Материал: Разработка электрической части теплоэлектроцентрали

Внимание! Если размещение файла нарушает Ваши авторские права, то обязательно сообщите нам

В результате технико-экономического сравнения  вариантов, первый вариант оказался дешевле второго на 38,9 млн. руб, следовательно для дальнейшего рассмотрения первый вариант.

2. Расчет токов короткого замыкания

Вычисление значений токов короткого замыкания необходимо для выбора электрических аппаратов и токоведущих частей ТЭЦ. В соответствии с заданием определяем токи к.з. на сборных шинах РУ 220 кВ (точка К1), на выводах блочного генератора (точка К2) и на сборных шинах РУ 10 кВ (точка КЗ).

Рисунок 7 - Электрическая схема замещения расчетной схемы

Для расчетов составим электрическую схему замещения (Рисунок 7), а все сопротивления приводим к одной ступени, конкретно в данном случае - к месту короткого замыкания.

2.1 Составление электрической схемы замещения системы и приведение ее элементов к базисным условиям


Схемой замещения называется электрическая схема системы, в которой все магнитные (трансформаторные) связи заменены электрическими и все элементы системы (генераторы, трансформаторы, линии электропередачи и др.) представлены своими сопротивлениями.

Сопротивления всех элементов в схеме замещения могут быть выражены в именованных или относительных единицах. Расчет токов короткого замыкания. в именованных единицах является более наглядным, поэтому сопротивления генераторов, трансформаторов и др. элементов системы выразим в именованной системе единиц (в Омах).

При составлении электрическом схемы замещения системы (включая проектируемую станцию) сопротивления всех элементов, работающих на разных ступенях напряжения, будут приведены к одному базисному напряжению. За базисное напряжение удобно принимать среднее напряжение одной из ступеней, на которых имеет место короткое замыкание.

Рисунок 8 - Схема замещения

В целях упрощения расчетов для каждой электрической ступени на схеме замещения вместо действительного напряжения укажем среднее эксплуатационное напряжение Uср (междуфазное) согласно следующей шкале: 3,15; 6,3; 10,5; 13,8; 15,75; 18; 20; 24; 37; 115; 154; 230; 340; 515; 770 кВ. Из этого же ряда, соответственно, выберем и базисное напряжение Uz.

Составим схему замещения, где все элементы заменим на соответствующие индуктивные сопротивления, приведенные к ступени базисного напряжения Uб=230 кВ.

.1.1 Синхронные генераторы

В электрическую схему замещения системы синхронные генераторы входят сверхпереходным значением индуктивного сопротивления по продольной оси x”d, которое в справочной литературе указывается в относительных единицах при номинальных условиях, а также сверхпереходной ЭДС Е"

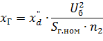
Приводим сопротивления к базисному напряжению 230 кВ по формулам:

Сопротивление генератора, приведённое к ступени базисного напряжения

;

.

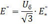
Значение сверхпереходной ЭДС генераторов при номинальных условиях в относительных единицах рассчитывается по следующей формуле:

;

.

Значение сверхпереходной ЭДС генератора, приведённая к ступени базисного напряжения вычисляется по формуле:

;

.

2.1.2 Энергосистема

В расчетную схему входит энергосистема, заданная своей полной мощностью, и сопротивлением в относительных единицах. В схему замещения электрической системы она вводится в виде эквивалентного генератора с э.д.с. и сопротивлением. Напряжение ступени равно 230 кВ, сопротивление системы 0,9 и мощность системы 6 ГВА.

Сопротивление системы, приведённое к ступени базисного напряжения:

.

Рассчитаем сверхпереходное ЭДС энергосистемы по формуле:

.

2.1.3 Силовые трансформаторы и автотрансформаторы

Сопротивление блочных трансформаторов, приведённое к ступени базисного напряжения:

Г РУ 10 кВ


К РУ 220 кВ


2.1.4 Воздушные и кабельные линии

Сопротивление линий, приведённое к ступени базисного напряжения:


;

;

.

2.2 Учет нагрузки при расчете токов короткого замыкания


Нагрузка при расчете токов короткого замыкания в сетях 35 кВ и выше не учитывается и, значит, в схему замещения не вводится. Однако, нагрузка, включенная непосредственно у генераторов и имеющая мощность, соизмеримую с мощностью генераторов, учитывается путем уменьшения э.д.с. этих генераторов. В проектируемой ТЭЦ такая нагрузка на много больше мощности генераторов, следовательно - не учитывается.

2.3 Преобразование электрической схемы замещения системы и определение результирующих сопротивлений


В процессе свертывания схемы применяют простейшие преобразования (сложение последовательно соединенных сопротивлений; замена нескольких сопротивлений, соединенных параллельно, одним эквивалентным; преобразование сопротивлений)

Преобразованная электрическая схема замещения системы представлена на рисунке 9. Определяем результирующие сопротивления.

Рисунок 9 - Упрощенная схема замещения

Произведем вычисление сопротивлений для упрощения схемы:


Рисунок 10- Схема замещения после преобразования

2.4 Определение параметров токов к.з.


На основе преобразованной схемы замещения производится расчет токов к.з. во всех лучах (ветвях) схемы. В процессе расчета определяются следующие параметры:

 - начальное значение периодической составляющей тока К.З. в каждой ветви (действующее значение за каждый период ), кА;

 - ударный ток, кА;

 - периодическая и апериодическая составляющие тока К.З. к моменту размыкания дугогасительных контактов выключателя (), кА.

Рисунок 11 - Кривые токов к.з.

Физический смысл указанных параметров поясняется рисунком 2.4.1, на котором показаны кривые изменения во времени тока к. з.  в каждой ветви и его составляющих - периодической  и апериодической . Момент возникновения к. з. соответствует условиям, при которых полный ток к.з. и его апериодическая составляющая достигают максимальных значений.

2.4.1 Определение тока

Определим начальное значение периодической составляющей тока к.з. для каждой ветви, изображенной на рисунке 8 по формуле:


После подстановки получаем:

 

Начальное значение суммарного периодического тока к.з. от всех источников:

.

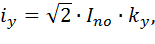
2.4.2 Определение ударного тока

Ударный ток для каждой ветви рассчитывается по формуле:


где ку- ударный коэффициент, для РУ 10 ку=1,935 и РУ 220 ку=1,965; для системы ку=1,72.

Ударный ток от всех источников в месте к.з.:

iyΣ =11,38+6,567+8,89 = 26,837 кА.

2.4.3 Определение токов  и

Так как ТЭЦ и система являются удаленными источниками, то их периодическая составляющая Iпτ C = Inо C =4,68 кА.

Для генераторов станции 1пτ рассчитывается последующим формулам:

После подстановки получаем:



После подстановки получим:

;

.

По расчетным значениям β и типовым кривым периодической составляющей тока к.з., изображенных на рисунке 2.4.3, определяем соотношение

Рисунок 12 - Типовые кривые изменение во времени периодических составляющих тока к.з. при различных удаленностях точки к.з.

Для РУ 10 кВ α = 0,98, для РУ 220 кВ α = 0,98 .

Периодическая составляющая тока в месте к.з. рассчитывается по формуле:


После подстановки значений получим:

Суммарная периодическая составляющая тока в месте к.з:

Для расчета апериодической составляющей тока к.з. зададимся значением постоянной времени затухания, для системы и ТЭЦ Та=0,03, для проектируемой станции Та = 0,26. Расчетное время отключения цепи выключателя τ = 0,1с.


После подстановки получаем:

Суммарная апериодической составляющей тока к.з.:

.5 Расчет токов короткого замыкания на выводах генератора блока


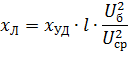
Составим схему замещения, где все элементы заменим на соответствующие индуктивные сопротивления, приведенные к ступени базисного напряжения Uб=10,5 кВ. Весь расчет проводится по принципу аналогичному изложенному в п. 2.4.

Пересчитываем сопротивления в соответствии с базисным напряжением 10,5 кВ и сверхпереходные ЭДС всех источников:

;

;

;

;

;

;

;

Ес=-5,77 кВ;

;

;

;

.

Преобразуем схему замещения:

Рисунок 13 - Упрощенная схема замещения

Определим параметры верхней части схемы:

;

;

;

;

.

Схема замещения примет вид, изображенный на рисунке 14

Рисунок 14 - Преобразованная схема замещения

Определим начальное значение периодической составляющей тока к.з. для каждой ветви:

IпоС=0,3 кА;

Iпо10=8,3 кА;

Iпо220=12,27 кА;

IпоБГ=12,27 кА.

Начальное значение суммарного периодического тока к.з. от всех источников: IпоΣ=33,14 кА;

Ударный ток для каждой ветви:

iУС=0,73 кА;

iУ10=22,7 кА;

iУ220=34,1 кА;

iУБГ=34,1 кА.

Ударный ток от всех источников в месте к.з.: iУΣ=91,63 кА.

Периодическая составляющая тока в месте к.з.: