Материал: sb000035

Внимание! Если размещение файла нарушает Ваши авторские права, то обязательно сообщите нам

ЛАБОРАТОРНАЯ РАБОТА № 5. ДЕТЕКТОРЫ РЕНТГЕНОВСКОГО ИЗЛУЧЕНИЯ

Цель работы.

Ознакомление с принципами работы и характеристиками сцинтилляционного и пропорционального детекторов.

Общие положения.

Способы регистрации рентгеновского излучения основаны на способности его ионизировать газы (ионизационная камера, пропорциональный счетчик и счетчик Гейгера), вызывать люминесценцию некоторых кристаллов (светящиеся экраны, сцинтилляционные детекторы) и разлагать бромистое серебро фотоэмульсии.

Пропорциональный детектор представляет собой наполненный нейтральным газом металлический цилиндр-катод, вдоль оси которого натянута вольфрамовая нить-анод толщиной несколько десятков микрометров. В качестве наполнения применяются аргон, криптон или ксенон с добавками метана при давлении, близком к атмосферному. К электродам подводится постоянное напряжение 2002000 В. В цилиндрическом корпусе имеется окно из бериллия, мало поглощающее рентгеновское лучи.

Кванты рентгеновского излучения при взаимодействии с атомом газа вырывают из его электронной оболочки электрон (простой фотоэффект); возбужденный атом, возвращаясь в нормальное состояние, испускает квант флуоресцентного излучения, или Оже-электрон (сложный фотоэффект). Энергия флуоресцентного излучения и образовавшихся электронов тратится на ионизацию других атомов газа. Таким образом, поглощение одного кванта вызывает в итоге ионизацию нескольких сотен атомов. Например, энергия образования пары электрон – положительный ион в ксеноне равна 22,5 эВ; СuK –излучение с энергией 8,05 кэВ образует при попадании в детектор 358 пар заряженных частиц. Эти заряды под действием приложенного к электродам напряжения перемещаются, соответственно, к аноду и катоду детектора. По сравнению с ионизационной камерой напряжение на электродах детектора повышено, и электроны при своем движении ускоряются до энергии, вызывающей ударную ионизацию молекул газа наполнителя. Коэффициент газового усиления при этом составляет 103104.

Сцинтилляционный детектор представляет собой сочетание люми-

31

несцентного кристалла и фотоэлектронного умножителя (ФЭУ). Кристалл накладывается непосредственно на фотокатод ФЭУ. Попадая на кристаллсцинтиллятор (обычно кристалл фтористого натрия, активизированного таллием), кванты рентгеновского излучения вызывают в нем вспышку света – сцинтилляции, интенсивность которых тем больше, чем больше энергия поглощенного кристаллом кванта. Фотоны сцинтилляций, достигающие катода ФЭУ, преобразуются в фотоэлектроны. На выходе ФЭУ получается импульс напряжения порядка 550 мВ, пропорциональный энергии кванта излучения.

Косновным характеристикам детектора можно отнести следующие.

1.Эффективность, определяющуюся отношением числа зарегистри-

рованных квантов к числу квантов, достигших входного окна детектора. Чем выше эффективность счетчика, тем больше его чувствительность и меньше ошибка в измерении интенсивности. Эффективность детектора зависит от поглощения во входном окне и поглощения в рабочем объеме. Поглощение во входном окне ограничивает эффективность детектора со стороны больших длин волн. В качестве входных окон в детекторах для мягкого рентгеновского излучения используют тонкие окна из слабопоглощающих материалов. Наиболее перспективными являются окна из ва- куум-плотного бериллия. Поглощение бериллием толщиной 0,1…0,2 мм CuK -излучения не превышает 5 %, CuK 12 %.

Эффективность со стороны коротких длин волн определяется поглощением в рабочем объеме детектора (сцинтилляторе или газовом наполнении).

2. Cобственный фон детектора.

Собственный, или нерентгеновский, фон детектора вызывается космическим излучением, радиоактивными загрязнениями, присутствующими в материалах. Флуктуации собственного фона детектора определяют нижний предел измеряемой интенсивности. В сцинтилляционных счетчиках помимо этих причин важную роль играют шумы ФЭУ.

3. Разрешение детекторов во времени.

После регистрации кванта детектор в течение некоторого времени, называемого мертвым, остается нечувствительным, то есть не может регистрировать последующий квант, даже если он и поглотился в эффективном объеме детектора. В этом случае появляются “просчеты” и нарушение линейности при регистрации больших скоростей счета, определяющих верхний предел диапазона измеряемых интенсивностей. Мертвое время

32

пропорционального счетчика определяется временем собирания электронов и ионов на электроды, сцинтилляционного – временем высвечивания кристалла. Обе эти величины равны 0,3 мкс, а действительное мертвое время измерительно-регистрирующего устройства с детектором несколько больше и составляет примерно 1 мкс. Мертвое время м приводит к потерям счета. Восстановление истинной скорости счета n по измеренному значению nизм можно выполнить, пользуясь выражением

n

 

 

nизм

.

(5.1)

1

nизм м

 

 

 

При скорости счета 105 имп/с относительная “потеря счета” электронным измерительным устройством с пропорциональным или сцинтилляционным счетчиком составит 10 %.

4. Амплитудное энергетическое разрешение.

Как указывалось ранее, амплитуда импульсов на выходе детектора пропорциональна энергии кванта. Однако даже в случае монохроматического излучения эта закономерность носит статистический характер. Для пропорционального детектора это происходит из-за статистических флуктуаций в величине газового усиления за счет ударной ионизации; для сцинтилляционного из-за флуктуаций в числе фотоэлектронов, выходящих из фотокатода, и флуктуаций величины умножения на первом диоде ФЭУ, для ППД из-за флуктуации числа пар электрондырка, порождаемых одним квантом излучения. Поэтому при попадании в счетчик квантов одинаковой энергии на выходе получаются импульсы, амплитуды которых распределены по закону, близкому закону Гаусса. На рис. 5.1 представлена кривая распределения числа импульсов А по энергиям Е, полученная с использованием сцинтилляционного счетчика. Отношение полуширины кривой распределения Е (ширина на половине высоты максимума) к абсциссе максимума Е0 называется амплитудным разрешением R или разрешением счетчика по энергиям:

R

Е

 

Е0 .

(5.1)

Чем меньше эта величина, тем более узкий участок спектра можно выделить при использовании амплитудной дискриминации.

33

A, имп Amax

E

 

 

 

 

E0

 

 

Е, кэВ

 

 

 

 

 

 

 

 

 

Рис. 5.1. К выводу амплитудного

 

 

энергетического разрешения

 

 

 

 

 

 

 

 

 

Таблица 5.1

Основные характеристики детекторов

 

 

 

 

 

 

 

 

Амплитудное

 

 

Эффективность

Собственный

Тип детектора

 

 

 

 

 

 

разрешение

CuК

MoК

 

для СuК , %

фон, имп/мин

 

 

 

 

 

 

 

 

Пропорциональный

60

 

30

 

12–20

3…20

Сцинтилляционный

90

 

95

 

30–60

3…30

Полупроводниковый

80

 

80

 

3–5

 

 

 

 

 

 

 

 

 

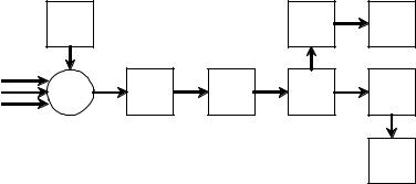
Упрощенная структурная схема одноканального измерительнорегистрирующего устройства аппаратуры для рентгеноструктурного и рентгеноспектрального анализа с пропорциональным и сцинтилляционным детекторами показана на рис. 5.2.

В соответствии с задачами анализа устройство должно обеспечивать высокоэффективную регистрацию квантов различных энергий (длин волн) в широком диапазоне изменения интенсивности излучения 1; возникающие в детекторе 2 импульсы через предварительный усилитель 3 подаются на вход широкополосного усилителя 4. Далее импульсы поступают в амплитудный дифференциальный дискриминатор 5. Дискриминатор позволяет выделить из совокупности импульсов различной амплитуды только те, амплитуда которых соответствует энергии регистрируемых квантов.

34

10

 

 

6

7

1

 

 

 

 

2

3

4

5

8

h

 

 

 

9

 

 

 

 

Рис. 5.2. Структурная схема измерительнорегистрирующего устройства

Этого достигают установкой в рассматриваемом блоке «начального порога» дискриминации Е1 и «ширины окна» дискриминации (Е2Е1). В первом случае отсекают импульсы малых амплитуд, соответствующих шумам детектора и усилителя, во втором импульсы больших амплитуд (тормозное излучение). На выходе дискриминатора присутствуют импульсы с амплитудами (Е2Е1), количество которых может быть измерено с помощью измерителя скорости счета импульсов 6 с выводом информации на самопишущий потенциометр 7 или с помощью пересчетного прибора 8 и цифропечатающего устройства 9. Высоковольтный выпрямитель 10 обеспечивает питание детектора высоким напряжением.

При настройке дискриминатора строят кривую распределения числа импульсов по амплитудам, пользуясь которой и выбирают режим работы дискриминатора. Эту кривую получают, изменяя «начальный порог» при минимальной «ширине окна» с регистрацией в блоках 7 или 9. Коэффициент усиления в блоке 4 выбирается в зависимости от величины сигнала от детектора так, чтобы максимум на кривой находился от нуля на расстоянии, примерно равном максимальной ширине окна канала. В случае применения сцинтилляционного детектора коэффициент усиления (с учетом предусилителя) составляет несколько тысяч, а в случае применения пропорционального на порядок выше. В общем случае энергетическое разрешение при использовании дифференциальной дискриминации будет определяться «шириной окна» дискриминации и полушириной а кривой амплитудного распределения. Эффективность регистрации излучения также зависит от соотношения между этими величинами. Уменьшение «ширины окна» увеличивает избирательность и снижает светосилу. Практика показывает, что наилучший результат достигается при (Е2Е1)/а=1,5.

35