Вид анализируемой гетероструктуры представлен на рисунке 2.7. Гетероструктура включает планарный волновод InGaP/GaAs/InGaP для волн накачки и область с модуляцией диэлектрической проницаемости, образованной чередованием воздух - GaAs. Для увеличения локализации разностной моды в нелинейном слое (GaAs) использовалась односторонняя металлизация поверхностей структуры.
Параметры
полупроводниковых материалов и металла брались из работ [11], [12]. В таблице
2.1 приведены типичные значения параметров, использованных при расчетах.
Рисунок 1.9 Исследуемая структура для вывода излучения с поверхности (11-
металл; 7 - GaAs (гофр с воздухом), 9 - GaAs, 8, 10- InGaP; стрелкой указано
направление вывода излучения)
Таблица 1.1 Параметры полупроводниковых материалов и металла(нумерация
согласно рисунку 2.7)
№ слоя
Материал
Толщина слоя, мкм
Тип легирования
Концентрация легирующей примеси
-
воздух
-
-
-
7
GaAs (гофр с воздухом)
d
n
4*1016
8
InGaP
0.6
p
1*1017
9
GaAs
0.6
n
4*1016
10
InGaP
0.6
n
4*1016
11
металл
1
-
-
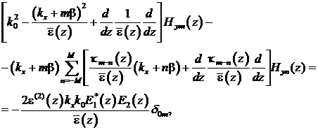
Решение уравнения для ТМ моды, возбуждаемой в исследуемой структуре
(рисунок 2.7), будем искать в виде разложения по 2M + 1 пространственным гармоникам:
здесь
Для
слоя с гофром показателя преломления, параметры которого приведены в [20],
обратную диэлектрическую проницаемость разлагаем в ряд Фурье:
где
После
подстановки разложений поля и обратной диэлектрической проницаемости,
определяемых формулами (2.13) и (2.14), в уравнение (2.1) получаем уравнение:
Откуда,
собирая слагаемые при экспонентах с одинаковыми показателями, получаем систему
из здесь
При
решении системы уравнений (2.15) диэлектрическая проницаемость Система
уравнений (2.15) с заданными граничными условиями сводилась к линейной системе
уравнений для амплитуд встречных волн с Результаты
численных расчетов, полученные описанным выше методом связанных волн,
сравнивались с расчетами методом собственных мод решетки [12]. В отличие от
металлической решетки выбор собственных мод в модулированном диэлектрическом
слое не является однозначным. Это потребовало разработать дополнительный
алгоритм отбора собственных мод, который, однако, не всегда обеспечивал сшивку
полей на границах модулированного слоя. При успешной сшивке оба метода
приводили к аналогичным результатам. Кроме того, в приближении трех связанных
волн система уравнений (2.15) также решалась численно методом конечных
разностей с нулевыми граничными условиями [21], и было получено удовлетворительное
соответствие с результатами расчетов вышеописанными методами.
Зависимость
мощности от длины волны в моделируемой структуре
Мощность
мод накачки полагалась равной 10 Вт [19]. Выходная мощность для поверхностного
вывода излучения рассчитывалась интегрированием компоненты вектора
Умова-Пойтинга, нормальной к соответствующей поверхности, как в работе [20]:
где
В
исследуемой структуре волновод для высокочастотных мод образован слоями
InGaP/GaAs/InGaP толщиной по 0.6 мкм. Толщина гофрированного слоя и период
модуляции показателя преломления оптимизировались для получения максимальной
мощности на определенной длине волны. Параметры структуры были оптимизированы
для получения максимальной мощности на l=13, 16, 19, 20 мкм,
зависимости мощности от длины волны приведены на рисунках 2.8 - 2.11
соответственно.
Рисунок 1.10 - Зависимость мощности нелинейной генерации P от длины волны l для структуры с поверхностным
выводом излучения. Структура оптимизирована для вывода излучения с длиной волны
13 мкм
Рисунок 1.11 - Зависимость мощности нелинейной генерации P от длины волны l для структуры с поверхностным
выводом излучения. Структура оптимизирована для вывода излучения с длиной волны
16 мкм
Рисунок 1.13 - Зависимость мощности нелинейной генерации P от длины волны l для структуры с поверхностным
выводом излучения. Структура оптимизирована для вывода излучения с длиной волны
20 мкм
Для структуры с поверхностным выводом излучения при тех же параметрах накачки
и размерах, что и для аналогичных структур без пространственного гофра
показателя преломления, излучаемая мощность возрастает на порядок и достигает 6
мкВт при длине структуры 500 мкм, что соответствует 0.12 мВт/мм2. В
зависимости мощности от длины волны обнаруживаются широкие области резонансного
возрастания мощности (рисунок 2.9).
Рисунок 1.14 - Зависимость мощности нелинейной генерации P от длины волны l для структуры, параметры которой
оптимизированы для l=36
мкм
Это
позволяет снизить требования к точности изготовления гофра заданного периода.
При использовании перестраиваемых источников это позволяет изменять длину
разностной волны в широких пределах без перестройки волноводной структуры.
Провалы в резонансных пиках (рисунок 2.11) обусловлены отсутствием
излучательных мод в направлениях, отличных от нормали к поверхности. При этом
действительные части проекций волновых векторов в пространстве над поверхностью
структуры Амплитудные
зависимости полей в моделируемой структуре
Как видно из рисунка 2.13, большая часть энергии моды локализуется вблизи
металлической поверхности, поэтому для увеличения эффективности нелинейного
преобразования волновод для мод накачки расположен непосредственно у
поверхности металла. Электромагнитное поле слабо проникает в пространство между
выступами полупроводникового материала, образующего гофр. Зависимость выходной
мощности от толщины гофрированного слоя имеет серию максимумов, положение
которых связано с образованием стоячих волн в выступающих частях гофра.
Приведенный случай соответствует образованию двух стоячих полуволн, а изменение
структуры для получения одной или трех стоячих волн приводит к снижению
выходной мощности на 20-30 %.
Рисунок 1.15 - Пространственное распределение модуля напряженности
магнитного поля. Перпендикулярными к оси z линиями сетки показаны слои
структуры, их нумерация проведена согласно рисунку 2.7.
Электрические
колебания в оптоэлектронном генераторе появляются из шума, который может быть
представлен как суперпозиция синусоидальных колебаний шумового напряжения со
случайными фазами и амплитудами [2], определяемыми с помощью преобразования
Фурье, при этом средние по реализации амплитуды являются постоянными в пределах
некой конкретной реализации шума
где
Предположим,
что интерференция этих колебаний в оптоэлектронном генераторе приводит к
установлению стационарных колебаний с амплитудой Рисунок 1.16 Оптоэлектронный генератор
Комплексная амплитуда напряжения данного сигнала, пройдя одну петлю
обратной связи (n-й раз с момента
рождения данного сигнала) изменяется следующим образом:
где
Будем
считать, что селективными частотными свойствами обладает
СВЧ-фильтр и волоконно-оптическая линия задержки, частотные
характеристики которых не зависят от амплитуды генерируемого сигнала, а
частотной зависимостью СВЧ-усилителя, электрооптического и оптоэлектронного
преобразователя можно пренебречь (это легко достигается в случае, если значения
коэффициента усиления, эффективности оптической модуляции и детектирования
брать на частоте генерации) тогда для передаточной характеристики разомкнутой
петли оптоэлектронного генератора справедливо:
где g(Vosc) - ограничивающий нелинейный
коэффициент для передаточной характеристики разомкнутой петли положительной
обратной связи при сигнале на ее входе, равном амплитуде генерации Vosc;
j(f)
- сдвиг фазы передаточной характеристики разомкнутой петли разомкнутой петли
оптоэлектронного генератора, вносимый всеми ее элементами, за исключением
волоконно-оптической линии задержки;
G(f) - нормированная
амплитудно-частотная характеристика волоконно-оптической линии задержки и
СВЧ-фильтра;
F(f)
- фазово-частотная характеристика волоконно-оптической линии задержки и
СВЧ-фильтра.
Спустя
некоторое, достаточное большое по сравнению с периодом рассматриваемого
сигнала, время в точке 1 (рисунок 3.1) появляются колебания прошедшие Таким
образом, в точке 1 (рисунок 3.1) появляется сумма колебаний вида (3.4):
Для сходимости ряда, составленного из комплексных амплитуд напряжения
необходимо, чтобы выполнялось условие:
которое с физической точки зрения является условием ограниченности
напряжения при наступлении стационарной генерации. При выполнении данного
условия результирующий сигнал дается формулой:
Мощность
генерируемого сигнала (точка 2, рисунок 3.1), на нагрузке с сопротивлением В данном случае амплитудное и фазовое условия генерации имеет вид:
Если
полное усиление по петле оптоэлектронного генератора единично, то это
соответствует случаю стационарных колебаний, значит, решая трансцендентное
уравнение вида Для
расчета спектра заменим мощность шума (порождающего колебания) в
оптоэлектронном генераторе на эквивалентную среднюю по реализации мощность
шума, приведенную ко входу усилителя где
По
определению [32] спектральная плотность мощности где
h - отношение сигнал/шум (размерность [Гц]). В данном
случае общая плотность мощности шума, приведенная ко входу усилителя состоит
[32] из термического шума, дробового шума и шума относительных флуктуаций
интенсивности лазерного излучения,
foffset - частота отстройки от частоты генерации fosc.
Условие ограниченности энергии во всей зависимости спектральной плотности
мощности от частоты представляется в виде:
Считаем,
что СВЧ-фильтр разрешает единственную собственную частоту генерации и подавляет
побочные моды, тогда (3.12) переходит в соотношение следующего вида:
Тогда, окончательно, спектр линии генерации (с размерностью [Вт/Гц])
выражается с помощью следующей формулы:
Уровень побочных мод можно также выразить в [Вт/Гц]:
Для оптоэлектронного СВЧ-генератора на основе узкополосного СВЧ-фильтра с
полосой пропускания на полувысоте Dffilter и центральной частотой f0 и волоконно-оптической линии с общей задержкой t можно записать следующие выражения
для нормированной амплитудно-частотной характеристики разомкнутой петли
оптоэлектронного генератора:
Фазовое условие генерации в данном случае имеет вид:
где fosc - частота генерации.
В случае, если выполняется условие f0t = k (где k - целое
число) и j = 0, то
справедливо fosc
= f0. Если f0t ≠ k и/или
j ≠ 0, но при этом выполняется
1/t << Dffilter, то можно считать, что отстройка
частоты моды от центральной частоты СВЧ-фильтра мала Df =|fosc - f0|<<Dffilter, что выражается следующим
соотношением:
В
этом случае частота генерации лежит вблизи центральной частоты фильтра f0, но примерно равна
собственным частотам линии задержки k/t. Если условие 1/t << Dffilter не выполняется, то нужно использовать фазовращатель, вносящий фазовый
сдвиг jshift, обеспечивающий выполнение условия: Частоты генерации побочных мод fk = fosc+Dfk: определяются соотношением:
Из более подробного анализа рассматриваемого оптоэлектронного генератора
следует, что амплитуда побочных мод возрастает при увеличении сдвига фазы j разомкнутой петли положительной
обратной связи на частоте генерации fosc от нуля до 180° (при 180° вообще существуют две равные моды),
что подтверждает необходимость применения фазовращателя. Увеличение отстройки
центральной частоты СВЧ-фильтра f0
от частоты собственных мод волоконно-оптической линии задержки k/t приводит к аналогичному эффекту.
Амплитудные соотношения
Модуляция мощности оптического излучения для модулятора Маха-Цендера
описывается выражением:
a - вносимые
модулятором потери,
После
фотодетектора с токовой чувствительностью По определению малосигнальное усиление для разомкнутой петли обратной
связи вводится как отношение приращения выходного напряжения к входному при
разомкнутой петле обратной связи:
Наибольшее
по модулю малосигнальное усиление при разомкнутой петле обратной связи сигнал
принимает в случае Частоты собственных мод рассматриваемого оптоэлектронного генератора
представляют собой набор эквидистантных частот (с частотным интервалом в
десятки - сотни килогерц). Можно предположить, что частотная характеристика
фильтра достаточно узкая, для разрешения гармоник центральной частоты фильтра
(в диапазоне десятков - сотен гигагерц). Таким образом, спектр оптоэлектронного
генератора рассматривается в диапазоне отстроек в несколько межмодовых
расстояний от моды частотой, совпадающих с центральной частотой СВЧ фильтра
(несущая - десятки или сотни гигагерц, по частоте совпадает с центральной
частотой СВЧ фильтра, отстройки от нее до частот в несколько мегагерц).
Полагаем, что на управляющем входе модулятора в режиме установившейся генерации
присутствует синусоидальное напряжение, разлагая отклик модулятора в ряд Фурье и
сохраняя одну гармонику (с частотой стационарной генерации), можно значительно
упростить выражение для отклика модулятора.
Для
удобства дальнейшего анализа проведем линеаризацию зависимости (3.22) в виде Амплитуда осцилляций в зависимости от малосигнального усиления
определяется из условия, что коэффициент усиления на амплитуде установившихся в
петле колебаний становится равным единице (рисунок 3.3) как решение
трансцендентного уравнения вида:
Рисунок 1.17 Зависимость полного усиления в генератореот циркулирующего
напряжения
Рисунок 1.18 Зависимость нормированной амплитуды колебанийот
малосигнального усиления
При всей его простоте частотный подход к описанию оптоэлектронных
генераторов обладает существенным ограничением, которое состоит в том, что при
анализе предполагается, что существует стационарная и стабильная генерации. Т.
е. результат моделирования с использованием частотного подхода совпадет с
истинным только в случае, если стационарная генерация возможна.
Следует отметить, что в случае, если какими-либо другими способами
определено, что стабильная работа оптоэлектронного генератора возможна, то
моделирование с использованием частотного подхода обладает неоспоримым
преимуществом, которое состоит в быстроте работы.
Временная
модель для динамического описания работы оптоэлектронного генератора
основывается на существовании трех различных временных (частотных) масштабов
[28], характерных для оптоэлектронного генератора: выходной СВЧ сигнал имеет
частоту в десятки гигагерц, межмодовое расстояние для СВЧ мод имеет порядок
около сотен килогерц, фазовый шум рассматривается на частотах до нескольких
тысяч килогерц.
Рисунок 1.19 - Оптоэлектронный генератор (для иллюстрации временной
модели)
Оптоэлектронный генератор, в общем, представляет собой усилитель с
положительной обратной связью, образованной блоками электрооптического и
оптоэлектронного преобразования, отрезка оптоволокна. Элементом селекции СВЧ
мод является полосовой СВЧ фильтр. Компенсация потерь осуществляется усилителем
(как правило, СВЧ, однако, возможны варианты построения с оптическим усилителем
и без усилителя вовсе).
Источником колебаний является шумы: тепловой, дробовый фотодиода,
относительный шум интенсивности лазерного излучения (данные шумы моделировались
аддитивным белым гауссовым шумом), при этом при рассмотрении фазового шума на
малых отстройках от несущей необходимо принимать во внимание воздействие
фликкер-шума. Однако, в большинстве случаев на исследуемых отстройках от
частоты основной СВЧ-моды ~100 Гц - 100 кГц вклад фликкер-шума в фазовый шум
незначителен.
СВЧ сигнал с наибольшей амплитудой в оптоэлектронном генераторе возможно
вывести из точки перед входом электрооптического преобразователя.
В пределах одной итерации (под итерацией будем понимать обход сигналом
полной петли оптоэлектронного генератора) сигнал на входе электрооптического
преобразователя представляется квазигармоническим с медленно меняющимися
амплитудой и фазой (по сравнению с частотой генерации):
(1.2) где
Здесь
и далее будем полагать, что в случае задержки в отрезке оптического волокна,
длительность последней определяется через длину отрезка l
и групповую скорость света в заданном отрезке В данном случае функцией волоконно-оптической линии задержки является
задержка на время ф, однако при этом электрооптические и оптоэлектронные
преобразования приводят в общем случае к сложной нелинейной зависимости:
где ф - время задержки в волоконно-оптической линии,
gline - комплексная характеристика замкнутой петли
оптоэлектронного генератора.
Оптическое излучение в модуляторе Маха-Цендера подвергается
модуляционному процессу, связанному с управляющим электрическим сигналом через
нелинейную передаточную функцию:
В
передаточную функцию (3.28) подставляют представление сигнала с медленно
меняющимися амплитудами (3.26) и разлагают полученное выражение в ряд Фурье:
При
разработке модели учитывалось, что частотная характеристика полосового фильтра
достаточно узкая для подавления кратных СВЧ гармоник ( Шумы
системе полагались аддитивными и вводились до усилителя и СВЧ фильтра (учет
теплового шума, дробового, относительного шума интенсивности лазерного
излучения - шумов, порожденных вследствие использования лазерного излучения и
оптоэлектронного преобразования [30]) - на рисунке 3.4 условно обозначен как n1. Для данных шумов
характерна спектральная плотность мощности:
где
Также
белый гауссов шум вводился после СВЧ усилителя и фильтра (тепловой шум) - на
рисунке 3.4 условно обозначен как где T - температура оптоэлектронного
генератора.
Эквивалентное
напряжение шума рассчитывается следующим образом: в исследуемой полосе частот B
шум имеет спектральную плотность мощности При
использовании понятия комплексной стандартной нормальной случайной величины
[30] шум моделируется в таком виде:
где
Усилитель
во всем диапазоне значений комплексных амплитуд является линейным и моделируется
одним параметром при
этом напряжение шума рассчитывается в соответствии с (3.34). Следует отметить,
что при компьютерной реализации равномерно распределенные случайные величины
формировались с использованием метода вихря Мерсенна, независимые стандартные
нормально распределенные величины получались с использованием преобразования
Бокса-Мюллера [27].
Предполагается,
что ширина частной характеристики полосового СВЧ фильтра Импульсная характеристика полосового фильтра с лоренцевской формой
частотной характеристики:
где
Для полосового СВЧ фильтра входным сигналом является выходной сигнал от
усилителя. Реакция фильтра на входной сигнал получается в виде свертки
предыдущих значений сигнала с импульсной характеристикой фильтра:
Переход к следующей итерации нужно проводить, пока флуктуации не станут
ниже некоторого порога, примерно равного произведению амплитуды эквивалентного
шумового напряжения в системе на коэффициент усиления усилителя. Данное
утверждение легко доказать, если полагать, что в стационарном случае сигнал
очень слабо меняется на протяжении любого количества итераций. Тогда
воздействием СВЧ фильтра; волоконно-оптической линии задержки; а также
воздействием комбинации блоков электрооптического, оптоэлектронного
преобразования и усилителя на сигнал можно пренебречь. Таким образом, из
воздействий на сигнал остается только добавление усиленного СВЧ усилителем
шума, которое и определяет амплитуду флуктуаций стационарного сигнала.
Алгоритм работы модели
Алгоритм модели работы оптоэлектронного генератора включает в себя две
основных части: в первой из них моделируется «раскачка» и установление
колебаний, что с вычислительной точки зрения является сходимостью итерационной
схемы. Во второй части происходит накопление отсчетов сигнала и последующая
оценка спектральной плотности мощности.
Для получения установившегося режима генерации необходимо:
. Положить первый отсчет комплексной медленноменяющейся амплитуды
огибающей СВЧ колебаний (далее - комплексная амплитуда) равным
нулю, что соответствует состоянию, когда оптоэлектронный генератор выключен.
2. Применить
воздействие модулятора Маха-Цендера и приведенное (к входу оптоволокна)
воздействие фотодиода к текущему отсчету комплексной амплитуды в соответствии с
(3.30).
. Сохранить
отсчет комплексной амплитуды в волоконно-оптической линии задержки и в это же
время получить из нее отсчет комплексной амплитуды, соответствующий
задержанному отсчету сигнала согласно (3.27)
. Добавить
к отчету комплексной амплитуды отсчет шумовой реализации (3.34),
соответствующий шуму перед СВЧ фильтром со спектральной плотностью,
определяемой (3.31), усилить полученную сумму в соответствии с (3.35)
. Провести
свертку предыдущих отсчетов сигнала с импульсным откликом фильтра по формуле
(3.37) и после добавить тепловой шум, определяемый (3.32)
. Добавить
к отчету комплексной амплитуды отсчет шумовой реализации (3.34),
соответствующий шуму после СВЧ фильтра (тепловому) со спектральной плотностью,
определяемой (3.32)
. Пока
флуктуации сигнала не станут меньше некоторого порога, примерно равного
произведению амплитуды эквивалентного шумового напряжения в системе на
коэффициент усиления усилителя, переходить к пункту 2.
После для получения оценки фазового шума необходимо сохранять
определенное количество отсчетов амплитуды. Таким образом, необходимо, не меняя
состояния модели, повторять пункты 2 - 7 - 2 - 7 -…, при этом нужно сохранять
отсчеты комплексной амплитуды после каждого 6-го пункта. Далее к накопленным
отсчетам применяют преобразования периодограммный метод для получения фазового
шума или СВЧ спектра.
На
основе приведенного алгоритма строится дискретная итерационная модель работы
оптоэлектронного генератора. В отличие от работы [28] или [29], где
итерационный процесс строился на основе рассмотрения воздействий на вектор из
отсчетов комплексных амплитуд, в разработанной модели рассматривается один
отсчет, отстоящий от соседних отсчетов во времени на Временной
подход к описанию оптоэлектронного генератора был реализован в виде
компьютерной итерационной модели. При помощи временного подхода возможно также
и динамическое описание работы оптоэлектронного генератора.
В оптоэлектронном генераторе с одной петлей обратной связи для спектра
характерна предельно узкая линия осциллирующей моды (со спектральной шириной от
единиц герц до ~10-4 Гц) и присутствие набора побочных мод вблизи центральной
осциллирующей моды, которые из-за плавного спада частотной характеристики
полосового СВЧ фильтра оказываются не до конца подавленными (рисунок 3.5).
Рисунок 1.20 - Спектр оптоэлектронного генератора с базовой конструкцией
Фазовый шум оптоэлектронного генератора спадает квадратично (рисунок 3.6)
при увеличении длительности задержки в волоконно-оптической петле обратной
связи. И в случае, когда длительность задержки в петле обратной связи больше
величины, обратной полосе пропускания СВЧ-фильтра, слабо зависит от ширины
данной полосы.
Также следует отметить, что расстояние между собственными модами
оптоэлектронного генератора уменьшается обратно пропорционально увеличению
длительности задержки в петле обратной связи, и, соответственно, уровень
побочных мод сильно зависит от ширины полосы пропускания полосового СВЧ-фильтра
(рисунок 3.7). Также наблюдается возрастающая с возрастанием длительности
задержки в петле обратной связи зависимость уровня побочных мод.
Рисунок 1.21 - Зависимость фазового шума оптоэлектронного генератора от
длительности задержки в петле обратной связи и ширины полосы пропускания
СВЧ-фильтра
Путем моделирования работы базовой схемы оптоэлектронного генератора
установлено, что фазовый шум от частоты генерации независим при использовании
оптоэлектронных компонентов с соответствующим рабочим частотным диапазоном,
квадратичное снижение фазового шума с увеличением длины волоконно-оптической
линии обратной связи, показана возможность использования стандартной элементной
базы волоконно-оптических систем связи.
В качестве наиболее простого варианта решения проблемы селекции мод при
генерации в миллиметровом диапазоне рассмотрим оптоэлектронный генератор с
СВЧ-оптоэлектронным сигнальным процессором с двумя волоконно-оптическими
плечами обратной связи (рисунок 3.8).
В данном оптоэлектронном генераторе есть два частотно-избирательных
элемента - СВЧ-полосовой фильтр и СВЧ-оптоэлектронный сигнальный процессор с
двумя волоконно-оптическими плечами. Спектральная плотность мощности данного
оптоэлектронного генератора нелинейно зависит от произведения
амплитудно-частотной характеристики разомкнутой петли оптоэлектронного
генератора и спектра аналогичного генератора, но без всех частотно-селективных
элементов. Амплитудно-частотная характеристика разомкнутой петли
оптоэлектронного генератора пропорциональна произведению амплитудно-частотных
характеристик СВЧ-фильтра и СВЧ-оптоэлектронного сигнального процессора с двумя
волоконно-оптическими плечами. Амплитудно-частотная характеристика СВЧ-фильтра
представляет собой апериодическую колоколообразную зависимость с максимумом на
центральной частоте фильтра. Амплитудно-частотная характеристика
СВЧ-оптоэлектронного сигнального процессора с двумя волоконно-оптическими
плечами представляет собой периодическую зависимость с периодом равным
величине, обратной разности длительностей задержки в плечах сигнального
процессора.
Рисунок 1.22 - Зависимость уровня побочных мод оптоэлектронногогенератора
от длительности задержки в петле обратной связи и шириныполосы пропускания
СВЧ-фильтра
Рисунок 1.23 Оптоэлектронный генератор с СВЧ-оптоэлектронным сигнальным
процессором с двумя волоконно-оптическими плечами СВЧ-оптоэлектронный
сигнальный процессор обведен штриховым прямоугольником
Только те моды генератора, определяемые длительностью задержки в основном
отрезке оптического волокна, могут существовать в процессе генерации, для
которых амплитудно-частотная характеристика разомкнутой петли оптоэлектронного
генератора больше единицы (Рисунок 3.9).
Рисунок 1.24 - Иллюстрация принципа подавления побочных мод
воптоэлектронном генераторе с СВЧ-оптоэлектронным процессором
Прореживание «гребенки» мод оптоэлектронного генератора снижает
требования к добротности полосового фильтра с полосой пропускания в разы -
десятки раз большей, нежели при использовании оптоэлектронного генератора с
одной петлей обратной связи. Параметры оптоэлектронного генератора с
оптоэлектронным процессором в петле обратной связи указаны в таблице 3.1,
спектр показан на рисунке 3.10.
Рисунок 1.25 - Спектр оптоэлектронного генератора с СВЧ-оптоэлектронным
процессором в петле обратной связи (полулогарифмический масштаб)
Для оптоэлектронного генератора с СВЧ-оптоэлектронным с сигнальным
процессором с тремя волоконно-оптическими плечами (рисунок 3.11) характерна
дополнительная частотная селективность из-за существования дополнительного
волоконно-оптического плеча (рисунок 3.11). Такая конфигурация оптоэлектронного
генератора позволяет еще больше снизить требования добротности по отношению к
полосовому СВЧ-фильтру.
Наиболее простым динамическим режимом для оптоэлектронного генератора
является процесс установления стационарных колебаний из шума. Для его
иллюстрации удобно рассматривать отношение амплитуд сигнала на проходах им
оптоэлектронного генератора к средней стационарной амплитуде. На рисунке 3.11
представлена зависимость относительных флуктуаций сигнала для оптоэлектронного
генератора с длительностью задержки в оптоэлектронной петле обратной связи 0.28
мкс.
Таблица 1.2 Параметры оптоэлектронного генератора с
СВЧ-оптоэлектронным процессором в петле обратной связи
Оптическое волокно и СВЧ-фильтр
ф
9*10-7[с]
Длительность задержки в первом отрезке оптического волокна
Дф
4*10-8[с]
Длительность задержки в втором (дополнительном) отрезке
оптического волокна
k
0.5
Отношение разделения волоконно-оптического разветвителя
G
500*106[с]
Ширина частотной характеристики фильтра на полувысоте
Оптический модулятор интенсивности
б
-4.01 [дБ]
Вносимые потери
e
30 [дБ]
Контрастность модулятора
Vp
3.14 [В]
Полуволновое напряжение модулятора
VB
3.14 [В]
Напряжение смещения модулятора
Фотодетектор
r
0.8 [А/Вт]
Чувствительность фотодетектора
R
50 [Ом]
Импеданс усилителя 20
Коэффициент усиления усилителя
Малосигнальное усиление генератора с разомкнутой петлей
обратной связи
Gs
1.5
Шум
NF
2
Шум фактор
RIN
-160 [дБ]
Относительные флуктуации интенсивности
T
290 [К]
Температура генератора
Рисунок 1.26 - Волоконно-оптическая линия обратной связи с сигнальным
процессором с тремя волоконно-оптическими плечами
Рисунок 1.27 - Спектр оптоэлектронного генератора с сигнальным процессором
с тремя волоконно-оптическими плечами
Рисунок 1.28 - Зависимость относительных флуктуаций сигнала для
оптоэлектронного генератора с длительностью задержки в оптоэлектронной петле
обратной связи 0.28 мкс
При достаточно высоком малосигнальном усилении в оптоэлектронном
генераторе возможна нестабильная генерации, аналогичная конкуренции мод в
лазерах. В процессе моделирования выяснено, что пороговое значение для
малосигнального усиления разомкнутой петли оптоэлектронного генератора
составляет порядка 2.4. В случае Gs=2.5 зависимость модуля амплитуды СВЧ-сигнала от времени
после завершения переходного процесса представлена на рисунке 3.14.
Рисунок 1.29 - Зависимость модуля амплитуды СВЧ-сигнала от времени после
завершения переходного процесса при Gs=2.5
оптоэлектронный генератор связь
В ходе выполнения данной дипломной работы исследованы методы генерации
несущих для широкополосных систем связи, а именно, для атмосферных каналов
связи проанализирована возможность нелинейного преобразования излучения
ближнего инфракрасного диапазона в излучение среднего и дальнего инфракрасного
диапазона. Для оптоволоконных каналов связи рассмотрены методы генерации под
несущей с помощью оптоэлектронных генераторов.
В
рамках дипломной работы развит метод связанных волн применительно к расчету
мощности нелинейной генерации в планарных структурах с областями модулированной
диэлектрической проницаемости. Проведены расчеты структур с выводом излучения
через грань и поверхность. Показано, что при мощности волн накачки 10 Вт
мощность нелинейного преобразования в диапазоне длин волн 11 - 24 мкм может
составлять 0.6 мкВт при торцевом выводе и 0.12 мВт/мм2 при выводе
излучения через поверхность структуры [20].
В
ходе рассмотрения оптоэлектронных генераторов в качестве источников
гармонических СВЧ-сигналов с частотой до 100 ГГц были развиты частотный и
временной подходы применительно к оптоэлектронным генераторам с
СВЧ-оптоэлектронными сигнальными процессорами с несколькими
волоконно-оптическими плечами. Проведенные расчеты и моделирование позволили
получать СВЧ-спектры, спектральные плотности мощности фазового шума,
зависимости амплитуды СВЧ-сигналов от времени [24]. Разработанная временная модель
позволяет также изучать нестабильную генерацию в оптоэлектронном генераторе.
Оптимизация параметров оптоэлектронного генератора позволила получить такой
набор конструктивных параметров, для которого на частоте генерации 60 ГГц
фазовый шум на отстройке в 10 кГц от несущей составил -130 дБн/Гц, а уровень
побочных мод-110 дБн/Гц, при этом добротность СВЧ-фильтра составляла около 100.
Разработанные
в данной дипломной работе конструкции для генерации несущих для широкополосных
систем связи могут найти широкое применение в области связи, радиолокации,
измерительных системах.
По
результатам дипломной работы выполнены пять публикаций [20] - [24], среди
которых статья в рецензируемом журнале [20], доклад на международном семинаре
[21]. Также результаты дипломной работы полностью или частично были
представлены на 67-й, 68-й, 69-й научных конференциях студентов и аспирантов
БГУ, 8-м Белорусско-Российском семинаре «Полупроводниковые лазеры и системы на
их основе» (Минск, 2011), 12-м Белорусско-Литовском семинаре «Микроволновые и
оптоэлектронные системы» (Вильнюс, 2011). Также в 2012 г. подана заявка на
патент «Оптоэлектронный генератор». Исследования в рамках дипломной работы
подержаны грантами Министерства образования Республики Беларусь, Белорусского
государственного университета.
1.Maleki, L. The optoelectronic oscillator / L. Maleki
// Nature Photonics. - 2011. - Vol. 5, № 12. - P. 728-730.
.Pozar, D.M. Microwave engineering / D.M. Pozar. - 3rd
ed. - New York: Willey, 2012. - P.497-523.
3. Зуев, В.Е. Распространение лазерного излучения в атмосфере
/ В.Е. Зуев. - Москва: Радио и связь, 1981. - 288 с.
. Медвед, Д.Б. Влияние погодных условий на беспроводную
оптическую связь / Д.Б. Медвед // Вестник связи. - 2001. - № 4, C. 154 - 157.
5.Lim, C. Fiber-wireless networks and subsystem
technologies / C. Lim, A. Nirmalathas, M. Bakaul, [et. al.] // Lightwave
Technology. - 2010 - Vol. 28, № 4. P. 390-405.
. Алешкин, В.Я. Генерация разностной моды в полупроводниковых
лазерах / В.Я. Алешкин, А.А. Афоненко, Н.Б. Звонков // Физика и техника
полупроводников. - 2001. - Т. 35, № 10. - С. 1256.
. Звонков, Б.Н. Генерация излучения разностной частоты в
двухчиповом лазере / Б.Н. Звонков, А.А. Бирюков, С.М. Некоркин [и др.] //
Физика и техника полупроводников. -2009. - Т. 43, № 2. - С. 220.
8. Belkin, M.A. Room temperature terahertz quantum
cascade laser source based on intracavity difference-frequency generation /
M.A. Belkin, F. Capasso, F. Xie // Applied Physics Letters. - 2008. - Vol. 92,
№ 20. - P. 201101.
. Rochat, M. Low-threshold terahertz quantum-cascade
lasers / M. Rochat, L. Ajili, H. Willenberg, [et. al.] // Applied Physics
Letters. - 2002. - Vol. 81, № 8. - P. 1381.
. Faist, J. Recent advansesextend spectral output of
QC lasers / J. Faist // Laser Focus World. - 2008. - Vol. 4. - P. 71.
11. Афоненко, А.А. Нелинейная генерация дальнего
инфракрасного излучения в двухчастотных полупроводниковых лазерах / А.А.
Афоненко, В.Я. Алешкин, А.А. Дубинов // Физика и техника полупроводников.
-2004. - Т. 38, № 2. - С. 244.
. Алешкин, В.Я Нелинейная генерация дальнего инфракрасного
излучения в двухчастотных полупроводниковых лазерах / В.Я. Алешкин, А.А.
Афоненко, А.А. Дубинов // Журнал технической физики. -2004. - Т. 74, № 11. - С.
92.
13. Afonenko, A.A. Parametric generation of a
mid-infrared mode in semiconductor waveguides using a surface diffraction
grating / A.A. Afonenko, V.Ya. Aleshkin, A.A. Dubinov // Semiconductor Science
Technology. - 2005. - Vol. 20. - P. 357.
14. Алешкин, В.Я. Генерация излучения на разностной частоте
среднего и дальнего инфракрасных диапазонов в полупроводниковых волноводах на
основе фосфида галлия / В.Я. Алешкин, А.А. Афоненко, А.А. Дубинов // Журнал
технической физики. -2006. - Т. 76. - С. 98.
15. Clark, T.R. Photonics for RF front ends / T.R.
Clark, R. Waterhouse // Microwave magazine. - 2011. - Vol. 12, № 3. - P. 87-95.
. Berceli, T. Microwave photonics - a historical
perspective / T. Berceli, P. Herczfeld // Microwave Theory and Techniques. -
2010. - Vol. 58, №11-2. - P. 2992-3000.
. Lewis, C. Low phase noise oscillator / C. Lewis //
United States Patent № 6489853. - 2002.
. Yao, X.S. Progress in the opto-electronic oscillator
- a ten year anniversary review / X. S. Yao, L. Maleki, D. Eliyahu // MTT-S
Int. Microwave
Symp. - 2004. - Vol. 1. - P.
287-290.
. Винокуров, Д.А. Мощные полупроводниковые лазеры на основе
асимметричных гетероструктур раздельного ограничения / Д.А. Винокуров, С.А.
Зорина, В.А. Капитонов [и др.] // Физика и техника полупроводников. -2005. - Т.
39, № 3. - С. 388.
.Микитчук, К.Б. Нелинейная генерация разностной частоты
среднего инфракрасного диапазона в волноводах с модулированным профилем
диэлектрической проницаемости / К.Б. Микитчук, А.А. Афоненко // Физика и
техника полупроводников. -2012. - Т. 46, № 1. - С. 121 - 124.
. Микитчук, К.Б. Нелинейная генерация разностной частоты
среднего и дальнего ИК в волноводах с модулированным профилем диэлектрической
проницаемости и поверхностным выводом излучения / К. Б. Микитчук, А.А. Афоненко
// Сборник статей 8-го Белорусско-Российского семинара «Полупроводниковые
лазеры и системы на их основе» (17-20 мая 2011г, Минск) - Минск: ИФ НАН Б,
2011. - С. 42.
.Микитчук, К.Б. Нелинейная генерация разностной частоты в
волноводах с модулированным профилем диэлектрической проницаемости / К.Б.
Микитчук, А.А. Афоненко // Квантовая электроника. Материалы VIII Международной
научн.-техн. конф. (Минск, 22-25 ноября 2010 г.) - Минск: БГУ, 2010. - С. 82.
. Микитчук, К.Б. Численное моделирование процессов
нелинейного преобразования в волноводах с модулированным профилем
диэлектрической проницаемости / К.Б. Микитчук // Материалы 67-й научной
конференции студентов и аспирантов БГУ (17-20 мая 2010 г., Минск) - Минск: БГУ
- С. 148.
. Микитчук, К.Б. Моделирование характеристик оптоэлектронного
генератора // Материалы Республиканской научной конференции студентов и
аспирантов Республики Беларусь «НИРС-2011» (18 октября 2011 г., Минск) - Минск:
БГУ - С. 32.
25.Navid, R. Close-in phase noise in electrical
oscillators / R. Navid, C. Jungemann, T. H. Lee, R. W. Dutton // Proc. SPIE
Symp. Fluctuations and Noise - 2004. Vol. 1.- P.1.
. Ferre-Pikal, E.S. Draft revision of IEEE STD
1139-1988 standard definitions of physical quantities for fundamental frequency
and time metrology - Random instabilities / E.S. Ferre-Pikal, J.R. Vig, J.C.
Camparo, [et al.] // IEEE International Frequency and Control Symposium. -
2002. - 338-357.
.Okusaga, O. Study of dual injection-locked
optoelectronic oscillators / O. Okusaga // Ph. D. thesis, UMI #3408186. - 2010
. Levy, E.C. Modeling optoelectronic oscillators /
E.C. Levy, M. Horowitz, C.R. Menyuk // JOSA B. - 2009. - Vol. 26, №1, p.148 -
158
.Nonlinear dynamics and spectral stability of
optoelectronic microwave oscillators Chembo, Y.K.; Larger, L.; Colet, P.;
Quantum Electronics, v.44, n.9, Sept. 2008, p.858-866.
. Shieh, W. Phase noise of optical interference in
photonic RF systems / W. Shieh, L. Maleki // Photonics Technology Letters. -
1998. - Vol. 10, № 11. - P. 1617-1619.
31.Корн, К. Справочник по математике для инженеров и научных
работников / К. Корн, Г. Корн - 2-е изд. - Москва: Наука, 1973. - 831 с.
32. Microwave photonics Devices and applications /
editor S. Iezekiel -UK:Willey, 2009. - 360 p.
Уравнения
для связанных волн, граничные условия
(2.13)
- амплитуды гармоник магнитного поля,
,
- период гофра.
, (2.14)
- коэффициенты разложения.
(2.15)
дифференциального уравнения, где m-е уравнение
выглядит следующим образом:
(2.16)
- символ Кронекера учитывает, что существует только
одна пространственная компонента нелинейной поляризации.
Вычислительная
модель для низкочастотных мод
считалась постоянной в пределах каждого слоя. Общее
решение
в отдельных слоях имело координатную зависимость в
виде суммы встречных волн
. Для однородного j-го слоя z-проекция
волнового вектора находилась из соотношения
. В слое
с модулированной диэлектрической проницаемостью поиск общего решения
представлял собой обобщенную задачу на собственные значения и векторы. На
границах слоев считались непрерывными амплитуды гармоник
и комбинации производных:
(2.17)
неизвестными
коэффициентами в каждом слое. В первом и последнем слое
коэффициентов, описывающих входящие или
неограниченные на бесконечности волны, приравнивались к нулю.
(2.18)
- длина волновода.

оказываются нулевыми у всех мод, кроме моды,
излучаемой перпендикулярно к поверхности, а излучение в направлении нормали
невозможно ввиду того, что нелинейная поляризация перпендикулярно к плоскости
слоев структуры. Отметим, что в диапазоне длин волн около 36 мкм в структуре с
диэлектрическим гофром и поверхностным выводом излучения при той же длине
мощность может достигать порядка 300 мкВт (рисунок 2.12), что аналогично
использованию металлической решетки на поверхности волновода [14]. В обоих
случаях рост мощности в основном обеспечивается резонансным увеличением
нелинейной диэлектрической проницаемости.
4.
Генерация электромагнитных колебаний СВЧ-диапазона с помощью оптоэлектронных
генераторов
4.1 Частотный
подход к описанию оптоэлектронных генераторов
Фазовые и
частотные соотношения
(3.1)
- комплексная амплитуда напряжения шума,
-
случайная шумовая амплитуда,
-
случайная шумовая фаза.
. Для
простоты анализа будем считать, что передаточная характеристика
волоконно-оптической петли обратной связи
остается
постоянной после установления стационарной генерации. Пусть уже после
установления стационарного режима генерации из шума стационарно рождается
некоторый сигнал.
, (3.2)
- частотная характеристика разомкнутой петли
оптоэлектронного генератора.
, (3.3)
петель обратной связи:
. (3.4)
(3.5)
(3.6)
(3.7)
задается формулой:
(3.8)
, (3.9)
относительно Vosc,
можно найти амплитуду установившихся колебаний.
в полосе
пропускаемых фильтром частот
:
(3.10)
- спектральная плотность мощности шума.
,
при этом в знаменателе
- вся распространяющаяся в петле мощность в случае
измерения на управляющем СВЧ-входе модулятора (деление на величину
- нормировка спектра):
(3.11)
(3.12)
(3.13)
(3.14)
, (3.15)
(3.16)
(3.17)
(3.18)
(3.19)
(3.20)
-
оптическая мощность от лазера,
- сигнал
на управляющем входе модулятора,
-
полуволновое напряжение модулятора,
-
постоянное напряжение смещения на модуляторе.
комплексная
амплитуда напряжения:
(3.21)
(3.22)
(отрицательная квадратура оптического модулятора
),
(положительная
квадратура оптического модулятора
). Перед
началом стационарной генерации малосигнальное усиление разомкнутой петли
оптоэлектронного генератора
по
модулю меньше единицы, что свидетельствуют об отсутствии баланса энергии в
генераторе. Пороговые оптическая мощность лазерного диода и произведение ее с
усилением СВЧ усилителя можно найти с помощью следующих выражений:
(3.23)
. При этом вводится коэффициент полного усиления на
амплитуде (рисунок 3.2) установившихся в петле колебаний:
(3.24)
(3.24)
1.3 Временной
подход к описанию оптоэлектронных генераторов
(3.26)
- комплексная медленно меняющаяся амплитуда огибающей
СВЧ колебаний (далее для краткости - комплексная амплитуда),
- фаза
СВЧ-сигнала, при этом аргумент под амплитудой, комплексной амплитудой и фазой
медленной меняющийся по сравнению с СВЧ несущей, в
остальных случаях t - быстроменяющийся аргумент СВЧ несущей.
:
.
, (3.27)
(3.28)
(3.29)
), что позволяет оперировать только с несущим сигналом
с частотой
:
(3.30)
, (3.31)
- постоянная Больцмана,
-
шум-фактор,
-
коэффициент усиления СВЧ усилителя,
-
фототок, e- заряд электрона,
-
импеданс нагрузки фотодиода,
- стандартная
шумовая температура.
. Для
данного шума характерна спектральная плотность мощности:
, (3.32)
, значит,
средняя мощность шума в исследуемой полосе
, к
каждому отсчету сигнала в среднем добавляется указанная средняя мощность шума.
Амплитуда шума, добавляемая к сигналу в модели должна соответствовать мощности,
совпадающей с мощностью реального шума:
(3.33)
, (3.34)
- обратное преобразование Фурье (оператор данного
преобразования обозначен
) стандартной нормальной комплексной случайной
величины (для которой выполняется
),
введение которой не нарушает выполнение условия (3.33)
, при этом условие (3.33) принимает вид
.
- усилением по напряжению. Сигнал с выхода
волоконно-оптической линии задержки является входным для усилителя, к данному
сигналу сначала добавляется белый гауссов шум (так как шум считали приведенным
ко входу усилителя), а затем происходит усиление смеси сигнала с шумом.
Комплексная амплитуда после аддитивного введения шума и усиления:
, (3.35)
намного меньше частоты СВЧ несущей. Таким образом, при
достаточно узкой полосе пропускания фильтра все гармоники СВЧ несущей пренебрежимо
малы. Таким образом, рассматриваемая модель представляет собой не что иное, как
обобщение метода комплексных медленно меняющихся амплитуд.
(3.36)
- функция Хэвисайда;
- полная
ширина частотной характеристики фильтра на полувысоте.
(3.37)
, воздействия происходят на каждый отсчет независимо.
Под словом итерация здесь и далее следует понимать проход одним отсчетом
комплексной амплитуды напряжения оптоэлектронного генератора. При этом один
отсчет комплексной амплитуды на l-м проходе (l-й
итерации, нумерация начинается с единицы) основной петли (основной в случае
использования необычных оптоволоконных резонаторов.
1.4 Результаты
моделирования оптоэлектронных генераторов
Заключение
Литература