Материал: Разработка управленческого решения с использованием метода парных (бинарных) сравнений

Внимание! Если размещение файла нарушает Ваши авторские права, то обязательно сообщите нам

Обращение к этому методу принятия решения случается намного чаще, чем это представляют сами практикующие менеджеры, обращающиеся с этому методу. Например, если пытаться принять решение по возникшей проблеме, которую можно сформулировать так: открывать филиал организации в соседнем городе или нет, то стоит прибегнуть к использованию метода бинарного решения. В таком случае существуют только две альтернативы, и выбор можно осуществить в пользу только одной из них, а точнее необходимо сделать выбор между «да» и «нет».

При возникновении подобной ситуации обращение к бинарному решению не только оправданно, но и объективно естественно. При этом сама процедура принятия решения строится по схеме принятия рационального решения: необходимо осуществить анализ каждой из возможных альтернатив (открывать не открывать) точно так же, как в случае с рациональным решением фиксировать при этом действия, которые необходимо совершить, чтобы открыть филиал, осуществить стоимостную оценку таких действий, выявить возможный доход, а также прибыль и срок окупаемости (выявить временную точку извлечения «чистой прибыли», т.е. превышения отдачи над производимыми инвестициями). Только после осмысления всех этапов можно принять эффективное решение.

К проблеме бинарных решений следует относиться весьма осторожно. Бинарное решение оправданно в случае его объективного характера и неоправданно, если оно представляет собой стремление (осознанное или неосознанное) сузить возможную базу выбора при принятии решения.

Согласно методу парных сравнений решение принимается путем парного анализа имеющихся альтернатив и их дальнейшей статистической обработки.

. Разработка управленческого решения методом парных (бинарных) сравнений на примере Группы Компаний «Окей»

1. ИСХОДНЫЕ ДАННЫЕ

Определение места строительства магазина

Фокус: строительство магазина

Альтернативы: «А», «Б», «В», «Г», «Д», «Е».

Критерии: стоимость аренды земли, наличие подъездных дорог, наличие ж/д станции, наличие станции метро, средний уровень доходов населения, густонаселенность, аналогичные магазины в районе.

. ОПИСАНИЕ ПРОБЛЕМЫ

Необходимо определить место для строительства магазина Группы Компаний «Окей».

Имеются шесть возможных альтернатив принятия решений:

А (А1), Б (А2), В (А3), Г (А4), Д (А5), Е (А6).

Основными критериями при определении места для строительства являются:

¾      стоимость аренды земли;

¾      наличие подъездных дорог;

¾      наличие ж/д станции;

¾      наличие станции метро;

¾      средний уровень доходов населения;

¾      густонаселенность;

¾      аналогичные магазины в районе.

3. ПОСТРОЕНИЕ МАТРИЦ ПАРНЫХ СРАВНЕНИЙ АЛЬТЕРНАТИВ.

Критерий: Стоимость аренды земли


А1

А2

А3

А4

А5

А6

А1

1

1/2

1/3

1/5

2/1

3/1

А2

2/1

1

½

1/4

3/1

4/1

А3

3/1

2/1

1

1/3

4/1

6/1

А4

5/1

4/1

3/1

1

6/1

7/1

А5

1/2

1/3

¼

1/6

1

2/1

А6

1/3

1/3

1/6

1/7

1/2

1


Критерий: Наличие подъездных дорог


А1

А2

А3

А4

А5

А6

А1

1

1/3

1/2

4/1

2/1

3/1

А2

3/1

1

2/1

6/1

4/1

5/1

А3

2/1

1/2

1

4/1

2/1

3/1

А4

1/4

1/6

1/4

1

1/3

1/2

А5

1/2

1/4

1/2

3/1

1

2/1

А6

1/3

1/5

1/3

2/1

1/2

1


Критерий: Наличие ж/д станции


А1

А2

А3

А4

А5

А6

А1

1

3/1

4/1

5/1

7/1

6/1

А2

1/3

1

3/1

3/1

5/1

4/1

А3

1/4

1/3

1

2/1

4/1

3/1

А4

1/4

1/3

½

1

3/1

2/1

А5

1/7

1/4

¼

1/3

1

1/2

А6

1/6

1/4

1/3

1/2

2/1

1


Критерий: Наличие станции метро

А1А2А3А4А5А6







А1

1

1/6

1/5

1/3

1/4

1/2

А2

6/1

1

2/1

4/1

3/1

5/1

А3

5/1

1/2

1

3/1

2/1

4/1

А4

3/1

1/4

1/3

1

1/2

2/1

А5

4/1

1/3

1/2

2/1

1

3/1

А6

2/1

1/5

1/4

1/2

1/3

1


Критерий: Средний уровень доходов населения


А1

А2

А4

А5

А6

А1

1

1/3

¼

1/6

1/7

1/6

А2

3/1

1

½

1/4

1/4

1/4

А3

5/1

2/1

1

1/2

1/3

1/2

А4

6/1

4/1

2/1

1

2/1

1

А5

7/1

5/1

3/1

1/2

1

1/2

А6

6/1

4/1

2/1

1

2/1

1


Критерий: Густонаселенность

А1А2А3А4А5А6







А1

1

2/1

3/1

4/1

5/1

6/1

А2

1/2

1

2/1

3/1

4/1

5/1

А3

1/3

1/2

1

2/1

3/1

4/1

А4

1/4

1/3

1/2

1

2/1

3/1

А5

1/5

1/4

1/3

1/2

1

2/1

А6

1/6

1/5

1/4

1/3

1/2

1


Критерий: Аналогичные магазины в районе


А1

А2

А3

А4

А5

А6

А1

1

3/1

2/1

4/1

1/2

6/1

А2

1/3

1

½

2/1

1/4

4/1

А3

1/2

2/1

1

3/1

1/3

5/1

А4

1/4

1/2

1/3

1

1/5

3/1

А5

2/1

4/1

3/1

5/1

1

7/1

А6

1/6

1/4

1/5

1/3

1/7

1


4. ВЫЧИСЛЕНИЕ СОБСТВЕННЫХ ЗНАЧЕНИЙ МАТРИЦ ПАРНЫХ СРАВНЕНИЙ

Осуществляется по формуле:

V*(i, k) = (wi/w1*wi/w2*wi/w3*…*wi/w6) 1/6, i - строка, k - матрица сравнений

V*(1,1) = (1 х 0,5 х 0,333 х 0,2 х 2 х 3) 1/6 = 0,7647*(2,1) = 1,2009*(3,1) = 1,9064*(4,1) = 3,6889*(5,1) = 0,4903*(6,1) = 0,3313*(1,2) = 1,2599*(2,2) = 2,9938*(3,2) = 1,6984*(4,2) = 0,3467*(5,2) = 0,8492*(6,2) = 0,5302*(1,3) = 3,6889*(2,3) = 1,9786*(3,3) = 1,1225*(4,3) = 0,7647*(5,3) = 0,3256*(6,3) = 0,4903*(1,4) = 0,3340*(2,4) = 2,9938*(3,4) = 1,9786*(4,4) = 0,7937*(5,4) = 1,2599*(6,4) = 0,5054*(1,5) = 0,2534*(2,5) = 0,5154*(3,5) = 0,9701*(4,5) = 2,1398*(5,5) = 1,7239*(6,5) = 2,1398*(1,6) = 2,9938*(2,6) = 1,9786*(3,6) = 1,2599*(4,6) = 0,7937*(5,6) = 0,5054*(6,6) = 0,3340*(1,7) = 2,0396*(2,7) = 0,8327*(3,7) = 1,3077*(4,7) = 0,5407*(5,7) = 3,0717*(6,7) = 0,2711

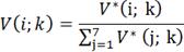
5. НОРМАЛИЗАЦИЯ СОБСТВЕННЫХ ЗНАЧЕНИЙ МАТРИЦЫ

Осуществляется по формуле:


V (1,1) = 0,0912(2,1) = 0,1433(3,1) = 0,2274(4,1) = 0,4401(5,1) = 0,0585(6,1) = 0,0395(1,2) = 0,1641(2,2) = 0,3899(3,2) = 0,2212(4,2) = 0,0452(5,2) = 0,1106(6,2) = 0,0691(1,3) = 0,4407(2,3) = 0,2364(3,3) = 0,1341(4,3) = 0,0914(5,3) = 0,0389(6,3) = 0,0586(1,4) = 0,0425(2,4) = 0,3806(3,4) = 0,2516(4,4) = 0,1009(5,4) = 0,1602(6,4) = 0,0643(1,5) = 0,0327(2,5) = 0,0666(3,5) = 0,1253(4,5) = 0,2764(5,5) = 0,2227(6,5) = 0,2764(1,6) = 0,3806(2,6) = 0,2516(3,6) = 0,1602(4,6) = 0,1009(5,6) = 0,0643(6,6) = 0,0425(1,7) = 0,2529(2,7) = 0,1033(3,7) = 0,1622(4,7) = 0,0671(5,7) = 0,3809(6,7) = 0,0336

6. ОПРЕДЕЛЕНИЕ СОГЛАСОВАННОСТИ МАТРИЦ.

Индекс согласованности определяется по формуле:


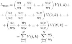
Параметр ??max вычисляется как:

1= 6,2386 C 1 = 0,04772 = 6,1233 C 2 = 0,02473 = 6,2530 C3 = 0,05064 = 6,1256 C4 = 0,02515 = 6,2461 C5 = 0,04926 = 6,1256 C6 = 0,02517 = 6,1523 C7 = 0,0305

Используя значение ИСР, из таблицы для N=6, (1,24) получим:

Для А1 = 0,0912/1,24*100% = 3,8489% < 20%

Для А2 = 1,9885% < 20%

Для А3 = 4,0805% < 20%

Для А4 = 2,0266% < 20%

Для А5 = 3,9692% < 20%

Для А6 = 2,0266% < 20%

Для А7 = 2,4562% < 20%

Расчёты для всех матриц < 20%, что говорит о согласованности матриц.

7. АНАЛИЗ МАТРИЦЫ ПАРНЫХ СРАВНЕНИЙ КРИТЕРИЕВ

Откроются новые магазины


Стоимость аренды земли

Наличие подъездных дорог

Наличие ж/д станции

Наличие станции метро

Средний уровень доходов населения

Густонаселенность

Аналогичные магазины в районе

Стоимость аренды земли

1

4/1

5/1

2/1

3/1

1/3

1/2

Наличие подъездных дорог

¼

1

1/2

1/3

1/2

1/6

1/5

Наличие ж/д станции

1/5

2/1

1

1/4

1/3

1/7

1/6

Наличие станции метро

½

3/1

4/1

1

2/1

1/4

1/3

Средний уровень доходов населения

1/3

2/1

3/1

1/2

1

1/5

1/4

Густонаселенность

3/1

6/1

6/1

4/1

5/1

1

2/1

Аналогичные магазины в районе

2/1

5/1

6/1

3/1

4/1

1/2

1


Далее вычисляем собственные значения С*(i/L) (по принципу V*(i, k)):

С*(1/L) = 1,534

С*(2/L) = 0,354

С*(3/L) = 0,361

С*(4/L) = 1,000

С*(5/L) = 0,652

С*(6/L) = 3,380

С*(7/L) = 2,318

Нормализованные собственные значения (С (i/L)) равны (по принципу V (i, k)):

С (1/L) = 0,160

С (2/L) = 0,037

С (3/L) = 0,038

С (4/L) = 0,104

С (5/L) = 0,068

С (6/L) = 0,352

С (7/L) = 0,242

Не откроются новые магазины


Стоимость аренды земли

Наличие подъездных дорог

Наличие ж/д станции

Наличие станции метро

Средний уровень доходов населения

Густонаселен-ность

Аналогичные магазины в районе

Стоимость аренды земли

1

3/1

2/1

4/1

1/2

6/1

5/1

Наличие подъездных дорог

1/3

1

1/2

2/1

1/4

4/1

3/1

Наличие ж/д станции

½

2/1

1

3/1

1/3

5/1

4/1

Наличие станции метро

¼

1/2

1/3

1

1/5

3/1

2/1

Средний уровень доходов населения

2/1

4/1

3/1

5/1

1

6/1

6/1

Густонаселен-ность

1/6

1/4

1/5

1/3

1/7

1

1/2

Аналогичные магазины в районе

1/5

1/3

1/4

1/2

1/6

2/1

1


Далее вычисляем собственные значения С*(i/L) (по принципу V*(i, k)):

С*(1/L) = 2,318

С*(2/L) = 1,000

С*(3/L) = 1,534

С*(4/L) = 0,652

С*(5/L) = 3,380

С*(6/L) = 0,296

С*(7/L) = 0,431

Нормализованные собственные значения (С (i/L)) равны (по принципу V (i, k)):

С (1/L) = 0,241

С (2/L) = 0,104

С (3/L) = 0,160

С (4/L) = 0,068

С (5/L) = 0,352

С (6/L) = 0,031

С (7/L) = 0,045

8. ВЫЧИСЛЕНИЯ ВЕСА КАЖДОЙ АЛЬТЕРНАТИВЫ

Откроются новые магазины

W (Ai/L) = V (i, 1)* С (1/L)+ V (i, 2)* С (2/L)+ V (i, 3)* С (3/L), i = 1,2,3…

W (A1/L) = 0,239(A2/L) = 0,204(A3/L) = 0,180(A4/L) = 0,156

W (A5/L) = 0,161(A6/L) = 0,060

В том случае, если откроются новые анологичные магазины, то лучшим местом для строительства является А (А1).

Далее по убыванию: Б (А2), В (А3), Д (А5), Г (А4), Е (А6).

Не откроются новые магазины

W (Ai/L) = V (i, 1)* С (1/L)+ V (i, 2)* С (2/L)+ V (i, 3)* С (3/L) + V (i, 4)* С (4/L), i = 1,2,3,4…


W (A1/L) = 0,147(A2/L) = 0,174(A3/L) = 0,173(A4/L) = 0,236

W (A5/L) = 0,140(A6/L) = 0,130

Если новые анологичные магазины не откроются, то лучшим местом для строительства будет Г (А4).

Далее по убыванию: Б (А2), В (А3), А (А1), Д (А5), Е (А6).

9. ПРИНЯТИЕ ОПТИМАЛЬНОГО РЕШЕНИЯ


Откроются

Не откроются

Итого


А1

0,239

0,147

0,17

16,990

А2

0,204

0,174

0,18

18,180

А3

0,173

0,17

17,441

А4

0,156

0,236

0,22

21,579

А5

0,161

0,140

0,15

14,538

А6

0,060

0,130

0,11

11,272




1,00

100


0,25

0,75




Принимая во внимание природные условия, лучшим местом для строительства магазина является Г (А4).

Далее по убыванию: Б (А2), В (А3), А (А1), Д (А5), Е (А6).

В случае отсутствия информации об открытии магазинов, вероятности принимаются в равном соотношении


Откроются

Не откроются

Итого


А1

0,239

0,147

0,19

19,292

А2

0,204

0,174

0,19

18,915

А3

0,180

0,173

0,18

17,621

А4

0,156

0,236

0,20

19,601

А5

0,161

0,140

0,15

15,069

А6

0,060

0,130

0,10

9,502







0,50

0,50

1,00

100,000


Если информация об открытии магазинов отсутствует, то в этом случае лучшим местом для строительства магазина Группы Компаний «Окей» является Г (А4).

Далее по убыванию: А (А1), Б (А2), В (А3), Д (А5), Е (А6).


Заключение

Разработка управленческих решений является важным процессом, связывающим основные функции управления: планирование, организацию, мотивацию, контроль. Именно решения, принимаемые руководителями любой организации, определяют не только эффективность ее деятельности, но и возможность устойчивого развития, выживаемость в быстро изменяющемся мире. Принятие эффективных решений - одно из наиболее важных условий эффективного существования и развития организации.

Принятие решений затрагивает практически все области человеческой деятельности и есть неотъемлемая часть процесса управления. В рамках теории принятия решений развивались методы получения и анализа не только количественной, но и качественной информации, существенно расширившие возможности общей теории управления. Для принятия эффективного управленческого решения опыта и знаний одного человека оказывается, как правило, недостаточно, современному руководителю необходимо владеть современными технологиями принятия управленческих решения. Современная наука в области принятия управленческих решений поднялась на качественно новый уровень, на ее основе разработаны эффективные управленческие технологии, позволяющие решать сложные управленческие задачи, характерные для современных организаций. Значительную роль сыграло резкое увеличение объема информации, которую приходится учитывать при разработке управленческого решения сегодня, появление современной вычислительной техники с ее воистину удивительными возможностями по оперированию и обработке больших массивов как количественной, так и качественной информации. Созданы современные компьютерные системы поддержки принятия решений, экспертные системы, автоматизированные системы экспертного оценивания, предназначенные для использования в процессе принятия решений и позволяющие принимать эффективные управленческие решения в сложных ситуациях, осуществлять в рамках подготовки к принятию решений значительные объемы экономических, математических, логических расчетов.

В данной работе было разработано управленческое решение методом парных (бинарных) сравнений на примере строительства магазина Группы Компаний «Окей», в результате которого выяснилось: учитывая все критерии и принимая во внимание природные условия, лучшим местом для строительства магазина является Г (А4).


Список использованной литературы

1. Веснин В.Р. Основы менеджмента: Учебник. - М.: Изд-во «Триада. Лтд», 2011.

2. Виханский О.С., Наумов А.И. Менеджмент: человек, стратегия, организация, процесс: 2-е изд.: Учебник. - М.: Фирма «Гардарика», 2010.

3. Гроув С. Эндрю Высоко эффективный менеджмент. Москва, 2011.

4. Лебедев О.Т. Основы менеджмента. Санкт-Петербург ИД «МиМ», 2013.

5. Любимова Н.Г. Менеджмент - путь к успеху. Москва, 2011.

6. Менеджмент организации. / Под редакцией З.П. Румянцевой. Москва, 2012.

7. Рейльян Я.Р. Аналитическая основа принятия управленческих решений. М.: 2010.

8. Фатхутдинов Р.А. Разработка управленческого решения. Москва: «Интел-синтез», 2012.

9. Цыгичко В.Н. Руководителю - о принятии решений. М.: ИНФРА-М, 2012.