Материал: Сахарный диабет 1 типа

Внимание! Если размещение файла нарушает Ваши авторские права, то обязательно сообщите нам

Сахарный диабет 1 типа

I. Паспортные данные


Ф.И.О. ребенка - .

Возраст - 7 лет 8 месяцев.

Пол - мужской.

Дата рождения - 21.03.2009.

Адрес постоянного места жительства - Сорочинский р-н, с. Спасское.

Телефон - 89228771627

Национальность - русский.

Дата и время поступления в клинику - 08.11.16 г. в 11.40.

Направляющее учреждение - Сорочинская ЦРБ.

Диагноз направляющего врача - Сахарный диабет I типа.

Диагноз клинический: Сахарный диабет I типа. Стадия декомпенсации. Целевой уровень HbA1c. = 6,54%. Без кетоза.

Осложнение: Диабетическая дистальная полинейропатия.

Сопутствующий диагноз: Миокардиодистрофия.

II. Анамнез заболевания


Жалобы при поступлении: повышения уровня глюкозы крови в течении дня, на боли в ногах в нижней части передней поверхности голени.

СВЕДЕНИЯ О РАЗВИТИИ НАСТОЯЩЕГО ЗАБОЛЕВАНИЯ

Считается больным с ноября 2013 года. Появились первые жалобы на утомляемость, слабость, жажду, полиурию (особенно ночью), потеря в весе (на фоне повышенного питания).

III. Анамнез жизни


1.      БИОЛОГИЧЕСКИЙ АНАМНЕЗ

I. АНТЕНАТАЛЬНЫЙ ПЕРИОД

Ребенок от 1 беременности 1 родов. Со слов матери беременность протекала на фоне анемии легкой степени тяжести, пиелонефрита, принимала канефрон.

II. ИНТРАНАТАЛЬНЫЙ ПЕРИОД

Роды срочные. По причине слабости родовой деятельности роды разрешали в операционной путем кесарева сечения. По шкале Апгар 7-8 баллов.

III. ПОСТНАТАЛЬНЫЙ ПЕРИОД

IV. Акушерский анамнез


Первый ребенок от первых родов. Абортов и выкидышей не было. Гинекологические заболевания отрицает. Во время беременности страдала анемией и пиелонефритом, принимала канефрон.

Заключение о развитии ребенка в антенатальный период - анамнез отягощен из-за наличия у мамы во время беременности анемии легкой степени тяжести, пиелонефрита и приема лекарственных препаратов.

IV. ПЕРИОД НОВОРОЖДЕННОСТИ

Доношен.

Масса при рождении = 3200 г.

Длинна при рождении = 51 см.

Закричал сразу. Пуповинный остаток отпал на 4 сут. К груди был приложен на третьи сутки.

Заключение: массо-ростовой коэффициент = 3200г/51 см=62,7 - нормотрофия.

V. ВСКАРМЛИВАНИЕ РЕБЕНКА

Первые 2-а месяца жизни был на грудном вскармливании. С 3-его месяца жизни на искусственном (смесь "Малютка"). Так же с 3-х месяцев ввели прикорм - фруктовые пюре. К 1 - ому году ребенок за общим столом.

Заключение: раннее и неправильно введение прикорма, к первому году за общим столом.

VI. СВЕДЕНИЯ О ДИНАМИКЕ ФИЗИЧЕСКОГО, ПСИХОМОТОРНОГО РАЗВИТИЯ РЕБЕНКА.

В периоды грудного и раннего детства развивался в соответствии с возрастом.

На данный момент:

Рост=131 см (97 центиль, 8 коридор)

Вес=30 кг. (97 центиль, 7 коридор)

Индекс Эрисмана: 65 - (½ (131)) = - 0,5 (понижен)

Индекс Тура: 65-52=13 (норма)

Заключение ФР: с отклонением (повышенная масса тела при повышенном росте), гармоничное.

Морфотип: гиперсомия.

Заключение НПР: без отклонений.

VII. СВЕДЕНИЯ О ПРОФИЛАКТИЧЕСКИХ ПРИВИВКАХ.

Все прививки получены по календарю.

VIII. ПЕРЕНЕСЕННЫЕ ЗАБОЛЕВАНИЯ.

Перенесенных заболевания: ОРЗ, орви, ангины, кишечная инфекия.

IX. ЖИЛИЩНО-БЫТОВЫЕ УСЛОВИЯ.

Материально-бытовые условия удовлетворительные. Уход за ребенком

достаточный. Режим ребенка соответствует возрасту. Питание регулярное.

X. СВЕДЕНИЯ О СЕМЬЕ БОЛЬНОГО РЕБЕНКА

Ф. И.О.

Возраст

Профессия

Образование

Число детей в семье

 Наталья Николаевна

30 лет

домохозяйка

среднее

1

Алексей Николаевич

Лишен родительских прав





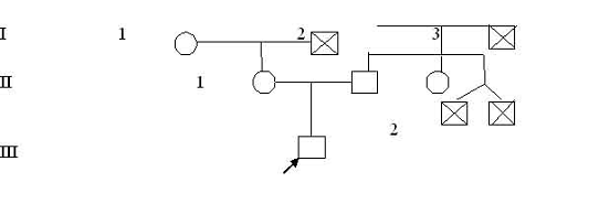
Генеалогическое дерево:


I 1. Мочекаменная болезнь.

I 2. Рак.

I 3. -

II1. Хронический пиелонефрит.

II 2. -

Заключение: ИО благоприятный.

V. Объективное обследование


Общее состояние ребенка

Вес: 30 г.

Рост: 131 см.

Окр. головы: 52 см.

Окр. груди: 65 см.

Окр. плеча: 20см.

Окр. бедра: 40 см.

Состояние средней степени тяжести. Положение в постели активное. Спокоен. Сознание ясное. Глазные щели равномерны. Зрачки в норме, на свет реагирует. Кожный покров сухой, отмечаются единичные гнойничковые высыпания на бедре и пояснице. Локти гиперпигментированы. Кожа и склеры нормальной окраски. Эластичность сохранена. Подкожно - жировой слой выражен нормально. Отеки отсутствуют.

Мышечная система

Мышечный тонус в норме. Сила мышц сохранена.

Костная система

Суставы не изменены. Движения сохранены в полном объеме во все суставах. Кости без деформаций.

Лимфатическая система

Лимфатические узлы околоушные, подбородочные, надключичные, подключичные, торакальные, локтевые, подколенные не пальпируются.

Затылочные: пальпируются единичные до 3-х мм.

Заднешейные: единичные около 4-х мм.

Переднешейные: единичные до 4-х мм.

Тонзилярные: единичные, до 6-и мм.

Почелюстные: единичные до 7-и мм

Подмышечные: единичные, мелкие, до 3-х мм.

Паховые: множественные мелкие.

Органы дыхания

Грудная клетка нормальной формы. Частота дыханий = 20 раз в минуту. Перкуторный звук легочный. Дыхание везикулярное. Хрипов нет. Вспомогательная мускулатура в акте дыхания не участвует.

Система кровообращения

Сосуды без особенностей, верхушечный толчок в 5 межреберье. Тоны сердца чистые, ритмичные. Шумы не выслушиваются. Пульс ритмичный, нормального наполнения, симметричный с двух сторон, частота: 90 в минуту.

сахарный диабет анамнез глюкоза

Относительная сердечная тупость:

Верхняя Левая Правая

3-е ребро 1см кнаружи от левой сосковой линии На 0,5 см кнаружи от правого края грудины

Абсолютная сердечная тупость:

Верхняя Левая Поперечник области притупления, см

4-е ребро Кнутри от среднеключичной линии 5


Органы пищеварения

Язык влажный, чистый. Слизистая рта розовая, влажная. Миндалины без изменений. Живот округлой формы, не вздут. Доступен глубокой пальпации во всех отделах, безболезненный. Напряжение мышц брюшной стенки отсутствует. Печень не выступает из-под реберной дуги. Селезенка не пальпируется. Стул оформлен, коричневого цвета, без примесей. Частота стула 1 раз в сутки.

Мочеполовая система.

Область почек не изменена. Мочеиспускание безболезненное. Моча прозрачная, желтая. Частота мочеиспусканий 5-7 раз в сутки. Симптом Пастернацкого отрицательный. Половые органы развиты нормально. Отеков нет.

Эндокринологический статус.

Состояние средней степени тяжести за счет повышения уровня глюкозы в крови до 15,1 ммоль/л (натощак).

Сознание ясное, положение активное. Телосложение нормостеническое. Кожный покров сухой, локти гиперпигментированы, отмечаются единичные гнойничковые высыпания на бедре и пояснице. Подкожножировая клетчатка выражена умеренно, распределена равномерно. Складка на животе 2 см, на плече - 1,5 см, под лопаткой 1,5 см.

Паспортный возраст - 7 лет 8 месяцев.

Физическое развитие - на 9 лет.

ИМТ = 30/1,312 = 17,6

SDS массы = (30 - 24) /2,3 = +2,6

SDS роста = (131-123) /5,0 = +1,6

SDS ИМТ = +0,8

Щитовидная железа при пальпации не увеличена, клинических проявлений нарушений функций нет. Клинических проявлений нарушений функций паращитовидных желез, надпочечников нет. Наружные половые органы развиты по мужскому типу. Стадия полового развития по Танеру I. Половая формула: P0, A0, V0, F0, L0.

Нервная система

Ребенок бодрый, в хорошем настроении. В отделении режим соблюдает. Аппетит хороший, сон спокойный. На осмотр реагирует адекватно. Менингиальных симптомов нет. НПР по возрасту.

VI. План обследования


1.      Лабораторные анализы

ОАК

Анализ мочи на глюкозу, кетоны.

Биохимия крови (Общий белок, альбумин, мочевина, креатинин, общий холестерин, ЛПВП, триглицериды, билирубин общий, АлАТ, АсАТ, Щел. фосфатаза, кальций, фосфор, натрий, хлор, калий)

Анализ крови на HbA1c.

Анализ мочи на МАУ.

Кал на яйца глистов.

2.      Инструментальные методы исследования

ЭКГ.

УЗИ органов брюшной полости (печень, желчный пузырь, поджелудочная железа).

3.      Консультации:

Невролог

Кардиолог

Окулист

VII. Данные лабораторных и инструментальных методов исследований


1.      Лабораторные методы исследования:

ОАК от 1.11.2016:

Эритроциты - 4,5 г/л* 1012

Гемоглобин - 145 г/л

Лейкоциты - 4,2 Г/л

СОЭ - 3 мм/ч

Заключение: Без отклонений.

.11.16г. Min - 3,0 ммоль/л. Max - 10,6 ммоль/л.

.11.16г. Min - 3,3 ммоль/л. Max - 6,5 ммоль/л.

.11.16г. Min - 3,5 ммоль/л. Max - 10,2 ммоль/л.

.11.16г. Min - 3,2 ммоль/л. Max-7,4 ммоль/л.

.11.16г. Min - 3,7 ммоль/л. Max - 8,5 ммолль/л.

15.11.16г. Min - Max-15,1 ммоль/л.

БАК от 10.11.16г.:

Общий белок - 69,7 г/л.

Альбумин 41,2 г/л.

Мочевина - 5,69 ммоль/л.

Креатинин - 58,2 ммоль/л.

Общий холестерин - 4,43 ммоль/л.

ЛПВП - 2,5 ммоль/л.

Триглицериды - 0,47 ммоль/л.

Билирубин общий - 7,5 мкмоль/л.

АлАТ - 10,2 Е/л.

АсАТ - 19,1 Е/л.

Щелочная фосфатаза - 459,0 Е/л.

Кальций - 2,0 ммоль/л.

Фосфор - 1,76 ммоль/л.

Калий - 5,39 ммоль/л.

Натрий - 135,0 ммоль/л.

Хлор - 104,5 ммоль/л.

Заключение: без патологии.

Анализ мочи на глюкозу, кетоны:

.11.16 г.

Порция

Суточное количество мочи

Количество сахара

Удельный вес

Реакция на ацетон

11: 30


2,0

1010

-

9.11.16 г.

ПорцияСуточное количество мочиКоличество сахараУдельный весРеакция на ацетон










II

200

3,7

1033

-

III

500

0,6

1009

-

10.11.16 г.

ПорцияСуточное количество мочиКоличество сахараУдельный весРеакция на ацетон





I


0,2

1024

-

11.11.16 г.

ПорцияСуточное количество мочиКоличество сахараУдельный весРеакция на ацетон





I

250

-

1020

-

II

200

-

1015

-

III

200

2,5

1028

-

ПорцияСуточное количество мочиКоличество сахараУдельный весРеакция на ацетон





7: 30

-

следы

1016

-

Анализ крови на гликированный гемоглобин от 10.11.16 г.:

HbA1c. = 6,54%

Анализы мочи на МАУ:

.11.16 г.: МАУ - 0,012 г/л.

10.11.16 г.: МАУ - 0,007 г/л.

11.11.16 г.: МАУ - 0,011 гл.

Соскоб на яйца глистов от 9.11.16 г.:

Отрицательный.

2.      Инструментальные методы исследования:

Заключение по ЭКГ от 9.11.16 г.:

Нормальная ЭОС. Предсердный ритм 70в минуту. Нарушены процессы реполяризации по типу заостренных QT V2-V6.

УЗИ органов брюшной полости:

Заключение: патологических изменений не выявлено.

3.      Консультации:

Невролог: диабетическая дистальная полинейропатия.

Кардиолог: миокардиодистрофия.

Окулист: патологии глазного дна не выявлено.

XII.   Дифференциальный диагноз.

Сахарный диабет I типа следует дифференцировать со следующими заболеваниями: сахарный диабет II типа, несахарный диабет, кишечная инфекция, кетоз, заболевания нервной системы.

С СД II типа:

Диагноз сахарный диабет II типа ставится только детям в возрасте старше 10 лет, так как моему пациенту 7 лет, то ставится сахарный диабет I типа.

С несахарным диабетом:

Несахарный диабет редкая патология (3 на 100 000). Несахарный диабет проявляется полиурией от 3-х и более литров за сутки, а у данного пациента суточный диурез не превышает 1800 мл. Так же отмечается снижение плотности мочи ниже 1005, у данного пациента плотность мочи ниже 1009 не отмечается. Так же в моче не обнаруживается глюкозы при несахарном диабете, у данного больного глюкоза в моче присутствует практически во всех пробах. Если причина несахарного диабета нейрогенная, то он может проявляться половым инфантилизмом, ожирением, тревожно-депрессивный синдром и т.д. У данного больного нет таких проявлений. При несахарном диабете слизистые оболочки, как правило, сухие, у данного пациента они влажные, розового цвета.

С кишечной инфекцией:

Кишечная инфекция будет проявляться клинически остро возникающими выраженным диспепсическим синдромом (тошнота, рвота, диарея), интоксикационным синдромом (температура, лейкоцитоз, ускоренное соэ), часто абдоминальным синдромом (боли в животе), так же возможно обнаружение возбудителя в кале. При обследовании у пациента не выявлены диспепсических расстройств, так же не выявлено изменений в ОАК, при глубокой пальпации живота - безболезненный, а в кале на яйца глистов ничего не обнаружено.

С патологией почек:

Например, при пиелонефрите пациенты жалуются на боли в пояснице, температуру (чаще фебрильную), ознобы. В крови обнаруживается лейкоцитоз, ускоренное соэ. Данный пациент таких жалоб не предъявляет, в анализе крови отклонений нет. Так же при пиелонефрите не выделяется глюкоза с мочой, у данного пациента обнаруживается глюкоза в моче.

С кетоацидозом:

Кетоацидоз может возникнуть в следствии СД I типа, будет проявляться резким ухудшением состояния пациента, тошнотой, рвотой, характерным запахом ацетона изо рта больного, кетонурия. У данного пациента нет таких проявлений.

С хирургической патологией:

У детей, как правило, хирургическая патология протекает остро, с выраженным интоксикационным, болевым, иногда диспепсическим синдромами. У данного пациента нет отклонений в температуре, в ОАК, а так же нет тошноты, рвоты и болей в животе.

VII. Диагноз и его обоснование


На основе жалоб (повышение уровня глюкозы в крови, боли в ногах), анамнеза жизни, анамнеза заболевания (болен с ноября 2013 года), лабораторных данных:

глюкоза крови от 3,0 до 15,1 ммоль/л;

гликилированный гемоглобин (HbA1c.) = 6,54%;

глюкоза в моче во всех пробах от следовых показателей до 3,7 г/л.

Консультации невролога: диабетическая дистальная полинейропатия.

Консультация кардиолога: миокардиодистрофия.

Можно поставить заключительный диагноз: Сахарный диабет I типа, декомпенсированная форма, без кетоза. Диабетическая дистальная полинейропатия. Длительность заболевания - 3 года. Сопутствующий диагноз: миокардиодистрофия.

VIII. Лечение и его обоснование


Стол №9, режим № 2.

Суточный колораж = 1000+ (100х7) = 1700 ккал/сут.

Хлебные единицы:

Завтрак - 3 ХЕ.

ой завтра - 2 ХЕ.

Обед - 4 ХЕ.

Полдник - 2 ХЕ.

Ужин - 2 ХЕ.

ой ужин - 2 ХЕ.

Инсулинотерапия:

Новорапид.

Инсулин аспарт - аналог человеческого инсулина короткого действия, произведенный методом биотехнологии рекомбинантной ДНК с использованием штамма Saccharomyces cerevisiae, в котором аминокислота пролин в положении В28 замещена на аспарагиновую кислоту.

Взаимодействует со специфическим рецептором внешней цитоплазматической мембраны клеток и образует инсулинрецепторный комплекс, стимулирующий внутриклеточные процессы, в т. ч. синтез ряда ключевых ферментов (включая гексокиназу, пируваткиназу, гликогенсинтазу). Снижение содержания глюкозы в крови обусловлено в т. ч. повышением ее внутриклеточного транспорта, усилением усвоения тканями, стимуляцией липогенеза, гликогеногенеза, снижением скорости продукции глюкозы печенью.

Замещение аминокислоты пролин в положении В28 на аспарагиновую кислоту в инсулине аспарт снижает тенденцию молекул к образованию гексамеров, которая наблюдается в растворе обычного инсулина. В связи с этим инсулин аспарт гораздо быстрее всасывается из подкожно-жировой клетчатки и начинает действовать быстрее, чем растворимый человеческий инсулин. Инсулин аспарт сильнее снижает содержание глюкозы в крови в первые 4 ч после приема пищи, чем растворимый человеческий инсулин. Продолжительность действия инсулина аспарт после п/к введения короче, чем растворимого человеческого инсулина.

После п/к введения действие препарата начинается в течение 10-20 мин после введения. Максимальный эффект наблюдается через 1-3 ч после инъекции. Продолжительность действия препарата составляет 3-5 ч.

Rp: NovoRapid 300 ED

D. S. Подкожно, по 5 ЕД перед основными приемами пищи завтрак - 900, обед 1300, ужин 1800 каждый день.

Лантус.

Инсулин гларгин является аналогом человеческого инсулина, отличающийся низкой растворимостью в нейтральной среде. В составе препарата Лантус он полностью растворим, что обеспечивается кислой средой раствора для инъекций (рН4). После введения в подкожно-жировую клетчатку раствор вследствие своей кислотности вступает в реакцию нейтрализации с образованием микропреципитатов, из которых постоянно высвобождаются небольшие количества инсулина гларгина, обеспечивая предсказуемый, плавный (без пиков) профиль кривой "концентрация-время", а также бóльшую длительность действия.

Связь с инсулиновыми рецепторами: параметры связывания со специфическими рецепторами инсулина гларгина и человеческого инсулина очень близки, и он способен опосредовать биологический эффект, аналогичный эндогенному инсулину.

Наиболее важным действием инсулина, а следовательно, и инсулина гларгина, является регуляция метаболизма глюкозы. Инсулин и его аналоги снижают содержание глюкозы в крови, стимулируя потребление глюкозы периферическими тканями (особенно скелетной мускулатурой и жировой тканью), а также ингибируя образование глюкозы в печени (глюконеогенез). Инсулин подавляет липолиз в адипоцитах и протеолиз, одновременно усиливая синтез белка.

Большая продолжительность действия инсулина гларгина напрямую обусловлена сниженной скоростью его абсорбции, что позволяет применять препарат 1 раз в сутки. После п/к введения начало действия наступает, в среднем, через 1 ч. Средняя продолжительность действия составляет 24 ч, максимальная - 29 ч.

Rp: Lantus 100 ED

D. S. Подкожно, по 14 ЕД в 1900 каждый день.

Симптоматическая терапия.

Винпоцетин.

Расслабляет гладкую мускулатуру сосудов головного мозга, усиливает кровоснабжение ишемизированных участков. Ингибирует Ca2+-кальмодулинзависимую цГМФ-фосфодиэстеразу, повышает содержание катехоламинов (дофамина и норадреналина), активность аденилатциклазы и содержание цГМФ и цАМФ в тканях мозга. Снижает функциональную активность клеточных трансмембранных натриевых и кальциевых каналов, рецепторов NMDA и AMPA. Облегчает транспорт кислорода и энергетических субстратов к тканям. Усиливает поглощение и обмен глюкозы, переключает метаболизм на аэробное направление, улучшает переносимость гипоксии клетками головного мозга. Оказывает антиоксидантное действие, увеличивает деформируемость эритроцитов и тормозит агрегацию тромбоцитов, следствием чего является уменьшение вязкости крови. Обладает нейропротекторной активностью. Незначительно понижает системное АД.

Rp: Tab. Vinpocetine 0,005. S. По ½ таблетки (2,5 мг) утром в течении 30 дней.

После - Нейромультивит.

Фармакологическое действие определяется свойствами витаминов, входящих в состав препарата.

Тиамин (витамин B1) в организме человека в результате процессов фосфорилирования превращается в кокарбоксилазу, которая является коферментом многих ферментных реакций. Тиамин играет важную роль в углеводном, белковом и жировом обмене. Активно участвует в процессах проведении нервного возбуждения в синапсах. Пиридоксин (витамин В6) необходим для нормального функционирования центральной и периферической нервной системы. В фосфорилированной форме является коферментом в метаболизме аминокислот (декарбоксилирование, переаминирование и др.). Выступает в качестве кофермента важнейших ферментов, действующих в нервных тканях. Участвует в биосинтезе многих нейромедиаторов - таких как дофамин, норадреналин, адреналин, гистамин и гамма-аминомасляная кислота.

Цианокобаламин (витамин B12) необходим для нормального кроветворения и созревания эритроцитов, а также участвует в ряде биохимических реакций, обеспечивающих жизнедеятельность организма - в переносе метальных групп, в синтезе нуклеиновых кислот, белка, в обмене аминокислот, углеводов, липидов. Оказывает благоприятное влияние на процессы в нервной системе (синтез нуклеиновых кислот и липидный состав цереброзидов и фосфолипидов). Коферментные формы цианокобаламина - метилкобаламин и аденозилкобаламин необходимы для репликации и роста клеток.

Rp: Tab. Neuromultivit. S. По 1 таблетке 2 раза в день, внутрь, после еды, в течении 30 дней.

IX. Дневники курации


Дата: 12.11.2016

Данные обследования Больного

Назначения

t Cо=36,6

Состояние ребенка средней степени тяжести за счет повышения уровня глюкозы в крови. Сознание ясное, положение активное. Кожный покров сухой, отмечаются единичные гнойничковые высыпания на бедре и пояснице. Локти гиперпигментированы. Кожа и склеры нормальной окраски. Эластичность сохранена. Подкожно - жировой слой выражен умеренно, распределен равномерно. Язык влажный, чистый. Живот округлой формы, не вздут. Доступен глубокой пальпации во всех отделах, безболезненный. Печень не выступает из-под реберной дуги. Стул оформлен, коричневого цвета, без примесей. Частота стула 1 раз в сутки. Мочеиспускание 5-6 раз в день, свободно, безболезненное.

Стол №9,режим № 2. Суточный колораж = 1000+ (100х7) = 1700 ккал/сут. Хлебные единицы: Завтрак - 3 ХЕ. 2ой завтра - 2 ХЕ. Обед - 4 ХЕ. Полдник - 2 ХЕ. Ужин - 2 ХЕ. 2ой ужин - 2 ХЕ. Rp: NovoRapid 300 ED D. S. Подкожно, по 5 ЕД перед основными приемами пищи завтрак - 900, обед 1300, ужин 1800 каждый день. Rp: Lantus 100 ED D. S. Подкожно, по 14 ЕД в 1900 каждый день. Rp: Tab. Vinpocetine 0,005 D. S. По ½ таблетки (2,5 мг) утром в течении 30 дней.

ЧД=19 в мин.



ЧСС= 85 в минуту



Глюкоза крови: Min - 3,2 ммоль/л. Max-7,4 ммоль/л.



Дата: 14.11.2016

Данные обследования больного

Назначения.

t Cо =36,6

Состояние ребенка средней степени тяжести за счет повышения уровня глюкозы в крови. Сознание ясное, положение активное. Кожный покров сухой, отмечаются единичные гнойничковые высыпания на бедре и пояснице. Локти гиперпигментированы. Кожа и склеры нормальной окраски. Эластичность сохранена. Подкожно - жировой слой выражен умеренно, распределен равномерно. Язык влажный, чистый. Живот округлой формы, не вздут. Доступен глубокой пальпации во всех отделах, безболезненный. Печень не выступает из-под реберной дуги. Стул оформлен, коричневого цвета, без примесей. Частота стула 1 раз в сутки. Мочеиспускание 5-6 раз в день, свободно, безболезненное.

Стол №9,режим № 2. Суточный колораж = 1000+ (100х7) = 1700 ккал/сут. Хлебные единицы: Завтрак - 3 ХЕ. 2ой завтра - 2 ХЕ. Обед - 4 ХЕ. Полдник - 2 ХЕ. Ужин - 2 ХЕ. 2ой ужин - 2 ХЕ. Rp: NovoRapid 300 ED D. S. Подкожно, по 5 ЕД перед основными приемами пищи завтрак - 900, обед 1300, ужин 1800 каждый день. Rp: Lantus 100 ED D. S. Подкожно, по 14 ЕД в 1900 каждый день. Rp: Tab. Vinpocetine 0,005 D. S. По ½ таблетки (2,5 мг) утром в течении 30 дней.

ЧД = 20 в минуту



ЧСС = 90 в минуту



Глюкоза крови: Min - 3,7 ммоль/л. Max - 8,5 ммолль/л.




Дата: 15.11.2016

Данные обследования больного

Назначения

t Со= 36,6

Состояние ребенка средней степени тяжести за счет повышения уровня глюкозы в крови. Сознание ясное, положение активное. Кожный покров сухой, отмечаются единичные гнойничковые высыпания на бедре и пояснице. Локти гиперпигментированы. Кожа и склеры нормальной окраски. Эластичность сохранена. Подкожно - жировой слой выражен умеренно, распределен равномерно. Язык влажный, чистый. Живот округлой формы, не вздут. Доступен глубокой пальпации во всех отделах, безболезненный. Печень не выступает из-под реберной дуги. Стул оформлен, коричневого цвета, без примесей. Частота стула 1 раз в сутки. Мочеиспускание 5-6 раз в день, свободно, безболезненное.

Стол №9,режим № 2. Суточный колораж = 1000+ (100х7) = 1700 ккал/сут. Хлебные единицы: Завтрак - 3 ХЕ. 2ой завтра - 2 ХЕ. Обед - 4 ХЕ. Полдник - 2 ХЕ. Ужин - 2 ХЕ. 2ой ужин - 2 ХЕ. Rp: NovoRapid 300 ED D. S. Подкожно, по 5 ЕД перед основными приемами пищи завтрак - 900, обед 1300, ужин 1800 каждый день. Rp: Lantus 100 ED D. S. Подкожно, по 14 ЕД в 1900 каждый день. Rp: Tab. Vinpocetine 0,005 D. S. По ½ таблетки (2,5 мг) утром в течении 30 дней.

ЧД = 19 в минуту



ЧСС = 87 в минуту



Глюкоза крови: Min - Max-15,1 ммоль/л.



X. Выписной эпикриз


Ф.И.О. ребенка -

Дата рождения - 21.03.2009 г/ (7 лет 8 месяцев).

Диагноз: Сахарный диабет I типа, декомпенсированная форма, без кетоза. Осложнения: Диабетическая дистальная полинейропатия.

Сопутствующие заболевания: Миокардиодистрофия.

Из анамнеза известно: Считается больным с ноября 2013 года.

Данные обследования:

ОАК от 1.11.2016:

Эритроциты - 4,5 г/л* 1012, Гемоглобин - 145 г/л, Лейкоциты - 4,2 Г/л, СОЭ - 3 мм/ч.

Суточный мониторинг глюкозы крови:

.11.16 г. Min - 3,0 ммоль/л. Max - 10,6 ммоль/л.

.11.16 г. Min - 3,3 ммоль/л. Max - 6,5 ммоль/л.

.11.16 г. Min - 3,5 ммоль/л. Max - 10,2 ммоль/л.

.11.16 г. Min - 3,2 ммоль/л. Max-7,4 ммоль/л.

.11.16 г. Min - 3,7 ммоль/л. Max - 8,5 ммолль/л.

15.11.16 г. Min - Max-15,1 ммоль/л.

БАК от 10.11.16 г.:

Общий белок - 69,7 г/л, Альбумин 41,2 г/л, Мочевина - 5,69 ммоль/л, Креатинин - 58,2 ммоль/л, Общий холестерин - 4,43 ммоль/л, ЛПВП - 2,5 ммоль/л, Триглицериды - 0,47 ммоль/л, Билирубин общий - 7,5 мкмоль/л, АлАТ - 10,2 Е/л, АсАТ - 19,1 Е/л, Щелочная фосфатаза - 459,0 Е/л, Кальций - 2,0 ммоль/л, Фосфор - 1,76 ммоль/л, Калий - 5,39 ммоль/л, Натрий - 135,0 ммоль/л, Хлор - 104,5 ммоль/л.

Анализ мочи на глюкозу, кетоны:

.11.16г.

Порция

Суточное количество мочи

Количество сахара

Удельный вес

Реакция на ацетон

11: 30


2,0

1010

-

.11.16 г.

ПорцияСуточное количество мочиКоличество сахараУдельный весРеакция на ацетон










II

200

3,7

1033

-

III

500

0,6

1009

.11.16 г.

ПорцияСуточное количество мочиКоличество сахараУдельный весРеакция на ацетон





I


0,2

1024

-


11.11.16 г.

ПорцияСуточное количество мочиКоличество сахараУдельный весРеакция на ацетон





I

250

-

1020

-

II

200

-

1015

-

III

200

2,5

1028

-

.11.16 г.:

ПорцияСуточное количество мочиКоличество сахараУдельный весРеакция на ацетон





7: 30

-

следы

1016

-

Анализ крови на гликированный гемоглобин от 10.11.16 г.:

HbA1c. = 6,54%

Анализы мочи на МАУ:

.11.16г.: МАУ - 0,012 г/л.

10.11.16г.: МАУ - 0,007 г/л.

11.11.16г.: МАУ - 0,011 гл.

Соскоб на яйца глистов от 9.11.16г.:

Отрицательный.

Инструментальные методы исследования:

Заключение по ЭКГ от 9.11.16г:

Нормальная ЭОС. Предсердный ритм 70в минуту. Нарушены процессы реполяризации по типу заостренных QT V2-V6.

УЗИ органов брюшной полости:

Заключение: патологических изменений не выявлено.

Консультации:

Невролог: диабетическая дистальная полинейропатия.

Кардиолог: миокардиодистрофия.

Окулист: патологии глазного дна не выявлено.

Проведенное лечение:

Стол №9,Режим № 2.

Суточный колораж = 1000+ (100х7) = 1700 ккал/сут.

Хлебные единицы:

Завтрак - 3 ХЕ.

ой завтра - 2 ХЕ.

Обед - 4 ХЕ.

Полдник - 2 ХЕ.

Ужин - 2 ХЕ.

ой ужин - 2 ХЕ.

Rp: NovoRapid 300 ED

D. S. Подкожно, по 5 ЕД перед основными приемами пищи завтрак - 900, обед 1300, ужин 1800 каждый день.

Rp: Lantus 100 ED

D. S. Подкожно, по 14 ЕД в 1900 каждый день.

Rp: Tab. Vinpocetine 0,005

D. S. По ½ таблетки (2,5 мг) утром в течении 30 дней.

На данный момент: Состояние ребенка стабильное. Положение активное. Сознание ясное. Кожный покров сухой, отмечаются единичные гнойничковые высыпания на бедре и пояснице. Локти гиперпигментированы. Кожа и склеры нормальной окраски. Эластичность сохранена. Подкожно - жировой слой выражен умеренно, распределен равномерно. Язык влажный, чистый. Живот округлой формы, не вздут. Доступен глубокой пальпации во всех отделах, безболезненный. Печень не выступает из-под реберной дуги. Стул оформлен, коричневого цвета, без примесей. Частота стула 1 раз в сутки. Мочеиспускание 5-6 раз в день, свободно, безболезненное.

Рекомендовано:

1.       Постоянное соблюдение диеты и режима питания.

2.       Ежедневный мониторинг уровня глюкозы в крови (не менее 3х раз в день).

.        Физические нагрузки не менее 60 минут в день (каждый день).

4.       Посещение школы диабета.

5.       После окончанию приема Винпоцетина начать принимать нейромультивит по 1 таблетке 2 раза в день в течении 30 дней.

.        Через полгода явиться на плановую госпитализацию.

2.       И.И. Дедов, Г.А. Мельниченко, В.Ф. Фадеев, 2007.

.        Федеральные клинические рекомендации (протоколы) по ведению детей с эндокринными заболеваниями/Под ред.И. И. Дедова и В.А. Петерковой. - М.: Практика, 2014.


Не нашли материал для своей работы?
Поможем написать уникальную работу Без плагиата!