1,47
0,98
0,98
0,075
0,05
-
0,05
-
-
-
-0,27
-
-
-
-
3,59
100
33,32
125.28
158.6
0.05
37,90
167,31
-
238,94
110
1,1
36,65
137,81
174.46
0.05
37,90
33,68
179,73
3,33
254,69
21
79
100
0.02
14,9
13,2
70,6
1,3
100
Материальный баланс процесса горения топлива
Таблица 4 Материальный баланс
Поступило топливо 100 Получено: продукты горения 245,63 Определение калориметрической температуры горения.
Определение начального теплосодержания дымовых газов
Определение температуры горения топлива При температуре 2400 При температуре Определяем калориметрическую температуру горения топлива
Расчет регенератора ведут на среднюю тепловую нагрузку.
Определение секундных количеств газа, воздуха и продуктов
сгорания
Расход газа при нормальных условиях:
Расход газа при нормальных условиях:
Расход воздуха при нормальных условиях:
Расход воздуха при нормальных условиях:
Количество продуктов сгорания при нормальных условиях:
Количество продуктов сгорания, образовавшихся при горении 1 м3
газа (из расчета горения топлива):
Количество продуктов сгорания при нормальных условиях:
Определение водяных эквивалентных сред:
Водяной эквивалент воздуха:
Водяной эквивалент воздуха:
Водяной эквивалент продуктов сгорания
Теплоёмкость дымовых газов при температуре на входе в
регенератор [2, стр. с. 344]:
Водяной эквивалент продуктов сгорания:
В газовую насадку пойдёт:
В воздушную насадку пойдёт:
Водяной эквивалент продуктов сгорания, направляющихся по
воздушному пути:
Водяной эквивалент дымовых газов, направляющихся по газовому
пути:
Проверка:
Определение температуры дымовых газов на выходе из насадок
КПД воздушной насадки:
КПД газовой насадки:
Температура дымовых газов на выходе из воздушной насадки:
Температура дымовых газов на выходе из газовой насадки:
Расчет размеров воздушной насадки
Определение коэффициента теплоотдачи конвекцией для верха и
низа насадки:
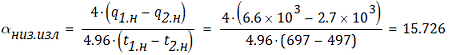
Определение коэффициента теплопередачи излучением для верха и
низа насадки.
Температура дыма на входе в насадку:
Температура кладки верха насадки:
Температура кладки низа насадки:
Приведенные толщины слоев CO2, H2O:
Удельная интенсивность излучения CO2, H2O [3, стр. 246]:
Коэффициент теплопередачи излучением для верха насадки:
Удельная интенсивность излучения CO2, H2O [3, стр. 246]:
Коэффициент теплопередачи излучением для верха насадки:
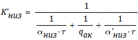
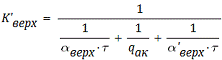
Суммарный коэффициент теплоотдачи для верха и низа насадки:
Определение коэффициента теплоотдачи конвекцией от насадки
воздуху.
Число ячеек в насадке:
Живое сечение насадки:
Скорость воздуха в насадке:
Коэффициент теплоотдачи конвекцией:
Определение аккумулирующей способности кладки насадки
Толщина насадочного кирпича: Коэффициент формы:
Средняя температура кладки:
Теплоёмкость кладки:
Коэффициент теплопроводности кладки:
Коэффициент температуропроводности:
Критерий Фурье:
Коэффициент аккумуляции, в зависимости от критерия Фурье [3,
стр. 249]
Аккумулирующая способность кладки:
Определение коэффициента теплоотдачи для верха и низа
насадки:
Средний перепад температур в воздушной насадке:
Поверхность нагрева воздушной насадки:
Определение высоты насадки:
Удельная поверхность нагрева:
Объём воздушной насадки:
Высота насадки:
Площадь поперечного сечения насадки:
Результаты расчета высоты насадки следует проверить по
коэффициенту стройности регенератора:
Расчет размеров газовой насадки
Определение коэффициента теплоотдачи для газовой насадки
Температура дыма на выходе из газовой насадки:
Температура кладки верха насадки:
Температура кладки низа насадки:
Коэффициент теплопередачи конвекцией:
Удельные излучения CO2 и H2O [3, стр. 246]:
Коэффициент теплопередачи излучением:
Удельные излучения CO2 и H2O [3, стр. 246]:
Коэффициент теплопередачи излучением:
Суммарный коэффициент теплоотдачи для верха и низа насадки
Определение коэффициента теплоотдачи от кладки к нагреваемому
газу.
Число ячеек в газовой насадке:
Живое сечение газовой насадки:
Скорость газа в насадке:
Коэффициент теплопередачи конвекцией:
Газ подогревается от кладки, нагретой продуктами сгорания в
верхней части до температуры:
Расчет коэффициентов теплоотдачи:
Удельные излучения CO2 и H2O [3, стр. 246]:
Коэффициент теплопередачи излучением:
Удельные излучения CO2 и H2O [3, стр. 246]:
Коэффициент теплопередачи излучением:
Суммарный коэффициент теплопередачи:
Определение коэффициента теплопередачи для верха и низа
насадки
Средний коэффициент теплопередачи:
Поверхность нагрева газовой насадки
Средний перепад температур в газовом насадке:
Поверхность нагрева газовой насадки:
Объём газовой насадки:
Определение высоты насадки:
Проверим соотношение объёмов газовых насадок:
В ходе выполнения курсового проекта были изучены исторические
аспекты применения регенеративных теплообменников мартеновских печей, изучены
вопросы устройства и принципа действия данных устройств, изучены характеристики
материалов, применяемых в строительстве мартеновских печей. В специальной части
курсового проекта выполнен расчет горения топлива, расчет регенератора
мартеновской печи, определены соответствующие теплотехнические характеристики
регенератора, исходя из данных, которые установлены заданием.
1. Кривандин В.А.,
Филимонов Ю.П. Теории и конструкции металлургических печей. Том I. - М.:
Металлургия, 2010.
2. Мастрюков Б.С.
Расчеты металлургических печей. Том II. - М.: Металлургия, 1986.
. Ойкс Г.Н.
Производство стали. 4-е изд. - М.: Металлургия, 2012.
в т.ч. в кг
Невязка
2.2
Расчет регенератора

![]()
![]()
![]()

![]()
![]()
![]()
![]()

![]()


![]()


![]()
![]()
![]()
![]()
![]()
![]()
![]()
![]()
![]()
![]()
![]()

![]()
![]()

![]()
![]()

![]()

![]()
![]()
![]()

![]()
![]()
![]()
![]()
![]()

![]()






![]()
![]()
![]()
![]()
![]()
![]()
![]()
![]()
![]()
![]()
![]()

![]()
![]()
![]()
![]()

![]()
![]()

![]()

![]()
![]()
![]()
![]()
![]()
![]()
![]()
![]()
![]()
![]()

![]()
![]()

![]()
![]()
![]()
![]()
![]()

![]()

Вывод
Список
использованных источников