Стратегическое моделирование изучает
совокупности пожаров - их возникновение, распространение, развитие, а также
основные важнейшие их характеристики - скорость, площадь, длину фронта. Эти
модели используются руководителями административных единиц, соответствующими
органами МЧС и имеют важное практическое значение, поскольку на основании их
прогнозов принимаются меры по защите населения и территории в пожароопасный
период. В нашей стране этими моделями занимался Г.Н.Коровин [12].
.2 Методика численного решения
Пусть очаг зажигания связан с началом системы
координат, причем начало системы координат X,
Y, Z
связано с центром очага. Ось ОZ
направлена вертикально вверх, а оси ОХ и ОY
- параллельно земной поверхности. Ось ОХ совпадает с направлением ветра. Под
действием ветра очаг верхового пожара начинает распространяться по лесному
массиву.
Рисунок 1.1. Система координат с
очагом зажигания в центре, где 1 - очаг зажигания, 2 и 3 - лесной массив
Основные допущения, принятые при выводе системы уравнений начальных и граничных условий.
1. Ветер направлен вдоль оси Х;
. Течение носит развитый турбулентный характер, и молекулярным переносом пренебрегаем по сравнению с турбулентным;
. Полог леса предполагается недеформируемой пористо-дисперсной средой;
. Среда в пологе леса считается двухтемпературной, т.к. различаются температура газовой и конденсированной фазы.
. Среда находится в локальном термодинамическом равновесии;
. Рассматривается так называемый продуваемый лесной массив, когда объемной долей конденсированной фазы лесных горючих материалов (ЛГМ), состоящей из сухого органического вещества, воды в жидко-капельном состоянии и золы можно пренебречь по сравнению с объемной долей газовой фазы, включающей в себя компоненты воздуха и газообразные продукты пиролиза и горения.
. Плотность газовой фазы не зависит от давления, т.к. скорость течения мала по сравнению со скоростью звука.
. Для описания процесса переноса энергии излучением используется диффузионное приближение.
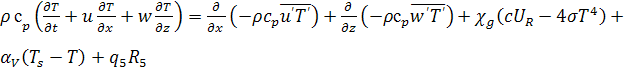
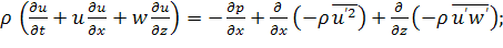
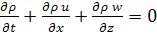
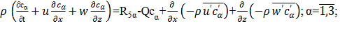
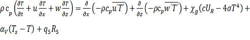
Математическая модель взята из [13] с некоторыми поправками.
В области высоты h,
расположенной выше уровня шероховатости z0
и ниже уровня верхней границы полога леса в плоскости xz,
имеем уравнения, выражающие законы сохранения для многофазной многокомпонентной
сплошной реагирующей среды
![]()
(1.1)
![]()
![]()
![]()
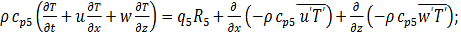
; (1.2)

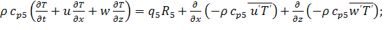
(1.3)
![]()
(1.4)

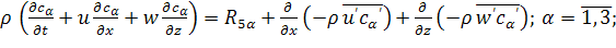
; (1.5)
![]()
; (1.6)
![]()
; (1.7)
![]()
(1.8)
![]()
(1.9)
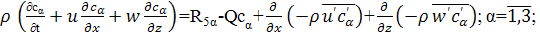
Для приземного слоя атмосферы при z≥h имеем
следующую систему уравнений:
![]()
; (1.10)
![]()
(1.11)
![]()
(1.12)
![]()
(1.13)
![]()
(1.14)
![]()
; (1.15)
Здесь 
![]()
; ![]()
;
![]()
;
![]()
Система уравнений (1.1) - (1.15) должна быть дополнена соответствующими начальными и граничными условиями.
В начальный момент времени во всем контрольном объеме заданы распределения искомых функций:
![]()
(1.16)
На левой границе расчетной области ![]()
известны параметры набегающего
потока
![]()
(1. 17)
На правой границе контрольного
объема ставятся «мягкие» граничные условия
![]()
(1.18)
На верхней границе значения искомых
функций считаются известными и равными значениям функций в набегающем потоке на
этой высоте
![]()
(1.19)
Считается, что границы контрольного объема могут быть выбраны на достаточном удалении от фронта пожара, так что возмущения, вносимые ограниченностью рассматриваемого объекта, слабо искажают характеристики вблизи фронта.
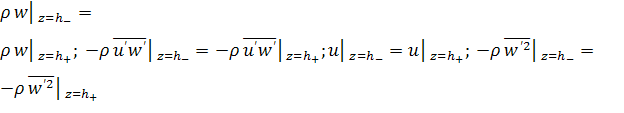
Граничные условия на уровне ![]()
(нижний ярус леса) получены в
следующем виде:

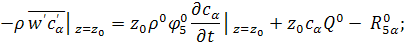
;
![]()
. (1.20)
При записи граничных условий (1.20)
для нижнего яруса леса, в отличие от системы уравнений (1.1) - (1.8) для полога
леса, учитывается собственный объем конденсированной фазы (![]()
).
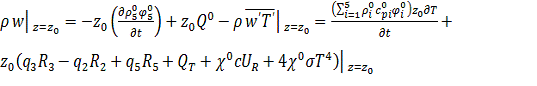
По определению уровня шероховатости z0 (1.12) там
выполняется равенство. На границе раздела сред полог леса - приземный слой
атмосферы должны выполняться условия:

;
![]()
; ![]()
; ![]()
;
![]()
;![]()
; ![]()
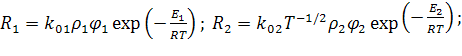
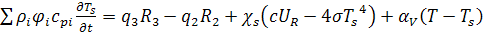
Здесь и выше - R1-R3, R5 - массовые
скорости пиролиза сухого органического вещества ЛГМ, испарения влаги, горения
конденсированных и летучих продуктов пиролиза соответственно; ![]()
- удельные теплоемкости, истинные
плотности и объемные доли i - фазы многофазной реагирующей
среды (1 - сухое органическое вещество, 2 - вода, 3 - кокс, 4 - зола); u, w - проекции
скорости на оси x и z
соответственно; T, cα -
температура и массовые концентрации компонентов газовой фазы (α=1 -
кислород, 2 - горючие компоненты продуктов пиролиза, 3 - инертные компоненты воздуха
(водяной пар и нереагирующие продукты реакций окисления, пиролиза и горения
кокса); Ts -
температура твердой фазы; p, p∞
давления в потоке и гидростатическое; UR -
осредненная плотность излучения, χ - интегральный коэффициент
поглощения; ![]()
- лучистый тепловой поток,
поступающий в полог леса от факела пламени; ![]()
- лучистый тепловой поток,
теряющийся через верхнюю границу (в первом приближении ![]()
, где ε -
интегральная степень черноты верхней границы полога леса, σ -
постоянная Стефана- Больцмана); R51 - R53 -
массовые скорости преобразования α-компонентов газовой фазы; q2, q3, q5, -
тепловые эффекты реакции испарения, горения кокса и испарения летучих продуктов
пиролиза; E1 - E3, E5, k01 - k03, k05 - энергии
активации и предэкспоненты; αc, νг - коксовое
число ЛГМ и массовая доля горючего газа в общей массе летучих продуктов
пиролиза; h - высота
полога леса; Q - массовая
скорость образования газовой фазы; sσ -удельная
поверхность элемента ЛГМ; Mα, Mc, M -
молекулярные веса индивидуальных компонентов углерода и смеси в целом; s - удельная
поверхность фитомассы полога леса; cd -
эмпирический коэффициент сопротивления; g - ускорение
свободного падения. Индексы «Н», «∞», «0» обозначают начальные условия
функций на удалении от фронта пожара и характеристики нижнего яруса леса, а
индексы 1-5 используются для обозначения термодинамических параметров фаз и
компонентов газовой фазы.
Система уравнений (1.1) - (11.5) является обобщением известной системы уравнений Рейнольдса для турбулентных течений однофазной инертной жидкости и в то же время представляет собой частный случай математической модели лесных пожаров, предложенной в [1]. Наличие последних двух слагаемый в уравнениях (1.2) - (1.5), (1.10) - (1.13) обусловлено турбулентным характером течения как в приземном слое, так и в пологе леса. Член сαQ в уравнениях сохранения индивидуальных компонентов (1.4) является следствием недивергентной формы уравнений и отражает факт разбавления газовой фазы продуктами пиролиза, испарения влаги и горения ЛГМ.
Взаимодействие процессов горения в нижних и верхних ярусах леса в данной модели учитывается через граничные условия (1.19). Поскольку процессы, протекающие при пожаре в верхнем и нижнем ярусах леса, аналогичны, последние описываются уравнениями, приведенными выше. Интегрируя эти уравнения по высоте нижнего яруса леса (z0), пользуясь соотношениями масштабов (z0<<h) и отбрасывая производные в направлении x, получим условия (1.19).
Таким образом, левые части соотношений (1.19) представляют собой потоки массы и тепла на уровне z0 со стороны полога леса. Правые части этих соотношений описывают процессы, протекающие в нижнем ярусе леса.
В работе приводятся результаты математического моделирования распространения верхового лесного пожара.
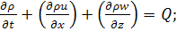
Все уравнения можно записать в виде:
или

Где Ф - зависимая переменная;
vi - компонента скорости по оси y;
Г - коэффициент диффузии;
Sф - источниковый член.
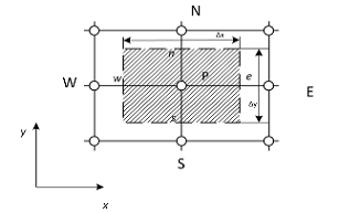
Для численного интегрирования исходного системы уравнений используется метод контрольного объема. Расчетную область разбиваем на некоторое число непересекающихся контрольных объемов. Затем исходную систему уравнений интегрируем по каждому контрольному объему.
Выбираем в каждой области
контрольную точку (Рис.2):
Рисунок 1.2 Контрольный объем для
двумерного случая
Получаем двумерный аналог:
![]()
;
![]()
;
![]()
;
![]()
![]()
![]()
;
![]()
;