Материал: Решение математических задач средствами Excel

Внимание! Если размещение файла нарушает Ваши авторские права, то обязательно сообщите нам

Решение математических задач средствами Excel

МИНИСТЕРСТВО ОБРАЗОВАНИЯ И НАУКИ РФ

Технический институт (филиал)

Федерального государственного автономного образовательного учреждения

высшего профессионального образования

"Северо-Восточный федеральный университет имени М.К. Аммосова"





ОТЧЕТ

Направление подготовки 010400.62 "Прикладная математика и информатика"


Выполнил: Пигалев А.В.








г. Нерюнгри, 2013

Содержание

Введение

1.   Общие задания

1.1       Аналитическая геометрия

1.1.1          Декартова система координат. Линии на плоскости

.1.2            Кривые второго порядка на плоскости

.1.3            Графическое решение систем уравнений

.1.4            Поверхности в трехмерном пространстве. Плоскость

1.2       Линейная алгебра

1.2.1          Матрицы. Операции с матрицами

.2.2            Система n линейных уравнений с n неизвестными

1.3       Элементы математического анализа

1.3.1          Производная

.3.2            Определенный интеграл

.3.3            Комплексные числа

.3.4            Арифметические операции на множестве комплексных чисел

1.4       Теория вероятностей

1.4.1          Перестановки, сочетания, размещения

.4.2            Основные правила комбинаторики. Бином Ньютона

2.   Индивидуальное задание

Заключение

Список используемой литературы

геометрия поверхность математический комбинаторика


Введение


Учебная практика проходила в Техническом институте (филиале) "Северо-Восточный федеральный университет им. М. К. Аммосова" в г. Нерюнгри в период с 24.06.13 по 05.07.13 под руководством Самохиной Виктории Михайловны.

Были получены общие задания по учебнику "Решение математических задач средствами Excel: Практикум" и творческое индивидуальное задание по системе "Moodle".

Целью общих заданий являлось закрепление теоретических знаний по пройденным дисциплинам, и их применение на практике с помощью электронных таблиц MicrosoftExcel.

1.      Общие задания

1.1 Аналитическая геометрия

.1.1 Декартова система координат. Линии на плоскости

Упражнение №9.

Условие:

Построить прямую, заданную общим уравнением: l:  в диапазоне  с шагом .

Решение:

)        Так как по условию нужно построить прямую, заданную общим уравнением: l: 3x-5y+15=0, следовательно, уравнением этой прямой будет являться y=3/5*x+3

)        Составляем таблицу данных для прямой. Вносим в первую колонку значения аргумента из данного диапазона, используя автозаполнение. Во вторую колонку вносим уравнение: =(3/5)*A2+3 и используем автозаполнение.

)        Выделяем область, нужную нам для построения графика, и выбираем его тип из списка на панели инструментов.

)        График построен (рис. 1).

Рис. 1. График прямой

1.1.2 Кривые второго порядка на плоскости

Упражнение № 15, пункт 1.

Условие:

Постройте параболу:  в диапазоне  с шагом .

Найдите координаты фокуса и уравнение директрисы.

Решение:

)        Выбираем диапазон  с шагом .

)        Преобразовываем уравнение к виду: y=±√6x

)        Составляем таблицу данных для параболы. Вносим в первую колонку значения аргумента из данного диапазона, используя автозаполнение. Во вторую колонку вносим уравнение: =(6*A2)^(1/2),в третью колонку вносим уравнение: =-((6*A2)^(1/2)) и используем автозаполнение.

)        Выделяем область, нужную нам для построения графика, и выбираем его тип из списка на панели инструментов.

)        Находим координаты фокуса и уравнение директрисы (рис. 2).

Рис. 2. График параболы

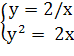
1.1.3 Графическое решение систем уравнений

Упражнение №22.

Условие:

Графически решить систему:  в диапазоне  с шагом .

Решение:

)        Составляем таблицу данных. Вносим в первую колонку значения аргумента из данного диапазона, используя автозаполнение. Во вторую колонку вносим уравнение: =2/A2 , в третью колонку вносим уравнение: =(2*A2)^(1/2),в четвёртую колонку вносим уравнение:=-((2*A2)^(1/2)) и используем автозаполнение.

)        Выделяем область, нужную нам для построения графика, и выбираем его тип из списка на панели инструментов. Точка пересечения двух функций на графике будет решением системы (рис. 3).

Рис. 3. Графическое решение системы

.1.4 Поверхности в трехмерном пространстве. Плоскость

Упражнение №25.

Условие:

Построить плоскость, параллельную плоскости Oxy и пересекающую ось Oz в точке M(0, 0, 2). Диапазоны изменения переменных x и y:  с шагом ,  с шагом .

Решение:

)        Составляем уравнение плоскости. По формуле уравнения плоскости, проходящей через данную точку, получаем уравнение:z=2-0*x-0*y.

)        Составляем таблицу данных для плоскости. Вносим в первую колонку значения переменной x из данного диапазона, используя автозаполнение. Таким же образом по горизонтали в первый ряд вносим значения переменной y. Во вторую колонку вводим формулу: =2-0*$A2-0*B$1и при помощи автозаполнения заполняем остальные колонки.

)        Выделяем область, нужную нам для построения графика, и выбираем его тип из списка на панели инструментов.


Рис. 4. Построенная плоскость


1.2 Линейная алгебра

.2.1 Матрицы. Операции с матрицами

Упражнение №5.

Условие:

Найдите матрицу, обратную данной:A=.

Решение:

)        Вводим матрицуA в таблицу.

)        Выделяем область для обратной матрицы.

)        На панели инструментов выбираем "Вставить функцию", в диалоговом окне выбираем тип функции "МОБР". В поле "Массив " вписываем диапазон матрицы Aи нажимаем сочетание клавиш Ctrl+Shift+Enter.

)        В выделенной ранее области появится обратная матрица (рис. 5).

Рис. 5. Обратная матрица

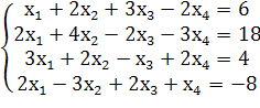
.2.2 Система n линейных уравнений с n неизвестными

Упражнение №14.

Условие:

Решить пример:

Решение:

)        Из коэффициентов системы уравнений составляем матрицу A, а из свободных членов составляем матрицу B и вводим их в таблицу.

)        Находим матрицу, обратную матрице A. Для этого воспользуемся функцией "МОБР".

)        Умножаем матрицу  на матрицу B и получаем значения переменных x1, x2,x3и x4.

)        Чтобы проверить ответ умножаем матрицу со значениями переменных на матрицу A (рис. 6).

Рис. 6. Решенный пример

.3 Элементы математического анализа

.3.1 Производная

Упражнение №1.

Условие:

Зависимость спроса на товар от цены выражается формулой: . Построить график функции этой зависимости в диапазоне  с шагом . С какой скорость изменяется спрос при цене .

Решение:

)        Чтобы найти скорость зависимости, найдем производную формулы, выражающей зависимость спроса от цены. Производная будет выражаться формулой 100/(p+1)^2 .

)        Составляем таблицу данных для обеих функций. Вносим в первую колонку значения аргумента из данного диапазона, используя автозаполнение. Во вторую колонку вводим формулу: =100/(A2+1) , в третью колонку вводим формулу: =100/((A2+1)^2) и используем автозаполнение.

)        Выделяем область, нужную нам для построения графиков, и выбираем тип из списка на панели инструментов.

)        График построен (рис. 7).

Рис. 7. График зависимости

.3.2 Определенный интеграл

Упражнение №3, пункт 1.

Условие:

Методом треугольников и методом трапеций найти следующий интеграл:  при.

Решение:

)        Составляем таблицу данных для подынтегральной функции. Вносим в первую колонку значения аргумента из данного диапазона, используя автозаполнение. Во вторую колонку вводим формулу: =A2 и используем автозаполнение.

)        Для вычисления интеграла методом треугольников вводим в свободную ячейку формулу: =0,1*СУММ(B3:B22).Полученный результат будет приблизительным значением интеграла.

)        Для вычисления интеграла методом трапеций вводим в свободную ячейку формулу: =0,1*((B2+B22)/2+СУММ(B3:B21)). Полученный результат будет точным значением интеграла (рис. 8).

Рис. 8. Найденный интеграл

.3.3 Комплексные числа

Упражнение №16.

Условие:

Выделить вещественную и мнимую части комплексного числа -3+i8.

Решение:

1)      Воспользуемся функциями "МНИМ.ВЕЩ и МНИМ.ЧАСТЬ"(рис. 9).

Рис. 9. Вещественная и мнимая части

.3.4 Арифметические операции на множестве комплексных чисел

Упражнение №21.

Условие:

Вычислить:.

Решение:

)        В свободные ячейки вводим комплексные числа 2 + 4i,-3-2i,1-2i,-2+4i.

)        Выделим свободную ячейку и воспользуемся функцией "МНИМ.ПРОИЗВЕД".

)        Выделим свободную ячейку и воспользуемся функцией "МНИМ.РАЗН".

)        Выделим свободную ячейку и воспользуемся функцией "МНИМ.ДЕЛ".

)        В выделенной ячейке появится результат вычисления (рис. 10).

Рис. 10. Результат вычисления

1.4 Теория вероятностей

.4.1 Перестановки, сочетания, размещения

Упражнение №5, пункт 3.

Условие:

Вычислить:

Решение:

)        Для вычисления воспользуемся функцией "ФАКТР". В свободную ячейку вводим формулу: =(ФАКТР(15)+ФАКТР(17))/ФАКТР(16).

)        В выделенной ячейке появится результат вычисления (рис. 11).

Рис. 11. Результат вычисления.

Упражнение №7.

Условие:

Решение:

)        Для вычисления воспользуемся функцией "ФАКТР". В свободную ячейку вводим формулу: =ФАКТР(15)/(ФАКТР(9)*ФАКТР(15-9)).

)        В выделенной ячейке появится результат вычисления (рис. 12).

Рис. 12. Результат вычисления.

Упражнение №8.

Условие:

Сколько можно составить трёхзначных чисел из цифр 7,9,6,5,4? Что здесь нужно считать: перестановки, сочетания или размещения? Почему?

Решение:

)        Для вычисления воспользуемся функцией "ФАКТР". В свободную ячейку вводим формулу: =ФАКТР(5)/ФАКТР(5-3) (рис. 13).

)        Так как порядок имеет значение, нужно использовать размещения.

Рис. 13. Результат вычисления.

.4.2 Основные правила комбинаторики. Бином Ньютона

Упражнение №13.

Условие:

С какой вероятностью можно угадать три номера в тираже спортлото "5 из 36"?

Решение:

)        Для вычисления воспользуемся функцией "ЧИСЛКОМБ". В свободную ячейку вводим формулу: =(ЧИСЛКОМБ(5;3)*ЧИСЛКОМБ(31;2))/ЧИСЛКОМБ(36;5) (рис. 14).

Рис. 14. Результат вычисления.

2.      Индивидуальное задание


Мое индивидуальное задание было связано с работой в системе "Moodle". "Moodle" - это система управления содержимым сайта, специально разработанная для создания онлайн-курсов преподавателями. Данный программный комплекс предлагает широкий спектр возможностей для полноценной поддержки процесса обучения в дистанционной среде - разнообразные способы представления учебного материала, проверки знаний и контроля успеваемости.

Заключение


За период учебной практики решались математические задачи средствами электронной таблицы Excel. Все задачи были решены с применением теоретических знаний, полученных в учебном году, и учебника "Решение математических задач средствами Excel". За период учебной практики были получены и закреплены знания электронной таблицы Excel, а так же знания по пройденным математическим дисциплинам. Все решенные задачи и ход их решения рассмотрены выше.

Список используемой литературы


1)    Решение математических задач средствами Excel: Практикум /  В. Я. Гельман. - СПб,: Питер, 2003. - 240 с.: ил.

2)      Работа в системе дистанционного обучения Moodle: Учебное пособие. 2-е изд. испр. и дополн. / А. М. Анисимов. - Харьков,: ХНАГХ, 2009. - 292 с.: ил.