Материал: Разработка услуги по нанесению защитного покрытия Plasti Dip на кузов автомобиля марки Toyota Supra

Внимание! Если размещение файла нарушает Ваши авторские права, то обязательно сообщите нам

·              Покрытие «жидкая резина» ® обеспечивает защиту автомобиля, экономит средства на малярно-кузовном ремонте и многократно окупает небольшие затраты на его нанесение!

·              Как можно повредить покрытие «жидкая резина»?

·              Повредить покрытие можно лишь 2-мя способами:

·              1. Если кто-то захочет умышленно нанести вред Вашему автомобилю ключом или гвоздём (но здесь уже ничто не спасет, даже бронирующая плёнка)

·              2. Если вылить на покрытие растворитель или обезжириватель.

·              Сколько по времени занимает процесс нанесения?

·              По времени сам процесс нанесения, с предварительной подготовкой и оклейкой кузова занимает 1 рабочий день и еще 1 день требуется для полной полимеризации и высыхания «жидкой резины».

Технология покраски автомобиля жидкой резиной

1.      Подготовка машины к покраске

2.      Технология покраски жидкой резиной

.        Расход материалов и уход за поверхностью

Подготовка машины к покраске

«Жидкая резина» в первую очередь это один из инструментов тюнинга, так как автомобиль после этой процедуры выглядит если не красиво, то примечательно как минимум. Т.е. к образуемой поверхности предъявляются особенные требования в плане эстетической привлекательности. Так же ее используют для защиты металла на дисках и кузове.

Никаких особенных требований к процедуре нанесения материал не предъявляет. Наносить можно поверх старого ЛакоКрасочногоПокрытия, при условии, что старая эмаль хорошо держится. По этой причине сначала нужно тщательно ошкурить поверхность и удалить все неблагонадежные участки. Производители этого продукта, уверяют, что материал может закрыть все старые сколы, трещины и царапины, что не совсем верно.

Нанесение производится напылением, так что образуется довольно равномерный слой, толщина которого не всегда способна скрыть крупные дефекты ЛКП. Очень рекомендуется все неровности сровнять абразивом, зашпаклевать. Номер абразива выбирается из жесткости поверхности и планов на его (ЛКП) дальнейшее использование - для самой краски матирование обязательным не является.

Мыть автомобиль желательно до обработки абразивами и после. Обезжиривание также рекомендуется проводить до того, как в дело пойдет наждачная бумага, но для крупнозернистых абразивов этот момент принципиальным не является. Обезжириванию нужно уделить больше внимания, чем при обычной покраске: большинство резиновых красок имеет водную основу и плохо взаимодействует с любыми растворителями, поэтому после обезжиривания желательно удалить все следы этой процедуры сухой салфеткой.

Пропускать этап обезжиривания нельзя, иначе краска начнет вздуваться уже через несколько недель, но еще хуже материал реагирует с битумными пятнами. Жир и битум должны быть удалены полностью - уайт-спирит для этих целей использовать можно, но желательно воспользоваться специальным средством, а еще лучше - обезжиривателем без силикона. Ацетон, керосин и подобные им реагенты на подобные операции брать нельзя. Допустимо использовать стандартную подготовку, применяемую перед нанесением промышленных изоляторов: промывка поверхности раствором (3-4%) аммиака и соды. К воздуху требований, кроме температуры, не предъявляется: вся работа, включая нанесение вещества, может производиться на улице.

Технология покраски жидкой резиной

Плотность вещества немного выше плотности обычной эмали, частицы его образующие - крупнее. При этом сушка происходит очень быстро, так что за равномерностью нанесения нужно следить очень внимательно. Стандартная продукция этого типа допускает нанесение любым инструментом, в том числе обычной кистью. Однако кисть в этом случае не даст равномерного покрытия даже в самых умелых руках, поэтому ниже рассматривается только вариант напыления.

Проблемы могут начаться из-за высокой температуры воздуха или кузова (детали) авто, когда материал сохнет слишком быстро. В большинстве случаев производитель допускает разведение, но с жидкой резиной обычные растворители использовать запрещено. Иногда допустимо разведение чистой водой, но в большинстве случаев для этого придется использовать фирменный растворитель. Разумеется, до этого процесс покраски авто лучше не доводить, т.е. производить все работы при комнатной температуре и нормальной влажности.

Все не требующие окрашивания поверхности заклеиваются малярным скотчем и пленкой, баллончик активно взбалтывается. Если в качестве инструмента выбран краскопульт, дюза, открывается на 2.0 и больше, что связано с вышеописанными физическими свойствами вещества. Маленькое сопло приведет к быстрому забиванию, хотя некоторые производители рекомендуют использовать стандартные настройки краскопульта - в таком случае верить нужно инструкции. Благо некоторые российские дилеры не только инструкции переводят, но и снимают на эту тему видео.

Резиновая краска обладает неплохой кроющей способностью, но обойтись одним слоем не получится: напылять этот материал нужно тонкими слоями, не давая предыдущему уровню подсыхать сильно (5-15 минут промежуточной сушки). Если цвет подложки совпадает с цветом, выбранным для покраски автомобиля, можно обойтись 2-3 слоями, перекрытие белой подложки любым другим цветом и перекрытие со значительным несовпадением цвета может потребовать до 5 слоев. Соответственно количеству слоев растет общий расход.

Расход материалов и уход за поверхностью

Полное отвердение наступает спустя 10-16 часов. После этого поверхности не страшны жара и холод (температурные границы от -35°C до 90°C), большинство встречающихся на дорогах агрессивных веществ, влага и мелкий щебень. На весь автомобиль, в зависимости от количества слоев, потребуется 10-15 литров вещества, на каждый диск авто расходуется примерно 1 стандартный баллончик (320 мл), капот требует 2-4 таких же баллонов, бампер - 1-3. Иногда автомобиль после такой покраски покрывают лаком - технология допускает подобную защиту, правда лак подойдет не всякий, ввиду упомянутой выше нестыковки с растворителями.

Уход за автомобилем с подобным ЛКП немного специфичен. Из-за упругости небольшое механическое воздействие резиновой краске не страшно, но даже бензин или солярка могут просто смыть его с автомобиля. К облезанию приводит минимальный контакт, например на заправке. Также не рекомендована мойка с применением средств, содержащих растворители.

Подробная инструкция:

. Подготовить краскопульт. Для работы с жидкой резиной Color Dip подойдет любой, имеющийся у вас, краскопульт: кислородный, компрессорный или электрический. Сопло должно быть 1.5-1.8 мм.

. Вооружитесь спецодеждой и респиратором. Ни в коем случае не забывайте о респираторе! Работа с любой краской в замкнутом помещении без респиратора опасна для здоровья.

Подготовка автомобиля к покраске:

. Вымыть автомобиль, после чего его следует вытереть насухо и обезжирить (протереть весь автомобиль тряпкой, смоченной в сольвенте). Открытые участки с ржавчиной (если такие имеются) нужно очистить с помощью преобразователя ржавчины

. Снимите с автомобиля дверные ручки (если это возможно) и молдинги.

. Заклейте участки автомобиля, которые вы не собираетесь красить, скотчем (стекла, например).

Приготовление краски:

. Подогреть жидкую резину до температуры 50°. Благодаря этому её будет легче смешать с растворителем.

. Смешать банку резиновой жидкости (4 л) с растворителем (6 л) (Пропорция 1 к 1.5). Желательно использовать оригинальные растворители от производителя, но если таковых в зоне досягаемости нет, используйте «Сольвент Нефрас».

. Тщательно смешивайте получившуюся краску, до момента, пока резиновая жидкость с растворителем не станут однородными. Лучше всего смешивать краску при помощи дрели-миксера.

Покрасить автомобиль жидкой резиной

Здесь необходимо сделать небольшое уточнение. Если нужно покрасить машину в blaze цвет, то надо сделать подложку из резиновой краски белого цвета.

То есть, следуя инструкции, подготовить не только нужную краску, но еще и белую; нанесить на кузов автомобиля несколько слоев получившейся белой краски, чтобы перекрыть предыдущий цвет. Но это уточнение касается лишь тех случаев, когда нужно перекрасить автомобиль из темного или черного цвета в светлый и яркий.

Инструкция

. Нанести на корпус автомобиля тонкий слой краски. Выдержать 15 минут, чтобы краска обсохла.

. Нанесите второй слой краски, на этот раз толще предыдущего. Подождите 15 минут.

. Повторите пункт 2 несколько раз. Оптимальное количество слоев - 5.

. Выдержать 12 часов, пока краска окрепнет.

Будьте осторожны!

Краска Dip, нанесенная на автомобиль, крайне негативно сочетается со следующими реагентами:

• Битум;

• Уайт спирит;

• Ацетон;

• Бензин.

Небольшие царапины на покрытии сами затягиваются после нескольких автомоек. Если повреждение более серьезное, то всегда нужно закрасить поврежденное место без покраски детали целиком.

Выводы

На сегодняшний день жидкая резина для автомобиля является новым продуктом на рынке, который привлекает много внимания благодаря целому набору инновационных характеристик. Жидкая резина для автомобиля на данном этапе становится альтернативой покраски! Итоговое покрытие обладает хорошей стойкостью к мелким механическим повреждениям, а также не трескается в экстремальных погодных условиях. Полученное в результате покрытие защитит автомобиль от влаги, ультрафиолета, истирания, скольжения, кислот, коррозии и даже от мелких механических повреждений и что самое главное придаст автомобилю эксклюзивности и привлекательности, что дает конкурентные преимущества перед аналогами. Именно поэтому многие автомобилисты предпочли жидкую резину.

2. Технологический раздел

Выбор и обоснование технологического оборудования и инструмента для обеспечения выполнения разрабатываемой услуги по модификации (тюнингу) транспортного средства.

Наименование

Модель

Производитель

Параметры

Кол-во, шт.

Цена, руб.

Защитная экипировка






1. Комбинезон для малярных работ многоразовый

50425

компания 3М

Особенность «Дышащая» спинка Цвет Серый

1 шт

1197.00 руб

2. Защитные перчатки с полиуретановым покрытием

63512

компания 3М

Цвет Серый Покрытие Полиуретан

150.0 руб

3. Респиратор-полумаска

6200

компания 3М

Цвет Серый Тип Полумаска

1 шт

679.00 руб

Материалы для подготовки к покраске






1. Обезжириватель кузова автомобиля

ОБП

Cleanol

бесконтактное средство для обезжиривания кузова автомобиля и удаления с поверхности кузова следов битума и других видов загрязнений. Безопасен для лакокрасочного покрытия, резины и пластика. Можно использовать в концентрации 1:1 Фасовка Канистра 3 л.

1 шт

515.0 руб

Доп. Материалы для подготовки к покраске






1. Малярная маскирующая лента Scotch-Blue

2090-48E

компания 3М

Особенность Для большинства поверхностей Цвет синий

5 рулонов

1,570.00 руб

2. Салфетка протирочная из искусственной замши

Scotch-Brite 1100

компания 3М

Цвет Бежевый Плотность, г/куб. см (А/В) 200 г./м2 Толщина, мм 1.3 Поглощающая способность (после стекания капель) 4,5 - кратный собственный сухой вес Усадка после 5 циклов стирки при 60°C до 25% от исходного размера

2 шт

834.0 руб

3. Салфетка высокопрочная для обезжиривания


 C.A.R. FIT

Благодаря высокой поглощающей способности могут впитать загрязнений в 8 раз больше своего веса. Одновременно прочные и мягкие. Плотность 75 гр/м2

10 шт

130.0 руб

Оборудование для хранения инструментов, приспособлений:






1. Шкаф для хранения производственного инвентаря и оснастки

КД-01-И

Еврооснащение

Габаритные размеры 1900 x 1000 x 500 мм, вес 53,4 кг, Комплектация: Экран и 2 Полки.

1 шт

9800.0 руб

Оборудование для покраски






1. Краскопульт

W550

Wagner

Мощность: 280 W Макс. производительность: 0-130 г./мин. Макс. объем бачка: 800 мл Вязкость материала: 90 DIN-сек Вес 650.0 гр

1 шт

4890.00 руб

Материалы для покраски






1. Жидкая резина

Rubber Dip

PLASTI DIP International

Rubber Dip может быть легко нанесено с помощью спрея, кисти или краскопульта. Защищает от влаги, кислот, коррозии, проскальзыванию и обеспечивает комфортное сцепление поверхности. Остается гибким, эластичным и не становится хрупким, не появляются трещины на покрытии даже в экстремальных температурах: -35 C до +95 С. доступно в формовках 1 Gal (3.78 литра), 5 Gal (19 литров)

2 шт

9000.0 руб

2. Растворитель

Thinner f-740

PLASTI DIP International

Предназначен для разбавления густой резины перед заливкой в краскопульт. Оригинальный растворитель и только он, позволяет достигнуть заявленных физико-химических свойств покрытия после нанесения. Растворитель доступен в формовке 3.78 литра.

2 шт

6000.0 руб



Маршрутная технологическая карта модификации кузова путем нанесения защитного покрытия на автомобиль марки Toyota Supra, с целью изменения его защитных и эстетических свойств.

Общая трудоемкость 1940 (чел. - мин)

№ оп

Наименование операций и содержание работ

Место выполнения операций

Исполнитель

Трудоем-кость чел.-мин.

Приборы, инструменты, приспособления (модель, тип, код, фирма)

Технические требования и указания

00

Мойка. Вымыть и обезжирить автомобиль

Мойщик

35

Аппарат высокого давления Karcher HD 5/15 C автошампунь, протирочная салфетка

Не допускать повреждения лакокрасочного покрытия, вытереть автомобиль насухо, после чего обезжирить

05

Перемещение. Перегнать автомобиль на арматурный пост

арматурный пост

Мастер- приёмщик

5

Своим ходом

Не допускать повреждения и загрязнения автомобиля

10

Разборка. Открепить и снять ручки левой двери

арматурный пост

Мастер по покраске автомобилей

10

Ключ комбинированный 13 ГОСТ 16983-80, отвёртка крестовая 250 №2 ГОСТ 17199-98

Действие проводить аккуратно, не допустить повреждения лакокрасочного покрытия

15

Разборка. Повторить операцию 10 на правой двери

арматурный пост

Мастер по покраске автомобилей

10

Ключ комбинированный 13 ГОСТ 16983-80, отвёртка крестовая 250 №2 ГОСТ 17199-98

Действие проводить аккуратно, не допустить повреждения лакокрасочного покрытия

20

Перемещение. Перегнать автомобиль в окрасочно-сушильная камеру

окрасочно-сушильная камера

Мастер по покраске автомобилей

5

Своим ходом

Не допускать повреждения и загрязнения автомобиля

 25 

Оклейка. Заклеить участки автомобиля, которые не требуют покраски, скотчем

окрасочно-сушильная камера

Мастер по покраске автомобилей

30

Малярная маскирующая лента Scotch-Blue Модель 2090-48E компания 3М Размер 48 мм х 55 м

Не допускать открытых мест тех поверхностей, которые не подлежат покраске

30

Подготовительная. Подготовить краскопульт и жидкую резину к покраске  

окрасочно-сушильная камера

Мастер по покраске автомобилей

30

Краскопульт Модель W550 Про-ль Wagner, Жидкая резина Модель Rubber Dip, Растворитель Thinner f-740, про-ль PLASTI DIP International

1. Подогреть жидкую резину до температуры 50°. 2. Банку резиновой жидкости (3.8 л) смешать с растворителем (3.8) в пропорции 1 к 1. 3. Смешивать получившуюся краску, до момента, пока резиновая жидкость с растворителем не станут однородными. 4. Открыть дюзу краскопульта на 2.0 и больше.

35

Малярная покраска. Нанести слой покрытия

окрасочно-сушильная камера

Мастер по покраске автомобилей

20

Краскопульт Модель W550 Про-ль Wagner, Жидкая резина Модель Rubber Dip, Растворитель Thinner f-740, про-ль PLASTI DIP International

1. Наносить быстрыми и плавными движениями 2. В начале / в конце распыления отводить руку в сторону от окрашиваемой поверхности и в конце отпускать курок.

40

Выдержка. Подождать, чтобы краска обсохла

окрасочно-сушильная камера

Мастер по покраске автомобилей

15

Самостоятельная сушка без какого либо доп. оборудования

Не допускать повышения температуры воздуха или кузова (детали) автомобиля.

45

Повторить операции 40 и 45 4 раза

окрасочно-сушильная камера

Мастер по покраске автомобилей

140

Краскопульт Модель W550 Про-ль Wagner, Жидкая резина Модель Rubber Dip, Растворитель Thinner f-740, про-ль PLASTI DIP International. Самостоятельная сушка без какого либо доп. оборудования

1. Наносить быстрыми и плавными движениями 2. В начале / в конце распыления отводить руку в сторону от окрашиваемой поверхности и в конце отпускать курок 3. Не допускать повышения температуры воздуха или кузова (детали) автомобиля.

50

Окончательная выдержка. Подождать пока краска окрепнет

окрасочно-сушильная камера

900

Самостоятельная сушка без какого либо доп. оборудования

Не допускать повышения температуры воздуха или кузова (детали) автомобиля.

55

Перемещение. Перегнать автомобиль на арматурный пост

арматурный пост

Мастер по покраске автомобилей

5

Своим ходом

Не допускать повреждения и загрязнения автомобиля

60

Сборка. Установить и закрепить ручку левой двери

арматурный пост

Мастер по покраске автомобилей

10

Ключ комбинированный 13 ГОСТ 16983-80, отвёртка крестовая 250 №2 ГОСТ 17199-98

Действие проводить аккуратно, не допустить повреждения покрытия

65

Повторить операцию 60 на правой двери

арматурный пост

Мастер по покраске автомобилей

10

Ключ комбинированный 13 ГОСТ 16983-80, отвёртка крестовая 250 №2 ГОСТ 17199-98

Действие проводить аккуратно, не допустить повреждения покрытия

70

Контроль. Осмотреть автомобиль на отсутствие дефектов покрытия

арматурный пост

Мастер по покраске автомобилей, Мастер- приёмщик

10

Самостоятельный осмотр

Тщательно осмотреть все зазоры автомобиля

75

Перемещение. Перегнать автомобиль на участок приема-выдачи

Участок приема-выдачи

Мастер- приёмщик

5

Своим ходом

Не допускать повреждения и загрязнения автомобиля



100% контроль на каждой операции осуществляет исполнитель.

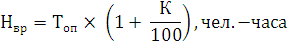
Расчёт норм времени на одну из операций.

Операция №25 - Подготовительная.

Подготовить краскопульт и жидкую резину к покраске


где:

Топ - оперативное время на операцию, чел.-час.; (берётся из технологической карты).

К - сумма времени на обслуживание рабочего места, подготовительно-заключительные работы, отдых и личные потребности в процентах от оперативного времени.

= 34 чел.-часа

Разработка операционной технологической карты на рассчитанную операцию

ОПЕРАЦИОННАЯ ТЕХНОЛОГИЧЕСКАЯ КАРТА

Операция №25 - Подготовительная.

Подготовить краскопульт и жидкую резину к покраске

Исполнитель - мастер по покраске автомобиля

Наименование перехода

Технические требования и указания

Приборы, инструмент, приспособления

Норма времени, чел.*мин

1

Открыть дюзу краскопульта на 2.0 и больше

Не открывать дюзу краскопульта меньше чем 2.0

Вручную

2

2

Подогреть жидкую резину до температуры 50°

Подготовить бадьюс горячей водой Не подогревать жидкую резину выше / ниже 50°

Вручную, бадья с горячей водой термометр

10

3

Банку резиновой жидкости смешать с растворителем

Смешивать в строгой пропорции 1 к 1. Смешивать получившуюся краску, до момента, пока резиновая жидкость с растворителем не станут однородными.

18

Общее время

30

.6 Анализ эффективности оказанной услуги

После нанесения на покрытие автомобиля защитного слоя жидкой резины, поверхность стала более защищенной от воздействия факторов агрессивной внешней среды (таких как камни, коррозия, пыль, грязь и т.д.). Кроме того автомобиль выглядит более привлекательно что повышает его эстетические свойства и соответственно конечную стоимость.

делать вывод, что характеристики автомобиля улучшились после проведения услуги по модификации (тюнингу) транспортного средства.

3. Экономическая часть

Расчёт стоимости услуги

Цена услуги для клиента определяется соотношением


где:

цена выполнения работ по оказанию услуги; определяется произведением нормы времени на выполнение работ по оказанию услуги (чел.-час) и цены одного нормо-часа - Ц (руб./чел.-час), принятой в СЦ (в курсовой работе принимается среднестатистическая по региону, в дипломном проекте - рассчитывается),

 - расходы на приобретение материалов и запасных частей используемых при оказании услуги, руб.

Расходы на приобретение материалов и запасных частей используемых при оказании услуги:

1.      Обезжириватель кузова автомобиля - 515 руб.

.        Малярная маскирующая лента Scotch-Blue - 1570 руб.

.        Салфетка протирочная из искусственной замши - 834 руб.

.        Салфетка высокопрочная для обезжиривания-130 руб.

.        Жидкая резина - 9000 руб.

.        Растворитель - 6000 руб.

Итого: 18049 руб.

Д= 34 чел.-час х300 руб./чел.-час + 18049 руб.=28555 руб.

Ранжирование услуги

В случае несогласия, цена услуги будет корректироваться с учётом требований заказчика за счёт изменения объёма услуги, технологии выполнения работ, использования тюнинговых изделий других фирм-производителей и расходных материалов - заменителей. Рассчитываются альтернативные варианты разработанной услуги и представляются на выбор и утверждение клиента.

.        Покраска отдельных элементов кузова: 1 элемент - 1000 руб. без учета затрат на материал

.        Использование материалов-аналогов другого производителя: colordip Жидкая резина - 7500 руб. Растворитель - 4000 руб.

.        Уменьшение количества слоев покрытия

Вывод:

Затраты на тюнинг автомобиля, согласованные с заказчиком, составят 28555 руб.

Стоимость данного вида защиты!

Стоимость защиты всего легкового автомобиля начинается от 35000 рублей, что в 2 раза дешевле, чем покраска! В эту стоимость уже включены: подготовка, материалы и работа. Единственное, что может вызвать доп. затраты - это повреждения геометрии элементов (вмятины), если клиент захочет их устранить перед началом работы.

4. Безопасность предоставления услуги

Правила техники безопасности при малярных работах.

Из-за каждодневного постоянного контакта с разными химическими соединениями, которые, в большинстве своем, являются опасными для здоровья человека, работа в автомастерской требует от маляра глубоких знаний в области техники безопасности труда, специфики различных продуктов и соблюдения процедур, задача которых заключается в охране здоровья. Опасность. Как показывают исследования, большинство несчастных случаев во время проведения лакокрасочных работ в автомастерской вызвано человеческим фактором: мелкие недосмотры, ненадлежащее обращение с лакокрасочными продуктами, или хотя бы грязь на рабочем месте - все это может стать причиной возникновения опасности для здоровья и жизни маляра. Источники опасности в окрасочном производстве можно разделить на три фактора:

пожар;

взрыв;

реактивность.

Говоря о мерах противопожарной безопасности, следует обратить внимание на то, отвечают ли электрические устройства, используемые в автомастерской, требованиям норм ПУЭ и регулярно ли проводятся их техосмотры. Весь применяемый в автомастерской инструмент должен быть изготовлен из неискрящего материала. Это требование особенно важно при использовании легковозгораемых материалов с низкой температурой самовоспламенения, какой характеризуется лакокрасочные материалы. Большинство из этих материалов дополнительно обладают способностью накапливать электростатические заряды, поэтому следует применять одежду и обувь, сделанную из антистатических материалов, а также убедиться в том, что пол помещения изготовлен из токопроводящих материалов. Владелец или руководитель автомастерской должен обеспечить всем сотрудникам обучение на тему противопожарной безопасности. Лакокрасочные материалы, из-за своих характеристик, могут являться источником взрыва. Пары многих из них тяжелее воздуха, могут накапливаться у пола и вместе с воздухом образовывать взрывоопасную смесь. Надлежащая и исправная вентиляция помещений и окрасочных постов поможет предохранить от образования особенно высоких концентраций паров. Причиной взрыва может являться также и неправильное складирование. Взрыв может вызвать длительное воздействие на емкости с ЛВЖ (легко воспламеняющиеся жидкости) высокой температуры (например, хранение в незатемненном помещении). Реактивность связана со смешиванием одного продукта с другим, смешивание с которым не рекомендуется производителем лакокрасочной продукции. Такое действие может быть связанно с желанием получить мнимую экономию, например, путем применения недорогих субстанций для затвердения или растворения. Это может вызвать непредвиденные химические реакции, не только меняющие свойства продукта, но и опасные для здоровья маляра. Гарантия безопасности обеспечивается только в случае употребления тех продуктов, которые предусмотрены и указаны в технических картах разработчика продуктов. Поэтому необходимо внимательно читать этикетки и карты безопасности продукта, которые поставщик обязан прилагать. Карта безопасности продукта содержит основную информацию о его составляющих физико-химических и токсических свойствах, потенциальной опасности для людей при неправильном использовании; в ней описываются действия по оказанию первой помощи; она информирует о допустимых средствах пожаротушения, личной защиты, о рекомендациях по транспортированию и хранению, поведению с отходами. В этой карте также подробно описаны предупреждающие обозначения. Индивидуальная защита. Наибольшую опасность для здоровья маляра представляет несоответствующее обращение с продуктами, с которыми маляры имеют дело каждый день: они могут вызывать отравление и вызывать серьезные изменения в человеческом организме. Очень часто это вызвано тем, что маляры не отдают себе отчета о степени опасности, которой они подвергаются, игнорируя нормы и правила техники безопасности. Процесс ремонтной окраски автомобилей на каждом этапе связан с с выделением пыли или паров (летучих органических соединений). Человек подвергается опасности проникновения вредных веществ через глаза, пищевод, дыхательные пути и кожу. К наиболее опасным химическим соединениям относятся изоцианаты. Они присутствуют в двухкомпонентных лакокрасочных материалах. Их широко применяют в процессе восстановительной (ремонтной) покраски из-за отличных качеств: они обеспечивают стойкость краски и придают ей отличный блеск. Изоцианаты реагируют с водой и легко проникают в человеческий организм; могут вызывать раздражения на коже, аллергию, изменения в дыхательных путях и нервной системе. Следует также помнить о том, что не только изоцианаты, но и все пары и пыль представляют опасность для человека. К наиболее характерным признакам отравления относятся: слезотечения, боль в горле, сухой кашель., тошнота, усталость и раздражительность. Поэтому на участке подготовки под окраску, в покрасочной камере и во время чистки инструмента необходимо пользоваться соответствующей одеждой, предохраняющей тело а также обеспечить подачу свежего, чистого воздуха. Безопасность глаз обеспечивают защитные очки, маски, маски со шлемом и подачей свежего воздуха. Дыхательные пути лучше всего защищают респираторы (во время шлифования и полировки). Перчатки и обувь, а также комбинезоны, сводят к минимуму возможность контакта опасных соединений с кожей. Безопасная покраска для окружающей среды. В глобальном плане ремонтная автомобильная промышленность выбрасывает в атмосферу 7% общего выброса опасных летучих органических соединений. Они содержатся в красках, грунтах, разбавителях, смывках, шпатлевках, аэрозолях и являются главным виновником фотохимического загрязнения атмосферы. После проникновения в атмосферу они реагируют, под воздействием солнечного света, с окисью азота в результате чего низко над землей образуется слой озона, который негативно влияет на все живые организмы и растения. Состав отдельных групп летучих органических соединений в выбросах типичной автомастерской выглядит приблизительно следующим образом: - базы и бесцветные лаки - 52%; - грунтовки - 36%; - однокомпонентные краски - 11%; - подготовительные и чистящие средства - 1%. Для того, чтобы уменьшить количество выбросов летучих органических соединений, многие страны и международные организации ввели ограничения на законодательном уровне, требующие от производителей лакокрасочных систем пропагандировать про-экологические решения - такие, как использование водорастворимых красок. Наиболее жесткие нормы по отношению к выбросам вредных веществ в атмосферу действуют в странах ЕС.

Как видно - безопасная покраска - это не только соблюдение правил техники безопасности, но также и работа, направленная на перспективу, результатом которой является стремление к применению водорастворимых лакокрасочных материалов, которые являются безопасными для окружающей среды и для каждого из нас.

Вывод:

Выполнение этих простых требований позволит снизить производственный травматизм при выполнении данного вида тюнинга.



Список источников информации

тюнинг экономический автомобиль технологический

1.   http://www.genon.ru/GetAnswer.aspx? qid=c57140ff-16de-4f86-bec2-5a80d7af9234

2.      http://elhow.ru/tehnika/avto/avtomobilnye-terminy/chto-takoe-tjuning

3.      книга Боровикова А.В. и К «Дооборудование и тюнинг автомобиля и мотоцикла»

.        http://pokraskamashin.ru/tehnologiya-okraski/okrashivanie-avto-rezinoj/#podg

.        https://vk.com/album-52178890_177389938

.        http://autoestetika.ru/pokraska/plasti_dip/?_openstat=ZGlyZWN0LnlhbmRleC5ydTs4MzEyMjM1OzMwNjI3Mjc3NDt5YW5kZXgucnU6cHJlbWl1bQ

.        http://nv-shop.ru/good-info/52954

.        http://www.eosn.ru/oborud/mebel/case/#full

.        http://wagner-hobby.ru/shop/1/comm/w-550-fine-spray-system

.        http://plastidip-russia.ru/rubber-dip-1-gal/

.        http://fb.ru/article/10725/bezopasnaya-pokraska-avtomobilya