Из рисунка 18 видно, что в составленной схеме максимально нагружен
участок 2-3: Р=250 МВт и Q=155
МВАр. Переток полной мощности найдем по формуле :
.
Исходя из мощности наиболее загруженного участка (участок 2-3, рисунок
18), определим номинальный ток:
После подстановки получим следующее значение тока:
.
Для каждой фазы шин произведем выбор двух сталеалюминевых проводов марки АС-400/18 с номинальным сечением 678 мм2 и суммарным допустимым током 2x830 А> 1544 А.
Проверим сборные шины РУ 110 кВ на термическую стойкость при к.з. Проверка заключается в сравнении температуры проводов в момент отключения к.з. ϑн с допустимой температурой ϑдоп (для сталеалюминевых шин - 200°С).
Определим начальную температуру проводов по формуле:
где ϑo.hom - номинальная температура шин, 25 °С;
ϑн.доп - номинальная допустимая температура шин 70°С.
Подставив значения в формулу 39, получаем начальную температуру проводов:
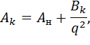
По рисунку 19 определяю начальное значение теплового импульса:
Ан=0,6·104А2с/мм4.
Рисунок 19 - Кривые зависимости номинальной температуры шин от теплового
импульса
Определим конечное значение теплового импульса по формуле:
где q - сечение проводов по алюминию.
По кривым зависимости ϑн от Ак (рисунок 3.3.3) определим конечную температуру: ϑк =67°С <200°С. Следовательно, провода сборных шин РУ-10 кВ удовлетворяют условию проверки на термическую стойкость.
Выбираем ошиновку. Выбор сечения производится по экономической плотности тока.
Экономическое сечение рассчитывается по формуле:
где iэк =1A/mт2 - экономическая плотность тока.
Для ошиновки выбираем провод АС-600/72 по 2 на фазу, с сечением по алюминию 600 мм2 и допустимым током 2100 А.
Проверим ошиновку на термическую стойкость:
ϑН = 58,085<200°С.
По рисунку 19 определим начальное значения теплового импульса и конечную температуру:
Ан=0,45·104 А2с/мм4;
Ак= 0,45·104А2с/мм4;
ϑk=58°C<200°C.
Выбранные для ошиновки провода удовлетворяют условиям.
.3.2 Выбор проводов сборных шин ОРУ 220 кВ
Будем считать, что одна линия нагружена максимально во всех режимах мощностью Р=250 МВт. Остальные линии нагружены равномерно. Определяем остаточную мощность:
Рост = 100 МВт.
Находим реактивные мощности:
Qmaх = 155 МВАр;
Qocm = 62 МБ Ар.
Составим, в графической форме, распределение мощностей в
нормально-максимальном режиме.
Рисунок 20 - Распределение мощности в нормально-максимальном режиме для
ОРУ-220 кВ
Из рисунка видно, что в составленной схеме максимально нагружен участок 2÷3: Р=117,2 МВт и Q=72,664 МВАр. Переток полной мощности находим по формуле 37: S = 137,898 MBA.
Рассмотрим аварийно-максимальный режим. Допустим, из строя вышел один
генератор.
Рисунок 21 - Распределение мощностей в аварийно-максимальном режиме для
ОРУ-220 кВ
Наиболее загруженный участок - 1-2 : Р=132, МВт и 82,356 МВАр.
Переток полной мощности находим по формуле (37):
S = 156,264 MBA.
Исходя из мощности наиболее загруженного участка (участок 4-5, рисунок 21), определяем номинальный ток:
Iнаиб.=0,41 кА.
Выберем для каждой фазы шин сталеалюминевый провод марки АС-150/32 с номинальным сечением 148 мм2 и допустимым током 450 А>410 А.
Проверим сборных шин РУ-220 кВ на термическую стойкость при к.з.. Определим начальную температуру проводов по формуле (39): ϑн = 66<200оС.
По рисунку 16 определяю начальное значение теплового импульса:
Ан =0,55·104 А2с /мм4.
Определим конечное значение теплового импульса:
Ак=0,55·104А2с/мм4.
По кривым зависимости ϑн от Ак (рисунок 19) вычисляем конечную температуру: ϑk =66°С <200°С. Из последнего неравенства следует, что провода сборных шин РУ-220 кВ удовлетворяют условию проверки на термическую стойкость.
Выбираем ошиновку. Выбор сечения производится по экономической плотности тока плотности тока.
Экономическое сечение рассчитывается:
qэк =410 мм2
Для ошиновки выбираем провод АС-550/71 с сечением по алюминию 549мм2 и допустимым током 945 А.
Проверяем на термическую стойкость: ϑн = 44,5<200оС.
По рисунку 19 определяем начальное значение теплового импульса и конечную температуру:
Ан=0,4·104А2с/мм4;
Ак=0,4·104А2с/мм4;
ϑк=45°С<200°С.
Выбранные для ошиновки полностью удовлетворяют условиям.
Выбор трансформаторов тока производится по напряжению, току и классу точности.
Так как в пункте 3.1 был произведен выбор высоковольтных выключателей ВЭБ-220, в конструкции которых предусмотрены измерительные трансформаторы тока, отдельный расчет и выбор трансформаторов тока в данном курсовом проекте не производится.
Для участков схемы, где выключатели не установлены, а трансформация тока
всё же требуется для проведения измерений, производим расчет и выбор
трансформаторов тока. Занесем нагрузки от приборов для каждой фазы в таблицу
14.
Таблица 14 - Таблица нагрузок трансформаторов тока
|
Прибор |
Тип |
Нагрузка на фазу |
||||
|
|
|
А |
В |
С |
||
|
Измеритель |
ION8650А |
3 |
3 |
3 |
||
|
Прибор, фиксирующий место повреждения |
ИМФ-3р |
0,5 |
0,5 |
0,5 |
||
|
Шкаф основной защиты |
ШТЭ2307-1502 |
3 |
3 |
3 |
||
|
Шкаф резервной защиты |
ШТЭ2305-1111-00 |
3 |
3 |
3 |
||
|
Sприб, ВА |
9,5 |
9,5 |
9,5 |
|||
Выбор трансформаторов тока для ГРУ-10 кВ.
Выберем трансформаторы тока элегазовые модернизированные в фарфоровой покрышке ТГФМ-10 и ТГФМ-220.
Проверяем трансформаторы тока по классу точности Zн1>Zрасч,
для чего применим следующие формулы:
,
,
,
где Rприб - сопротивление приборов на наиболее загруженной фазе;
Sприб - мощность наиболее загруженной фазы;
Qдоп - допустимое сечение для кабеля;
ρ - удельное сопротивление медных жил кабеля =0,0175 Ом;
Rк - сопротивление контактных соединений = 0,1Ом;
lрасч - расчетная длина кабеля.
Произведем расчет для трансформатора тока ТГФМ-10 по формулам (42)-(45):
Выбираем кабель ВВГ с сечением 5 мм2.
В таблице 15 сравним расчетные данные с техническими данными
трансформатора тока, чтобы убедиться в его пригодности к использованию в
имеющейся схеме:
Таблица 15 - Расчет ТГФМ-10 кВ
|
Расчетные величины |
Данные ТТ |
Номер условия |
Условия выбора |
|||
|
Uуст, кВ |
10 |
Uн, кВ |
10 |
1 |
Uуст≤ Uн |
10=10 |
|
Iр.фс, кА |
1,595 |
Iн1, кА |
2,0 |
2 |
Iр.фс≤ Iдл.н |
1,595<2,0 |
|
Z2р, Ом |
1,38 |
Z2н, Ом |
2 |
3 |
Z2р = Z2н |
1,38<2 |
|
Вк кА2/с |
20,775 |
Вк.доп кА2/с |
7688 |
4 |
Вк < Вк.доп |
20,775<7688 |
Произведем расчет для трансформатора тока ТГФМ-220:
Выбираем кабель ВВГ с сечением 5 мм2.
В таблице 16 сравним расчетные данные с техническими данными
трансформатора тока, чтобы убедиться в его пригодности к использованию в
имеющейся схеме:
Таблица 16 - Расчет ТГФМ-220 кВ
|
Расчетные величины |
Данные ТТ |
Номер условия |
Условия выбора |
|||
|
Uуст, кВ |
220 |
Uн, кВ |
220 |
1 |
Uуст≤ Uн |
220=220 |
|
Iр.фс, кА |
0,581 |
Iн1, кА |
1,0 |
2 |
Iр.фс≤ Iдл.н |
0,581<1,0 |
|
Z2р, Ом |
1,382 |
Z2н, Ом |
2 |
3 |
Z2р = Z2н |
1,38<2 |
|
Вк кА2/с |
15,861 |
Вк.доп кА2/с |
7688 |
4 |
Вк < Вк.доп |
15,861<7688 |
Характеристики выбранных трансформаторов тока занесем в таблицу 17.
Таблица 17 - Трансформаторы тока
|
Наименование параметра |
Величина параметра |
|
|
|
ТГФМ-10 |
ТГФМ-220 |
|
Номинальное напряжение, кВ |
10 |
220 |
|
Номинальный ток первичной обмотки, А |
2000 |
1000 |
|
Номинальный ток вторичной обмотки, А |
5 |
5 |
|
Класс точности обмоток для измерения |
0,5 |
0,5 |
|
Односекундный ток термической стойкости, кА |
7-104 |
7-104 |
Произведем выбор измерительных трансформаторов напряжения по номинальному напряжению первичной обмотки UH, классу точности, номинальной мощности вторичной обмотки S2h, и схеме соединения.
3.5.1 Измерительные трансформаторы напряжения для РУ 220 кВ
Проверку трансформатора напряжения в классе точности производят по его
суммарной нагрузке, которая может быть определена по подключенным приборам и
заносится в таблицу 18.
Таблица 18 - Подключенные приборы и их суммарная нагрузка
|
Место установки и перечень приборов |
Тип прибора |
S2н обмотки |
Число обмоток |
cosφ |
sinφ |
Число приборов |
Р, ВТ |
Q, ВАр |
|
ЛЭП связи с системой |
||||||||
|
Счетчик электроэнергии ЕвроАльфа |
Альфа 1600 |
- |
2 |
- |
- |
3 |
2 |
2 |
|
Прибор фиксирующий место повреждения |
ИМФ-3р |
- |
- |
- |
- |
3 |
1,5 |
|
|
Шкаф основной защиты |
ШЭ 2607-081 |
- |
- |
- |
- |
3 |
0,5 |
|
|
Шкаф резервной защиты и автоматики выключателя |
ШЭ 2607-016 |
- |
- |
- |
- |
3 |
0,5 |
|
|
Блочные трансформаторы |
||||||||
|
Счетчик электроэнергии ЕвроАльфа |
Альфа 1600 |
- |
2 |
- |
- |
2 |
2 |
2 |
|
Шкаф основной защиты блочного трансформатора |
ШЭ 2607-72 |
- |
- |
- |
- |
2 |
0,5 |
|
|
Шкаф резервной защиты блочного трансформатора |
ШЭ 2607-42 |
- |
- |
- |
- |
2 |
0,5 |
|
|
Шкаф управления, защиты и автоматики выключателя трансформатора |
ШЭ 2607-016 |
- |
- |
- |
2 |
0,5 |
|
|
|
Автотрансформатор связи |
||||||||
|
Шкаф основной защиты АТ связи |
ШЭ 2607-72 |
- |
- |
- |
- |
1 |
0,5 |
|
|
Шкаф резервной защиты АТ связи |
ШЭ 2607-42 |
- |
- |
- |
- |
1 |
0,5 |
|
|
Шкаф управления, защиты и автоматики выключателя АТ связи |
ШЭ 2607-016 |
- |
- |
- |
- |
1 |
0,5 |
|
|
Счетчик электроэнергии ЕвроАльфа |
Альфа 1600 |
- |
2 |
- |
- |
1 |
2 |
2 |
|
Сборные шины |
||||||||
|
Вольтметр |
Э-351 |
3 |
- |
- |
- |
1 |
3 |
|
|
Шкаф защиты ШСВ-220 |
ШЭ 2607-016 |
- |
- |
- |
- |
1 |
0,5 |
|
|
Шкаф ДЗШ-220 |
ШЭ 2607-062 |
- |
- |
- |
- |
1 |
0,5 |
|
|
Обходной выключатель |
||||||||
|
Счетчик электроэнергии ЕвроАльфа |
Альфа 1600 |
- |
2 |
- |
- |
1 |
2 |
|
|
Шкаф резервной защиты |
ШЭ 2607-016 |
- |
- |
- |
- |
1 |
0,5 |
|
|
Итого |
|
|
|
|
|
|
24,5 |
12,0 |
Полная суммарная потребляемая мощность по формуле:
Установим трансформатор типа НАМИ-220
Таблица 19 - Технические характеристики трансформатора НАМИ-220 кВ
|
Характеристики |
Значения |
|
Ном. напряжение первичной обмотки, кВ |
220/√3 |
|
Наибольшее рабочее напряжение первичной обмотки частоты 50 Гц, кВ |
252/√3 |
|
Ном. напряжение основной вторичной обмотки No1, кВ |
0,1/√3 |
|
Ном. напряжение дополнительной вторичной обмотки No2, кВ |
0,1 |
|
Ном. напряжение основной вторичной обмотки No3, кВ |
0,1/√3 |
|
Номинальная мощность, В·А, основной вторичной обмотки No1 в классах точности: - 0,2 - 0,5 - 1,0 Возможно изготовление с другими техническими характеристиками. |
200 400 600 |
|
Номинальная мощность, В·А, дополнительной вторичной обмотки No2 в классе точности 3,0 |
1200 |
|
Номинальная мощность, В·А, основной вторичной обмотки No3 в классах точности: - 0,2 - 0,5 - 1,0 |
100 200 300 |
|
Предельная мощность первичной обмотки, В·А |
2000 |
|
Предельная мощность основной вторичной обмотки No1, В·А |
1200 |
|
Предельная мощность дополнительной вторичной обмотки No2, В·А |
1200 |
|
Предельная мощность основной вторичной обмотки No3, В·А |
800 |
|
Группа соединения обмоток |
1 / 1 / 1 / 1 - 0 - 0 - 0 |
|
Климатическое исполнение и категория размещения по ГОСТ 15150 |
УХЛ1 |
|
Номинальное значение климатических факторов для исполнения «УХЛ» категории размещения «1»: - высота установки над уровнем моря, не более, м - температура окружающей среды |
1000 от -60°С до +40°С |
|
Допустимая величина механической нагрузки от горизонтального тяжения проводов, Н, не менее |
1000 |
|
Максимальная скорость ветра при отсутствии гололеда, м/с |
40 |
|
Максимальная скорость ветра при наличии гололеда, м/с |
15 |
|
Толщина стенки гололеда, мм |
20 |
|
Сейсмостойкость трансформатора по шкале МSК, балл, не менее |
7 |
|
Удельная длина пути утечки внешней изоляции, см/кВ |
2,25 ÷ 2,5 |
|
Средняя наработка до отказа, ч., не менее |
8,8 × 106 |
|
Установленный срок службы, лет |
30 |
|
Гарантийный срок службы, лет |
3 |
|
Тип внешней изоляции |
фарфор |
|
Тип внутренней изоляции |
маслобарьерная |
|
Масса трансформатора, кг |
1500 |
|
Масса масла, кг |
400 |
|
Габаритные размеры, мм |
660×690×3360 |
|
Установочные размеры, мм |
552×512 |