![]()
;
![]()
;
![]()
;
![]()
;
![]()
;
![]()
Где Fe, Fw, Fn,, Fs - расход через грани e, w,n,s соответственно;
S - площадь боковой поверхности контрольного объема;
Q - массовый источник в контрольном объеме;
лесной пожар ресурсоэффективность взрывной
2. Результаты
Тестовые проверки программы расчета осуществлялись путем сравнения с аналитическими решениями, а также с известными численными решениями задач теории горения. Кроме того, для оценки точности используемых разностных схем и проверки правильности работы программы в целом использовался метод априори задаваемых аналитических решений, состоящий в том, что в используемые уравнения подставлялись аналитические выражения искомых функций, вычислялась неувязка уравнений, которая затем трактовалась как фиктивный источник в каждом уравнении. Затем значения функций восстанавливались. Точность восстановления этих функций составляла не менее 0,5%. Устойчивость и точность полученных решений проверялась также уменьшением шагов по времени и пространству. В серийных расчетах использовался алгоритм автоматического выбора шага по времени.
Проводились расчеты со следующими параметрами: скорость ветра: 5м/с, влагосодержание: 0,2-0,8, запас ЛГМ: 0,2-0,8.
В результате расчетов получены значения скорости
распространения пожара, а также поля температур, концентраций кислорода и
летучих продуктов пиролиза.
Рисунок 2.1 Зависимость размеров критического разрыва от влагосодержания
На рисунке 2.1 изображена зависимость размеров
критического разрыва от влагосодержания. Линии 1, 2, 3, 4 соответствуют запасам
0,2; 0,5; 0,66; 0,8 соответственно. Наглядно видно, что влагосодержание 50%
является наиболее благоприятным для распространения пожара, поэтому критический
разрыв при этом параметре максимален в каждом случае. При повышении влажности
до 80% и более разрывы резко уменьшаются, а при низком запасе ЛГМ (20%) горение
полностью прекращается.
Рисунок 2.2. Зависимость величины разрыва от
скорости ветра
На рисунке 2.2 отображена зависимость величины разрыва от скорости ветра. Параметры, при которых проводились расчеты - запас ЛГМ - 0,2, влагосодержание - 0,5, скорость ветра меняется от 3 до 7 м/с. С увеличением скорости ветра пропорционально увеличиваются размеры противопожарного разрыва. Ниже на рисунках 2.3-2.5 приведены примеры различных ситуаций, которые могут возникнуть при расчете:
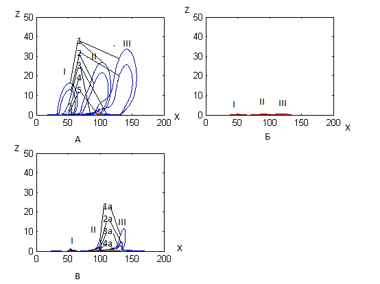
Рисунок 2.3 График распределения температуры
(А), концентрации кислорода (Б) и летучих горючих продуктов пиролиза (В). Пожар
проходит через разрыв. I
- параметры пожара до разрыва (время - 26 с от начала горения, расстояние до
фронта пламени - 49 м.), II
- после разрыва (время - 35 с, расстояние до фронта - 83 м). 1, 2, 3, 4, 5, 6
соответствуют изотермам 315, 330, 450, 600, 900, 1050, 1350 К
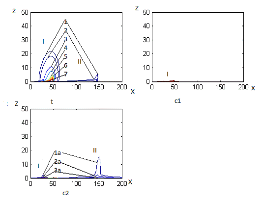
Рис 2.4. График распределения температуры (А),
концентрации кислорода (Б) и летучих горючих продуктов пиролиза (В). I
- начало пожара (время от начала горения - 27 с, расстояние до фронта горения -
49 м), II -
обстановка на разрыве (время от начала горения - 32 с, расстояние до фронта
горения - 78 м), III
- состояние массива после разрыва (время от начала горения - 36 с, расстояние
до фронта горения - 97 м). 1, 2, 3, 4, 5 соответствуют изотермам 315, 330, 450,
600, 900 К. Линии 1а, 2а, 3а, 4а соответствуют изолиниям равной концентрации
летучих продуктов пиролиза 1, 0.1, 0.05, 0.01. Массив леса прогревается, но
недостаточно для того, чтобы пожар перешел через разрыв
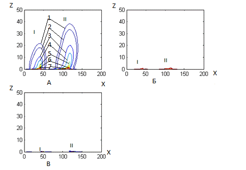
Рисунок 2.5 График распределения температуры
(t), концентрации кислорода (с1) и летучих горючих продуктов пиролиза (с2). I
- пожар перед разрывом (время от начала горения - 26 с, расстояние до фронта
пламени - 50 м), II
- состояние массива после разрыва (время от начала горения - 35 с, расстояние -
105 м). ). Линии 1, 2, 3, 4, 5, 6, 7 соответствуют изотермам 315, 330, 450,
600, 900, 1050, 1350 К. Линии 1а, 2а, 3а, соответствуют изолиниям равной
концентрации летучих продуктов пиролиза - 1, 0.1, 0.05, 0.01. Пожар не
преодолевает разрыв и практически не прогревает массив.
Рассмотрим изменение полей скоростей в зависимости от скорости ветра.
Из рисунков 2.6 и 2.7 видно, что при увеличении
скорости ветра фронт вытягивается по направлению ветра (ось Х), с подветренной
стороны возникает вихрь, осуществляющий дополнительную подачу воздуха к месту
горения. Вблизи фронта линии тока отклоняются от первоначального
горизонтального направления вверх, причем длина стрелок увеличивается в
зависимости от близости к фронту. Следовательно, вблизи фронта горения скорость
ветра увеличивается за счет конвективного движения.
Рисунок 2.6. Поле скоростей для следующих
параметров: запас ЛГМ - 0.2, влагосодержание - 0.66, скорость ветра - 5 м/с,
время - 32 с, расстояние от источника зажигания - 76 м, совмещенное с
изотермами. Линии 1, 2, 3, 4, 5, соответствуют изотермам 315, 330, 450, 600,
900 К.
Рисунок 2.7. Поле скоростей для следующих параметров: запас ЛГМ - 0.2, влагосодержание - 0.66, скорость ветра - 7 м/с, совмещенное с изотермами. Линия 1 соответствует изотерма 315 К
Рисунок 2.8. Поле скоростей и изотермы при
параметрах: запас ЛГМ - 0.2, скорость ветра - 7 м/с, влагосодержание - 0.3,
время 25 с., расстояние от источника зажигания - 75 м.). Линии 1, 2, 3, 4, 5, 6
соответствуют изотермам 315, 330, 450, 600, 900, 1050 К
Рисунок 2.9. Поле скоростей и изотермы при параметрах: запас ЛГМ - 0.2, скорость ветра - 7 м/с, влагосодержание- 0.5, время - 28 с., расстояние от источника зажигания - 75 м. Линии 1, 2, 3, 4, 5 соответствуют изотермам 315, 330, 450, 600, 900 К
Рисунок 2.10. Поле скоростей и изотермы при
параметрах: запас ЛГМ - 0.2, скорость ветра - 7 м/с, влагосодержание - 0.66,
время - 34 с., расстояние до источника зажигания - 75 м. Линия 1 соответствует
изотерма 315 К
Рисунки 2.8-2.10 иллюстрируют зависимость полей
скоростей распространения пожара от влагосодержания ЛГМ. Видно, что с
увеличением доли влаги в лесном материале скорость распространения падает,
изотермы становятся более пологими, максимальная температура и расстояние между
соседними изотермами снижается, а также ширина фронта пожара уменьшается. Так,
скорость распространения фронта пожара при влагосодержании 0.5 равна примерно
7,8 м/с, а при влагосодержании 0.8 - 4,2 м/с,
3. Финансовый менеджмент, ресурсоэффективность и
ресурсосбережение
Математическое моделирование на сегодняшний день становится одним из важнейших методов изучения различных процессов благодаря своим преимуществам, главным из которых является минимальная потребность в материальных и людских ресурсах. Объектом исследования в рамках данного раздела является работа с программой для моделирования взаимодействия верхового лесного пожара с противопожарными разрывами WIND2. Цель исследования - определение потребности в интеллектуальных и материальных ресурсах, необходимых для проведения комплекса этих работ. В ходе исследования необходимо решить задачи:
Определить возможные альтернативы проведения научных исследований.
Определить полный перечень работ, проводимых при математическом моделировании, и их исполнителей;
Определить трудоемкость проведения работ;
Разработать график проведения работ;
Рассчитать бюджет исследований.
.1 Определение возможных альтернатив проведения
научных исследований
Для моделирования возникновения и распространения
лесного пожара существует несколько программ. Составим морфологическую матрицу
для возможных вариантов проведения исследования.
Таблица 3.1 Морфологическая таблица для программы расчета распространения лесного пожара
|
|
1 |
2 |
3 |
4 |
|
А. Количество описываемых параметров |
1 |
2 |
3 |
4≤ |
|
Б. Длительность расчета |
10 минут |
20 минут |
40 минут |
Больше 40 минут |
|
В. Язык программы |
Русский +английский |
английский |
немецкий |
Иной |
|
Г. Способ визуализации |
график |
таблица |
модель |
нет |
|
Д. Выдача данных |
Постоянная иферная |
Постоянная, графическая |
По окончании расчета, циферная |
По окончании расчета, графическая |
Предложим три варианта решения технической задачи:
А3Б4В2Г1Д1 - (программа WIND 2) программа имеет возможность рассчитать до трех параметров, в зависимости от необходимого расстояния, время расчета может достигать 3 часов, язык программы - английский, , выдача данных в процессе расчета происходит постоянно, визуализацией является график.
А4Б3В1Г3Д4 - (программа Phoenix) - в данной программе есть возможность рассчитать более 4 параметров, длительность расчета при этом - 30-50 минут, имеется возможность установить различные языки, в том числе и руccкий, при расчете информация выдается сразу, причем в виде готовой модели.
А1Б2В2Г4Д1 (программа break)
- в данной программе есть возможность вычисления только одного параметра,
поэтому время на расчеты снижается (15-20 минут), язык программы - английский,
визуализация не предусмотрена, выдача данных производится постоянно в виде
цифр.
3.2 Структура работ в рамках научного исследования
Структура, содержание и исполнители той или иной
части работ сведены в таблицу 3.2
Таблица 3.2
Перечень этапов, работ и распределение исполнителей
|
Основные этапы |
№ работы |
Содержание работ |
Должность исполнителя |
||
|
Определение темы проекта |
1 |
Определение и утверждение темы проекта |
Научный руководитель, студент |
||
|
Выбор направления исследования |
2 |
Анализ актуальности темы |
Студент |
||
|
|
3 |
Подбор литературы по теме |
Научный руководитель, студент |
||
|
|
4 |
Выбор направления исследования |
Научный руководитель, студент |
||
|
|
5 |
Составление календарного плана |
|
||
|
Теоретические исследования |
6 |
Изучение литературы, написание обзора |
Студент |
||
|
|
7 |
Изучение программы |
Студент |
||
|
|
8 |
Изучение нормативных документов |
Студент |
||
|
|
9 |
Изучение темы с иных точек зрения |
Студент |
||
|
Практические исследования |
10 |
Работа с программой |
Студент |
||
|
|
11 |
Обработка результатов |
Студент |
||
|
|
12 |
Сопоставление результатов с теоретическими исследованиями |
Студент |
||
|
Обобщение и оценка результатов |
13 |
Анализ результатов |
Студент, научный руководитель |
||
|
|
14 |
Вывод по цели |
Студент, научный руководитель |
||
.3 Определение трудоемкости выполнения работ
Определим среднее ожидаемое число человеко-дней tожi
![]()
, (3.1)
Где tож i - ожидаемая трудоемкость выполнения i-ой работы, чел-дн.;
tmin i , tmax i - минимально и максимально возможная трудоемкость выполнения заданной i-ой работы соответственно, чел-дн.;
Далее определяем продолжительность
выполнения работ Tpi.
![]()
(3.2)
где Чi - численность исполнителей, выполняющих одновременно одну и ту же работу на данном этапе, чел.
Результаты расчетов приведены в
таблице 3.3.
Таблица 3.3 Временные показатели проведения научного исследования
|
Название работы |
Трудоемкость работ |
Исполнители |
Длительность
работ в рабочих днях |
|
||||||||||||||
|
|
|
|
|
|
|
|
||||||||||||
|
|
Исп.1 |
Исп.2 |
Исп.3 |
Исп.1 |
Исп.2 |
Исп.3 |
Исп.1 |
Исп.2 |
Исп.3 |
Исп.1 |
Исп.2 |
Исп.3 |
Исп.1 |
Исп.2 |
Исп.3 |
Исп.1 |
Исп.2 |
Исп.3 |
|
Определение и утверж-дение темы проекта |
1 |
1 |
1 |
3 |
3 |
3 |
1,8 |
1,8 |
1,8 |
Науч.руководитель, студент |
0,9 |
0,9 |
0,9 |
1 |
1 |
|||
|
Анализ актуальности темы |
1 |
1 |
1 |
3 |
3 |
3 |
1,8 |
1,8 |
1,8 |
Студент |
1,8 |
1,8 |
1,8 |
3 |
3 |
3 |
||
|
Подбор литературы по теме |
3 |
3 |
3 |
5 |
5 |
5 |
3,8 |
3,8 |
3,8 |
Науч.руководитель, студент |
1,9 |
1,9 |
1,9 |
3 |
3 |
3 |
||
|
Выбор направления исследований |
1 |
1 |
1 |
2 |
2 |
2 |
1,4 |
1,4 |
1,4 |
Науч.руководитель, студент |
0,7 |
0,7 |
0,7 |
1 |
1 |
1 |
||
|
Составление календарного плана |
1 |
1 |
1 |
2 |
2 |
2 |
1,4 |
1,4 |
1,4 |
Науч.руководитель, студент |
0,7 |
0,7 |
0,7 |
1 |
1 |
1 |
||
|
Изучение литературы, написание обзора |
7 |
7 |
7 |
14 |
14 |
14 |
9,8 |
9,8 |
9,8 |
Студент |
9,8 |
9,8 |
9,8 |
14 |
14 |
14 |
||
|
Изучение программы |
1 |
2 |
1 |
3 |
3 |
2 |
1,8 |
2,4 |
1,4 |
Студент |
1,8 |
2,4 |
1,4 |
3 |
4 |
2 |
||
|
Подбор нормативных документов |
2 |
2 |
2 |
4 |
4 |
4 |
2,8 |
2,8 |
2,8 |
Студент |
2,8 |
2,8 |
2,8 |
4 |
4 |
4 |
||
|
Изучение темы с иных точек зрения |
7 |
7 |
7 |
14 |
14 |
14 |
9,8 |
9,8 |
9,8 |
Студент |
9,8 |
9,8 |
9,8 |
14 |
14 |
14 |
||
|
Работа с программой |
15 |
17 |
15 |
21 |
25 |
21 |
17,4 |
20,2 |
17,4 |
Студент |
17,4 |
20,2 |
17,4 |
26 |
30 |
26 |
||
|
Обработка результатов |
2 |
1 |
2 |
3 |
2 |
3 |
2,4 |
1,4 |
2,4 |
Студент |
2,4 |
1,4 |
2,4 |
4 |
2 |
4 |
||
|
Сопоставление резуль-татов с теоретическими исследованиями |
1 |
1 |
1 |
2 |
2 |
2 |
1,4 |
1,4 |
1,4 |
Студент |
1,4 |
1,4 |
1,4 |
2 |
2 |
2 |
||
|
Анализ результатов |
1 |
1 |
1 |
3 |
3 |
3 |
1,8 |
1,8 |
1,8 |
Науч. уководитель, студент |
0,9 |
0,9 |
0,9 |
1 |
1 |
1 |
||
|
Вывод по цели |
1 |
1 |
1 |
3 |
3 |
3 |
1,8 |
1,8 |
1,8 |
Науч руководитель, студент |
0,9 |
0,9 |
0,9 |
1 |
1 |
1 |
||