правильной подготовки и организации перевозок относятся:

* Подготовка ГО СПГ к перевозке в полном соответствии с ГОСТами и ППСГ. * Предъявление СПГ к перевозке только в стандартной доброкачественной таре. * Подача под погрузку только исправных вагонов. * Погрузка в вагон и укладка грузов в вагоне в полном соответствии с правилами * Отгрузка маршрутами и ускоренное продвижение поездов.

Необходимость учитывать климатические условия станции назначения (особенно для перевозки в крытых вагонах).

При перевозке СПГ год разделен на 4 периода: зимний, летний и два переходных. В зависимости от периода выбирают соответствующие условия перевозки и срок доставки.

Если погрузка производится на МОП, то СПГ модно завозить только при наличии вагонов.

К перевозке СПГ принимаются по весу и количеству мест с обязательным наружным осмотром. К накладной на каждую отправку ГО должен приложить качественное удостоверение, в котором указывается: наименование груза, термическая подготовка груза, количество мест и вес груза, для мороженных грузов t при погрузке, возможный срок транспортабельности (его определяет ГО). Качественное удостоверение должно датироваться днем погрузки.

Удостоверение на станции назначения выдается ГП. На станциях, где имеются государственные инспекции по качеству, независимо от наличия удостоверения, ГО должен получить сертификат качества (датированный днем погрузки) с заполнением аналогичных данных. При перевозке мяса ГО должен приложить ветеринарное свидетельства, которое выдается местными органами ветеринарного надзора.

Не зависимо от наличия этих документов жд имеет право самостоятельно проверить качество предъявляемого к перевозке СПГ. Качество проверяется выборочно, наружным осмотром (могут быть проверены до 5% груза), обращают внимание на внешний вид, цвет, запах, температуры, консистенцию, окраску, размеры. Температура груза измеряется при погрузке в вагон. Туши КРС разделяются на полутуши и четвертины, свинина – на полутуши, баранина – тушами. Они должны быть без остатков внутренних органов, кровоподтеков, сгустков крови, загрязнений, побитостей, повреждений поверхности. Погрузка мяса производится в присутствии транспортного ветврача, которого предупреждает ДС за 24 часа до погрузки.

43. Типы транспортных конденсаторов, их роль в холодильных машинах. Определение теплоотдающей поверхности конденсаторов для изотермических вагонов.

1) Конденсаторы – теплообменные аппараты, в которых происходит охлаждение паров х/а за счет отдачи тепла воздуху или воде. Они классифицируются:

По способу отвода тепла:

- Оросительные

- Проточные водяные

- Воздушные

По конструкции:

- Кожухотрубные – по трубам течет вода, а между кожухом и трубками конденсируется х/а

- Оросительные – имеют несколько плоских змеевиков из гладких горизонтальных труб, установленных на поддоне орошаемых с верху водой (охлаждающая вода из бачка поступает в распределительные желоба, которые находятся над змеевиками конденсатора, и, стекая с них в виде дождя, орошает змеевики. Пары аммиака подводят снизу противотоком с водой, а сконденсированные аммиак в нескольких местах по высоте конденсатора отводят в сборник-ресивер.

- Испарительные – состоят из ребристых или гладких труб (змеевиков), непрерывно орошаемых водой из форсунок. Вода подается центробежным насосом из поддона конденсатора. Навстречу падающей воде вентилятор непрерывно прогоняет воздух, понижая температуры воды.

- Воздушные – состоят из 9-11 параллельно установленных и соединенных между собой секций, каждая секция состоит из парового (газового) и жидкостного коллекторов, между которыми вварены 28 или 34 вертикальные ребристые трубы диаметром 138 мм. Пары поступают в верхний паровой коллектор, жидкий х/а отводится в нижний коллектор.

Расчет конденсатора сводится к определению его теплопередающей поверхности: Qk – тепловая нагрузка на конденсатор, Вт/м2;

qk – удельная тепловая нагрузка конденсатора, Вт/м2;

K – коэффициент теплопередачи, Вт/(м2∙К), К=30-35 Вт/(м2∙К);

Δt – средняя разность температур между х/а и охлаждаемой средой (для кожухотрубных 5-6°С, для воздушных 8-10°С).

Qо – рабочая холодопроизводительность компрессора, Вт.

41.Технология обслуживания группового РПС бригадами

Секцию или поезд постоянно обслуживают 2 бригады: продолжительность работы бригады – 45 сут. Смена бригад производится по графику утвержденному начальником депо, когда секция находится в порожнем состоянии. Только в исключительных случаях - в груженом.

При приеме секции начальник секции (ВНР) осматривает и проверяет работу оборудования, наличие поездной документации, наличие инструментов, запчастей, сигнальных принадлежностей и т.д. По окончании приема начальник дает в депо телеграмму о приеме секции (работу начал ВНР Иванов).

Бригада следит за содержанием оборудования, обеспечивает готовность секции принять груз, следит за правильным использованием вагонов, сохранностью вагонов и оборудования, организует ускоренную погрузку, выгрузку, своевременную подачу заявки об экипировке (не позднее, чем за 6 – 12 часов). По прибытию на станцию ВНР должен согласовать с ДСП план работы. Перед выгрузкой ВНР создает в вагоне максимальную температуру по температурному режиму, записать в журнал и после этого отключить оборудование.

В необходимых случаях ВНР дает выписку из температурного журнала. Грузоперевозчик должен тщательно очистить вагоны (следит ВНР).

Необходимость промывки вагонов определяет санитарно-ветеринарная служба. При перевозке категорийных грузов промывка обязательна (прослеживает ВНР). Грузовое помещение промывается водой, а затем электропечами просушивается.

Под погрузку вагоны отправляются под пломбами по пересылочной ведомости. РПС должен подаваться в первую очередь под погрузку низкотемпературных грузов. Он должен быть технически, термически исправным, заправлен дизельным топливом, смазкой и другими материалами для жизнеобеспечения бригады и секции. При подходе к станции погрузки ВНР должен запустить всё холодильное оборудование и проверить его работу.

При отцепке вагонов от секции бригада отсоединяет электросиловые установки и автосцепку, время отцепки не должно превышать 6 часов.

Предварительное охлаждение производится:

для низкотемпературных грузов до -10ºС;

для охлажденных до 0 ºС

  1. Правила перевозок плодоовощной продукции.

  2. Принципиальная схема одноступенчатой холодильной машины.

  3. Принципиальная схема 2-х ступенчатой холодильной машины.

  4. Причины порчи продуктов при хранении.

  5. Расчёт теплового баланса одноступенчатой холодильной машины. Порядок построения энтальпийной диаграммы рабочего цикла одноступенчатой машины в координатах Pi.

  6. Система технического обслуживания ИПС

  7. Специализированне вагоны для перевозки скоропорта

  8. Стандартные и рабочие условия холодильной машины.

  9. Термодинамические основы работы холодильных машин.

  10. Техническая характеристика ти вагонной рефрижераторной секции ZB. Основные принципы работы холодильной машины и охлаждения вагонов. Отопление вагонов. Система эксплуатации.

  11. Техническая характеристика и конструкция вагонной секции ZA. 0

  12. Техническая характеристика и конструкция 5-ти вагонной секции БМЗ.

  13. Техническое обслуживание и основы эксплуатации автономных рефрижераторных вагонов.

  14. Технологические процессы и средства холодильной обработки скоропортящегося груза.

  15. Технология обслуживания группового РПС бригадами

  16. Типы транспортных компрессоров, основные требования, предъявляемые к ним. Выбор и расчёт компрессора для холодильных установок изотермических вагонов.

  17. Типы транспортных конденсаторов, их роль в холодильных машинах. Определение теплоотдающей поверхности конденсаторов для изотермических вагонов.

  18. Условия приема и правила перевозки мороженной рыбы.

  19. Условия приема и правила перевозки прочих скоропортящихся грузов

  20. Условия приема и правила перевозок охлажденного мяса.

  21. Условия хранения и подготовки скоропортящихся грузов к перевозке.

  22. Характеристика и планировка холодильных складов. Хранение скоропорта в РГС. 0

  23. Экипировка вагонов с машинным охлаждением. Характеристика экипировочных материалов. Пункты экипировки. Определение расстояний между пунктами экипировки. 0

  24. Химический состав и физические свойства пищевых продуктов, краткая характеристика. Влияние химических элементов на сохранение качества.

Однако при хранении и транспортировке продуктов некоторые ферменты играют отрицательную роль, способствуя развитию процессов ухудшающих качество СПГ (вызывая скисания, брожения, перезревания). Витамины. В пищевых продуктах они образуются в небольших количествах и делятся на жиро- и водорастворимые. Кислоты В растительных продуктах встречаются органические кислоты (яблочная, лимонная, винная, щавелевая) а и животных молочная, фосфорная. Повышение кислотности часто указывает на несвежесть, недоброкачественность продукта.

Физические свойства СПГ можно условно разделить на механические и тепловые.

К механическим свойствам относятся:* плотность. Плотность зависит от строения и составляющих продукта и находится в пределах 850-1070 кг/м3.ρ=ρ1q12q2+…+ρnqnρi – плотность вещества входящего в состав продукта;qi - для этого вещества в составе продукта. ρ=G/V

* площадь поверхности – зависит от геометрической формы продукта и используется при расчете теплообмена; * консистенция – совокупность свойств продукта, ощущаемых осязанием (вязкость, упругость и др.), не имеет количественного выражения и оценивается органолептическим способом.

К тепловым свойствам относятся:* теплоёмкость продукта зависит от содержания сухих веществ и воды в продукте и рассчитывается по формуле: с=ссв(1-φ)+св φ Ссв, Св - теплоёмкость сухих веществ и воды, соответственно; φ – содержание воды в продукте. * теплопроводность продукта зависит от структуры, плотности, температуры и влагосодержания продукта, её необходимо знать для расчета продолжительности охлаждения и замораживания продукта, определяется по формуле: λ=λсв(1-φ)+λв φ λсв, λв - теплопроводность сухих веществ и воды, соответственно. * температуропроводность характеризует скорость изменения температуры в нестационарных тепловых процессах за единицу времени, она прямо пропорциональна теплопроводности λ и обратно пропорциональна аккумулированной способности продукта сρ (объемной теплоемкости), м2/ч: α=3,6λ/ сρ * теплосодержание (энтальпия) – количества тепла, которое содержит продукт при данной температуре, i , кДж/кг. * температура замерзания соков в продукте

В процессе хранения все СПГ изменяют свое качества в сторону ухудшения. Степень изменения качества продукта зависит от способа производства и хранения. Если продукты подвергнуты консервированию или созданы специальные условия, то СПГ хранятся дольше. Процессы изменения качества растительных и животных продуктов отличаются друг от друга и протекают не одинаково. Плоды овощи после съема продолжают жить и бороться с микроорганизмами, животные продукты изменяются сразу. Порча продукта сопровождается распадом белковых веществ (процесс гниения). Это происходит под воздействием гнилостных бактерий. При благоприятной температуре и наличии кислорода происходит глубокий распад продукта с выделением ядовитых веществ. Причины порчи продуктов:* Наличие воды. *Наличие микроорганизмов. *Условия, способствующие развитию микроорганизмов и микробиальных процессов. * Высокая и низкая температуры губительны для микроорганизмов.

49.Экипировка вагонов с машинным охлаждением. Характеристика экипировочных материалов. Пункты экипировки. Определение расстояний между пунктами экипировки.

Для работы с ИПС необходимы пункты ТО. Они подразделяются на:* основные * вспомогательные

К основным относятся рефрижераторные депо, которые имеют в своем составе: * путевое развитие;* собственно здание депо и бытовые помещения и техническими цехами; * склады оборудования и материалов; Х/А; * емкости с раствором хлористого Са (рассолом); * емкости для дизельного топлива; * емкости для смазки; * колонки для снабжения водой.

К депо приписаны секции и бригады. Каждое рефрижераторное депо обслуживает определенный тип подвижного состава. В депо производится полная экипировка РПС (х/а, дизтопливо, смазку, уголь, воду питьевую), депо является основным пунктом экипировки.

В здании рефрижераторного депо имеются: * электроцех; * компрессорный цех; * дизельный цех; * сварочный цех; * кузнечный цех; * механические мастерские.

Кроме основных депо существуют вспомогательные пункты экипировки. Расстояние между ПЭ определяются по формуле:

,где - емкость баков - 2-х суточный запас топлива - суточный расход дизельного топлива - суточная скорость (ППГ).

Вспомогательные ПЭ могут располагаться в локомотивном депо. Они могут снабжать только дизельным топливом и водой.

Экипировка занимает ориентировочно 90 мин, заняты 2 человека.

* Количество отводимого тепла – Q=GcΔt

* Площадь камеры холодильника – F=V/(h*норму загрузки) V=E/j h- высота погрузки, j – допустимая нагрузка, Е- емность склада

* Емкость камеры хранения – Е=G*tхр*kнер, V= E/j F=V/(h*норму загрузки)

* Стандартная холодопроизводительность Qст=Qр*(qvст* λ/ qvр* λ) Qр=F*K*(tн-tк)

* Потребность изотермич ваг-в – Qсут=(Qгр*kнер*α*1000)/n α-доля груза, n – число nсут= Qсут/Pтех, nкварт= nсут*3

* Поверхность теплоотдачи – F=Q/KΔt=Q/qб qб – удельная нагрузка на батарею Q=Q1+Q2+Q6

* Потребность в реф секциях – nсут=Qсут*Ов, Qсут=Qмест/30, P=0,5*г/п

* Коэффициент теплопередачи – α – коэффициент теплопередачи, δ- толщина материала, λ – коэффициент теплопроводности материала

* Поверхность рассольных батарей – F=Q/KΔt Q=a*b*Kср(tн-tв)*j j- коэффицент солнечной радиации

* Толщина стен -

* Для определения холодопроизводительности необходимо:

  • Тип вагона;

  • Перевозимый груз;

  • Температура наружного воздуха

  • Кратность вентилирования

  • Коэффициент теплоотдачи

  • Теплопритоки

* Потери холода, количество холода – Q=K(tн-tв)*(Fстен+Fпола+Fпотолка)*1,2 => F=Q/KΔt

* Расход холода на замораживание, потребность холода

– количество груза, кг; – теплоемкость груза, тары, – температура начала, замораживание, конечная, – доля воды, – доля вымерзшей воды, – продолжительность,

* Потребность холодопроизводительности

Qком=FKΔt Qр=(Qком+Q)*24/22

51. Техническая характеристика 21- вагонного рефрижераторного поезда. Принцип работы холодильной машины и охлаждения вагонов. Отопление вагонов. Система эксплуатации.

21-о вагонный рефрижераторный поезд состоит из 18 вагонов-холодильников и трех служебных вагонов: одного вагона дизель-электростанции, одного вагона-машинного отделения и одного вагона-служебного помещения. Энергетическое и холодильное оборудование рассчитано для перевозки:

- мороженных грузов при температуре внутри вагона -10°C и наружного воздуха +40°C;

- предварительно охлажденных грузов при температуре внутри вагона +2°C и наружного воздуха +40°C;

- предварительно неохлажденных плодоовощей при наружней температуре +40°C при условии, что груз в процессе перевозки за 90 часов дожжен быть охлажден с +25 до +4°C;

- с отоплением при температуре внутри вагона +14°C и наружного воздуха -45°C;

Вагон дизель-электростанция состоит из 3 частей:

- в средней части размещается центральная кабина управления ;

- со стороны вагона-служебного помещения и со стороны вагона-машинного отделения размещается дизельные отделения .

В вагоне-машинном отделении смонтированы две аммиачные компрессорные холодильные установки двухступенчатого сжатия. Вагонно-служебное помещение имеет салон для отдыха, два двухместных и два четырехместных купе, кухню со всем необходимым оборудованием. Вагон-холодильник цельнометаллической конструкции имеет наружную обшивку из стального листа толщиной 1,5 мм с вертикальными гофрами, внутреннюю с алюминиевого листа 1,5 мм, на полу напольные решетки. Термоизоляция первоначально мипора (после – полистерол), толщиной: пол – 150 мм, стены - 200 мм, крыша 230 мм. Коэффициент теплопередачи 0,35 Вт/м2К. Дверь одностворчатая высота 2000 мм, ширина 2200 мм. Вагон охлаждают 4 рассольные батареи, расположенные под крышей вагона, охлаждающая поверхность 416 м2, коэффициент теплопередачи 4,1 – 5,2 Вт/м2К. Отапливается вагон 6 электропечами мощностью по 4 кВт, по 3 у каждой торцевой стены. Циркуляция воздуха осуществляется двумя вентиляторами. В каждом вагоне имеются рассолопроводы. Бригада 7 человек.

52. Техническая характеристика 12-вагонной рефрижераторной секции. Принцип работы холодильной машины и охлаждения вагонов. Отопление вагонов. Система эксплуатации.

12-ти вагонные секции выпускались в ГДР. В состав секции входят десять грузовых вагонов, вагон-машинное отделение, в котором размещается холодильное оборудование и комбинированный вагон, в котором размещены дизель-электрическое оборудование и служебное помещение для обслуживающего персонала. Вагон-машинное отделение и комбинированный вагон стоят в середине секции и соединены между собой переходной площадкой с защитной гармоникой. Длина вагонов 17 м. Секция предназначена для перевозки всех СПГ, за исключением охлажденного мяса, летом с охлаждением при температуре наружного воздуха до +30°C, зимой с отоплением при температуре -40°C. Температурный режим в грузовом помещении вагона поддерживается на уровне от -12 до -15°C при перевозке мороженных грузов, +2°C при перевозке охлажденных грузов и до +12°C при перевозке грузов требующих отопления. Холодильное оборудование рассчитано на возможность охлаждения плодоовощей в процессе перевозки с +25 до +4°C в течении трех сеток.Все вагоны цельнометаллические, сварной конструкции с несущими гофрированными стенами, подкрепленными стойками. Средний коэффициент теплопередачи новых вагонов К=0,31 Вт/м2∙К, в период эксплуатации коэффициент повышается до 0,37 – 0,4.Электрооборудование секции смонтировано в комбинированном вагоне и состоит из трех дизель-генераторных установок, кроме них в вагоне размещены 4-х и 2-х местные купе, щит управления Бригада обслуживания состоит из 4-5 человек. Холодильное оборудование размещено в вагоне-машинном отделении и состоит из двух машин двухступенчатого сжатияВ грузовых вагонах под крышей располагаются 4 рассольные батарей и проходят два рассолопровода: напорный и обратный. Между вагонами рассолопроводы соединены эластичными рукавами и защищены защитными гармониками.Х/м аммиачная двухступенчатая имеет следующую схему (при необходимости может быть преобразована в одноступенчатую).Отопление производится двумя группами электропечей общей мощностью 8 кВт. Для выравнивания температур в грузовом помещении вагоны оборудованы устройствами принудительной циркуляции воздуха. Для смены воздуха вагоны оборудованы приборами приточно-вытяжной вентиляции производительностью до пяти объемов в час.

  1. Определить расход холода на замораживание продуктов. Продукты в корзинах, вес продуктов 700 кг, их теплоемкость до замораживания 3,4 кДж/кг*К, после замораживания 1,7. Начальная tпрод=+20 градусов, конечная -6 градусов. Содержание воды в продукте 14% доля замерзшей воды 0,6. Вес тары 50 кг, теплоемкость тары 3 кДЖ/кг*К

Q=700(3.4(20-0)+335*0.14*0.6+1.7(0-(-6)+50(3(20-(-6))

  1. Определить поверхность рассольных батарей вагона – холодильника с машинным охлаждением при:

А) размеры кузова в-на l=17м b=3м h=2.45м

Б) tрасх на возд +40градусов

В) мясо мор с t=-10градусов

Г) средний коэф теплопередачи 0,5 Вт/м^2К

Д) кэф теплопередачи батарей 8 ВТ

Е) разность температур воздуха и рассола 5 градусов

Ж) коэф солн радиации 1,2

F=Q2/KΔt

Q2=17*3*0.5(40-(-10))*1.2

F=Q2/(8*5)

  1. Определить толщину изоляции стен морозильной камеры. Стены сделаны из кирпича, толщина 380мм. Ошкатурено с обоих сторон слоем цементного раствора в 20мм. Средний коэф теплопередачи охл камеры 0,3. Коэф теплоотдачи наруж и внутр стенок соотв 25 и 10. Коэф теплопровод торфоплит 0,06, кирпича 0,7, цемент раствора 0,85

  1. В АРВ загр 20т мор мяса (из Бийска в Кемерово летний период) Какие данные нужны для определения необх холодопроизводительности установки

Q1, Q2, Q3

Q6 –для мороженого мяса не надо

  1. Определить потери холода в сутки через ограждение камеры, ее размеры 10*8*3,55 м, Температура в камере поддерживается -5градусов, расчетн tгрунта=+15градусов, расчет tнар возд=+30градусов. Коэф теплоперед стен 0,4, потолка 0,35, пола 0,6 . Коэф солнечной радиации 1,2

Q=K(tн-tв)*(Fстен+Fпола+Fпотолка)*1,2

  1. В АРВ погр 25 т яблок из Алма-Аты в НСК какие потр данные для определения необх холодопроизводительности установки

  1. Опред потребность в реф 5 ваг секциях для перевозки в месяц 20 тыс мор мяса в тоннах от Бийск до Иркутска. Кисп гп 0,5 оборот 7 сут

Qсут=Qмес/30=20000/30=666,7

nсут=Qсут*Ов=666,7*7=4667

P=0,5*г/п

  1. Опред потребн в реф ваг секциях для перевозки 50000т фруктов из Алма-Аты до НСК Перевозку фруктов производят за 1 мес . Кисп гп 0,65 оборот 6 сут

Qсут=Qмес/30=20000/30=666,7

nсут=Qсут*Ов=666,7*7=4667

P=0,5*г/п

  1. Определить потребность в рефрижераторных вагонах (5-ти) для перевозки 50 тыс т. фруктов из Алма-Аты до Новосибирска. Перевозку фруктов произвести за один месяц. Коэффициент использование грузоподъемности 0,65. Оборот – 6 суток.

nсут=Qсут*Ов

Qсут=Qмест/30

  1. Определить теплопередающую поверхность грузового помещения вагона имеющего наружные размеры 1700*3100*3300 мм, толщину крыши 230 мм, торцевых и продольных стен – 200 и пола 150 мм.

  2. Рассчитать расход холода необходимое для замораживания 10 т. говядины от +24 до -10 градусов. При этом теплоемкость свежей говядины 2,51 кДж/кг, мороженной 1,76 кДж/кг, доля воды в продукте составляет 76%, а доля вымороженной воды 0,84.

  1. Рассчитать потребность холода на замораживание рыбы, запакованной в 1000 ящиков весом 60 кг. Вес тары ящика 10 кг. Начальная температура рыбы +25, конечная -6. Замерзания -2, теплоемкость рыбы до замерзания 4 кДж/кгК, содержание влаги в рыбе 20%, доля вымерзшейй воды – 0,8. Теплоемкость рыбы после замерзания 2кДж/кгК, теплоемкость 1,5.

  1. Определить количество отводимого тепла при охлаждении 10 т апельсинов до +5 градусов. После сбора + плодов 30 крадусов. Са=3,02кДж/кгК

Q=Gc(tн-tк)=10000*3,02(30-5)=755000

  1. Определить площадь камеры холодильника для длительного хранения творога в коробках. Высота укладки 2 м. норма загрузки 0,425 т/м3, полная загрузка камеры хранения 280 т.

F=V/h=658.8/2=329.4 м2

V=E/j=280=0.425=658.8

  1. В АРВ загружено 12,4т винограда из Ташкента в Новосибирска. Какие данные для определения холодопроизводительности установки?

- количество тепла, поступающего в грузовое помещение вагона от наружного воздуха и воздуха машинного отделения через ограждения кузова вагона, Вт;

– количество тепла, поступающего в грузовое помещение вагона от воздействия солнечной радиации; – продолжительность воздействия солнечной радиации, ч, в летний период принимается =10…18ч.

– количество тепла, поступающее в грузовое помещение через неплотности кузова вагона; – плотность наружного воздуха, – теплосодержание (энтальпия) наружного (при влажности 45%) и воздуха в грузовом помещении (при влажности 90%) вагона

– количество тепла, поступающего в грузовое помещение при вентилировании вагона (в рамках данной курсовой работы этот расчёт не производится, так как вентилирование вагона не осуществляется);

– количество тепла, поступающего в вагон, эквивалентное работе вентиляторов в грузовом помещении (расчёт не производим);

– количество тепла, поступающего в грузовое помещение от перевозимого груза и тары при охлаждении в вагоне.

  1. Техническая характеристика 21- вагонного рефрижераторного поезда. Принцип работы холодильной машины и охлаждения вагонов. Отопление вагонов. Система эксплуатации.

  2. Техническая характеристика 12-вагонной рефрижераторной секции. Принцип работы холодильной машины и охлаждения вагонов. Отопление вагонов. Система эксплуатации.

* Теплопритоки

- количество тепла, поступающего в грузовое помещение вагона от наружного воздуха и воздуха машинного отделения через ограждения кузова вагона, Вт;

- площадь теплопередающей поверхности грузового помещения

- расчетная температура наружного воздуха

– количество тепла, поступающего в грузовое помещение вагона от воздействия солнечной радиации; – продолжительность воздействия солнечной радиации, ч, в летний период принимается =10…18ч.

– количество тепла, поступающее в грузовое помещение через неплотности кузова вагона; – плотность наружного воздуха, – теплосодержание (энтальпия) наружного (при влажности 45%) и воздуха в грузовом помещении (при влажности 90%) вагона

– количество тепла, поступающего в грузовое помещение при вентилировании вагона (в рамках данной курсовой работы этот расчёт не производится, так как вентилирование вагона не осуществляется); - относительная влажность воздуха, - абсолютная влажность воздуха, n –кратность вентилирования, V – полный объем груз помещения

– количество тепла, поступающего в вагон, эквивалентное работе вентиляторов в грузовом помещении (расчёт не производим); N – мощность электродвигателей вентилятора, – число электродвигателей, – КПД электродвигателей, – продолжительность работы электродвигателей

– количество тепла, поступающего в грузовое помещение от перевозимого груза и тары при охлаждении в вагоне.

  1. Расчитать теплопритоки при перевозки мороженного мяса: АРВ (Новосибирск-Владивосток). Поверхность вагона составляет 214,5 м2 , коэффициент теплопередачи 0,4 Вт/м2К. Значение средних температур для Новосибирска -30,2, Красноярска – 31,6, Иркутска -22,5, Чита – 30,8, Хабаровск -30,3, Владивосток -29,3. Максимальная температура на 10 градусов выше средней. Продолжительность солнечной радиации 12 ч/сут.

  1. Рассчитать потребную холодопроизводительность компрессора для охлаждения камеры предназначенной для замораживания мяса при следующих условиях: Размер камеры 4*4*3м, средний коэффициент теплопередачи 0,613 Вт/м2К, tнач=+25, tконеч=-18, tзамерз=-1, емкость камеры равна 10т. теплоемкость мяса: до замораживания 3,4; после замораживания 1,7, Содержание воды 70%, количество вымерзшей воды 0,85.

  1. Рассчитать потребную емкость камеры хранения холодильника и площадь холодильника: * ежесут. Прибытие мяса 100 т, срок хранения 30 сут. * масло сливочное 30т, 60 сут,

* коэф неранвомерности поступления 1,3 * Допустимая нагрузка 900 т/м3 * высота укладки – 3 м * Коэфициент учитывающий дополнительные проходы, проезда 0,6 *тех норма загрузки мясом – 18т, маслом -20т.

Е=G*tхр*kнер= V= E/j F=V/(h*норму загрузки)

  1. Определить станд. Холодопроизводительность компрессора АРВ, если известно что при перевозки мяса при температуре наружней+30 градусов, внутренняей – 8 градусов, коэффициент теплопередачи равен 0,35 Вт/м2К поверхность теплопередачи 222 м2. Объемная холодопроизводительность 1055 и 1340; коэффициент подачи 0,71 и 0,69

Qст=Qр*(qvст* λ/ qvр* λ) =2952,6*(1340*0,69/1055*0,71)=3644,6 Вт

Qр=F*K*(tн-tк)=222*0,36*(30-(-8))=2952,6Вт

  1. Определить коэффициент теплопередачи кузова вагона. Поверхность теплопередачи 200 м2, Изоляция – полистирол толщиной 200 мм, с коэффициентом теплопроводности 0,04 Вт/М2К. Наружная и внутренняя обшивка мателиическая толщиной 2 мм, коэффицент теплопроводности 58 Вт/м2К, αв=9 Вт/м2К, αн=29.

  1. Сколько Вт холода в сут д.выработать холод машина для поддерж в камере +10 градусов при tрасч нар возд = +40градусов и грунта +15 градусов размеры 12*10*4 м Коэф теплоперед стен 0,45, пола 0,5, потолка 0,4, коэф солн радиации 1,2

Q=FK(tн-tв)*1,2

Q=Q1+Q2+Q3

Qстен=12*10*0,45(40-(-10)+1,2

Qпол=12*10*0,5(40-15)*1,2

Qпотол=12*10*0,4(40-(-10))*1,2

  1. Определить расход холода на замораж 10т жирного мяса по данным: tнач мяса +28 градусов, конечная +10 градусов. Содержание влаги в мясе 50% доля вымерзшей воды 0,8, t замерз =-2 градуса. Теплоемкость мяса до замерз 4 после 2

Q=10000(4(22-18)+335*0.5*0.8+8(-2-1-10))

  1. Опред коэф теплопередачи кирпичной стены толщ 760 ммкомеры, стена оштукатурена с обеих сторон раствором толщиной 25 мм, внутр часть стены изолирована торфоплитами в 6 слоев по 30 мм каждая сверху изоляции нанесена штукатурка толщиной 20 мм коэф внутр и внешней теплоотдачи 30 и 32 . коэф теплопроводности торфа 0,06 кирпича 0,7 штукатурки 0,85

  1. Опред потребность в изотермич вагонах и кварт план для Владивостокского отделения жд если клиентура предъявл к перевозке в месяц : рыба мор 15 тыс тонн, рыба свеж 20 тыс тонн Кнер 1,2 и 1,8 соотв. Технич нормы загр 22т и 13т соотв

Qсут=(Qгр*kнер*α*1000)/n

nсут=Qсут/Pтех

Q1=15000*1.2*1.2/30=720 т/сут Q2=20000*1.8*1.2/30=1440т/сут

Nсут=720/22=33ваг*90=2970ваг (квартальные 3 месяца) Nсут=1440/18=110ваг*90=9900ваг

  1. Опред потребную поверхн теплоотдачу рассольн батареи вагона холод:

А) размер кузова ваг 17*2,9*2,5………

11) Рассчитать потребность холода на охдаждение и замораживание 20000 кг мяса имеющего темпер +20 градус темп замерз -1 гадус конечная -10 градус теплоемкость мяса до замораживан 3,4, после 1,5. В мясе содержится 70% влаги при замораживании вымерзает 0,8 влаги.

Q=20000(34(29+1)+0.1*0.001*335+1.5*(-1+10)