Девятая учебная неделя (1 семестр обучения).
По
результатам присланных работ заданий
8 недели сделал вывод, что возникает
путаница в определении корней
характеристического уравнения для
цилиндра. Поэтому прилагаю второй
учебный
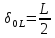
видео файл. Для пластины в качестве
характерного размера берете полутощину
пластины
,
для цилиндра качестве характерного
размера берете радиус (половину диаметра)
цилиндра
.
При
расчете корней для пластины обрабатываете
уравнение
,
при
расчете корней для цилиндра решаете
уравнение
.
Продолжаем изучать нестационарную теплопроводность в телах конечных размеров.
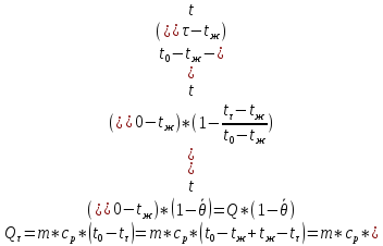
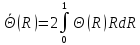
Тепло (не тепловой поток) подводимое или отводимое от тела за бесконечно большой промежуток времени определяется по известной формуле:

Если промежуток времени τ конечен, то:

-
средняя температура тела за период τ
(временной зависимости нет и Fo=const)
. Для цилиндра конечных размеров записали
раньше:

Аналогично
для средней температуры тела:
.
|
|
|
Средние безразмерные температуры также можно определить следующим образом:
|
|
|
При этом нужно помнить, что корни характеристического уравнения, числа Bi и Fo определяются отдельно для цилиндра и для пластины !!!
Регулярный режим (Fo>0,3).
Для регулярного режима достаточно использование только первого члена ряда, записанного для безразмерной температуры.


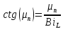
m
- темп нагрева (охлаждения). Для регулярного
режима
.
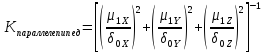
Вторая
теорема Кондратьева:
где
- коэффициент температуропроводности,
K
- коэффициент формы.
Вторая
теорема Кондратьева выводилась для
случая Bi
> 100, т.е.
Однако ее можно применять и при других
значениях числа Bi.
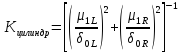
Для этого коэффициент формы определяем
следующим образом:
|
|
|
Задание №1 на девятую неделю:
Из
задачи №3 типового расчета определить
семь корней характеристического
уравнения для цилиндра. Записать
уравнение для безразмерной температуры
.
Записать
итоговое уравнение для безразмерной
температуры в произвольный момент
времени τ
:

Записать
итоговое уравнение для безразмерной
температуры в момент времени
:

Определить
количество тепла отведенного от
цилиндрической заготовки за момент
времени
двумя способами: интегрированием и
суммированием.
Задание №2 на девятую неделю:
На
участке
определить
темп охлаждения для центра
(!!!)
цилиндрической заготовки двумя способами
(по приведенным выше формулам). Рассчитать
коэффициент формы для цилиндрической
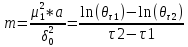
заготовки. По второй теореме Кондратьева
найти коэффициент температуропроводности
и сравнить его с рассчитанным раньше
(при определении числа Fo).
Значения должны совпасть с точностью
до 3 знака после запятой (записать в
стандартном виде числа). Возможные
причины несовпадения: неточно найдены
первые корни характеристического
уравнения (увеличить число знаков после
запятой), неудачно выбран временной
интервал (увеличить время τ в несколько
раз).