РАСЧЕТ ХАРАКТЕРИСТИК СИЛОВЫХ ТРАНСФОРМАТОРОВ
Задание:
По приведенным техническим данным трехфазного двухобмоточного трансформатора:
рассчитать и изобразить Т-образную схему замещения одной фазы.
При коэффициенте нагрузки β = 0,05; 0,2; 0,4; 0,8; 1; 1,2:
2. определить и построить зависимости:
а) КПД: = f();
б) отклонение
напряжения
= f(β);
3. построить внешнюю характеристику U2=f(I2).
Исходные данные
Трансформатор ТМГ-160/10-X1;
Номинальная мощность Sн=160 кВА;
Номинальное напряжение U1н=10 кВ;
Номинальное напряжение U2н=0,23 кВ;
Потери холостого хода Ро=0,44 кВт;
Потери короткого замыкания Рк=2,65 кВт;
Ток холостого хода iо=1,8 %;
Напряжение короткого замыкания uк=4,5 %;
Активно-индуктивная нагрузка cos(φ2)=0,7;
Схема соединения
трансформатора соединения:
.
Расчет Т-образной схемы замещения одной фазы

Рисунок 1. Т-образная схема замещения трансформатора
Номинальные (линейные) токи трансформатора:

Номинальные фазные напряжения:

При данном способе
соединения (
)
фазные токи I1нф
и I2нф равны
линейным:
I1нф = I1н = 9,238 А;
I2нф = I2н = 401,635 А.
Параметры схемы замещения определяют из опытов холостого хода и короткого замыкания.

Рисунок 2. Схема замещения трансформатора в опыте холостого хода
Ток ХХ первичной обмотки:
![]()
Получаем (с учетом 1 фазы):
![]()
Полное сопротивление ветви намагничивания:
![]()
![]()

Рисунок 3. Схема замещения трансформатора в опыте короткого замыкания
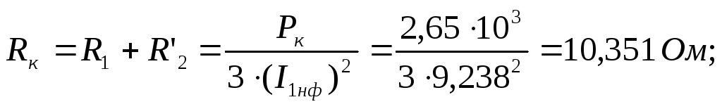
Напряжение в опыте КЗ:
![]()
![]()
![]()
![]()
Реальные величины активных и реактивных сопротивлений первичной и вторичной обмоток трансформатора:

Коэффициент трансформации:
![]()


Рисунок 4. Т-образная схема замещения трансформатора
2. Определение и построение зависимостей:
а) Расчет КПД при известном коэффициенте нагрузки
![]()
Коэффициент нагрузки β=0,05 ; 0,2 ; 0,4 ; 0,8 ; 1,0 ; 1,2
![]()
![]()
![]()
![]()
![]()
![]()
β η
Рисунок 5. График зависимости КПД от коэффициента нагрузки
б) Расчет отклонения напряжения при известном коэффициенте нагрузки

φ2 = arccos(0,7) =45,57 (Характер нагрузки RL);
φк = arccos(0,396) =66,67 ;
cos(φ2- φk) = cos(45,57-66,67) =0,933.
![]()
![]()
![]()
![]()
![]()
![]()
β
,%
Рисунок 6. График зависимости отклонения напряжения от коэффициента нагрузки.
3. Построение внешней характеристики U2=f(I2)
![]()
![]()
![]()
![]()
![]()
![]()
![]()
![]()
=0,05 ·
401,635 = 20,081 А;
=0,2 ·
401,635 = 80,327 А;
=0,4 ·
401,635 = 160,654 А;
=0,8
· 401,635 =
321,308 А;
=1,0 ·
401,635 = 401,635 А;
=1,2 ·
401,635 = 481,962 А.
U2,
B
I2,
A
Рисунок 7. Внешняя характеристика U2 =f(I2)