Введение
деталь технологичность шлифование
Машиностроение - это одна из самых динамично развивающихся отраслей за все время своего существования. В ней сосредоточен большой научно-технический и производственный потенциал. Для нее создается благоприятная обстановка для воплощения на практике мероприятий, способных каким-либо образом повысить объем и качество выпускаемой продукции.
Основным способом повышения производительности в машиностроении является наиболее широкое использование новейших разработок в области технологии, автоматизации и механизации.
На машиностроительных заводах успешное внедрение новой техники зависит от степени его оснащения современной технологической оснасткой. Для всех видов технологической оснастки характерно наличие значительного числа деталей, разнообразной и сложной формы. Большинство деталей в процессе изготовления подвергается различным видам обработки, механической, термической, электрохимической и т.д.
Производительность процесса обработки зависит от режимов резания (скорости, глубины, подачи) а, следовательно, от материала режущей части инструмента и его конструкции, геометрических параметров, лезвий инструмента и т.д.
Современное производство предъявляет повышенные требования к технологической оснастке: точность базирования изделий, жесткость, обеспечивающая полное использование мощности оборудования на черновых операциях и высокую точность обработки на чистовых операциях. Высокая гибкость, сокращающая время на наладку и замену оснастки, универсальность, позволяющая обрабатывать изделия определенного типа размеров с минимальным временем на переналадку, надежность и взаимозаменяемость.
Дипломный проект направляется на разработку и проектирование новых, более совершенных технологических процессов и средств технологического оснащения, обеспечивающих существенное повышение производительности труда, качества продукции, снижение её себестоимости и металлоемкости, а также улучшение условий труда. Значительное внимание должно быть уделено технологическому перевооружению машиностроительного производства, максимальному использованию возможностей техники, в том числе ЭВМ, автоматизированных систем управления, элементов систем автоматизации проектирования и программирования механической обработки с помощью ЭВМ, комплексной механизации и автоматизации технологических процессов, транспортных, погрузочно-разгрузочных, складских и других работ, при выполнении которых затраты ручного труда до сих пор велики, дальнейшей специализации и кооперирования производства, повышению его культуры и экономичности.
В данном дипломном проекте разрабатывается производственный
участок и технологический процесс изготовления левого поворотного кулака
ЛиАЗ-5256. На основе типового и базового технологического процесса,
применяемого на ОАО «Канашский автоагрегатный завод», проектируется наиболее
оптимальный технологический процесс изготовления кулака. Рассчитывается площадь
участка и необходимое количество производственного оборудования. Решаются
проблемы экологии и безопасности жизнедеятельности при изготовлении кулака, для
решения которых предлагаются конкретные мероприятия. Производится экономическое
обоснование целесообразности мероприятий и усовершенствований предложенных в
данном дипломном проекте.
Исходной информацией для разработки дипломного проекта является:
чертеж детали и требования на ее изготовление;
базовый технологический процесс изготовления левого поворотного кулака;
заводской метод получения заготовки, чертёж заготовки с техническими требованиями, предъявляемыми к ней.
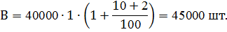
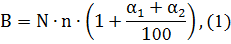
годовая программа выпуска деталей с учётом запасных частей и
возможного брака
где В-годовая программа выпуска с учетом запасных частей и возможного брака, шт.;- годовая программа выпуска, 40000 шт.;- количество данных деталей в узле, 1 шт.;
a1 - процент запасных частей, 5 - 20%;
a2 - процент брака, 1 - 3%.
режим работы цеха - односменный;
исходные данные для экономических расчетов (стоимость оборудования, технологической оснастки и инструмента, цены на энергоносители и т.д.);
исходные данные для разработки мероприятий по охране труда и
охране окружающей среды.
1.2 Служебное назначение и техническая
характеристика детали
Кулак поворотный является ответственной деталью передней оси автобуса ЛиАЗ-5256. Передняя ось предназначена для управления автобусом на дороге. В соответствии с рисунком 1 она состоит из цельной кованой балки (поз. 15) двутаврового сечения с отогнутыми вверх концами. В концевых бобышках балки имеются отверстия под шкворни (поз. 50). Балка концевой бобышкой опирается на подшипник (поз. 1) поворотного кулака (поз. 41) и соединяется с ним при помощи шкворня.
Поворотные кулаки имеют по две проушины с втулками (поз. 52). На поворотном кулаке также располагаются два конических роликовых подшипника (поз. 44 и поз. 45), на которые устанавливается ступица (поз. 43) переднего колеса. На фланце поворотного кулака выполнено 14 резьбовых отверстий для крепления суппорта переднего тормоза. На кулаке также устанавливается поворотный рычаг рулевой трапеции автобуса, который обеспечивает поворот управляемых колес на определенный угол.
Поворотный кулак изготовлен из конструкционной стали 40Х ГОСТ 4543-71.
Химический состав стали представлен в таблице 1. Добавление
хрома повышает твердость и прочность стали, увеличивает коррозионную стойкость.
Кремний увеличивает упругость, окалиностойкость. Марганец увеличивает
твердость, износоустойчивость, стойкость против ударных нагрузок, не уменьшая
пластичности. Никель сообщает стали коррозионную стойкость, высокую прочность и
пластичность, увеличивает прокаливаемость, оказывает влияние на изменение
коэффициента теплового расширения. Медь также увеличивает антикоррозионные
свойства стали [1].
Таблица 1 - Химический состав стали
С
Si
Mn
S
P
Cr
Ni
N
Cu
0,41-0,49%
0,17-0,37%
0,50-0,80%
≤0,035%
≤0,035%
0,80-1,10%
≤0,30%
≤ 0,008%
≤0,30%
Механические свойства стали представлены в таблице 2.
Таблица 2 - Механические свойства стали
Термообработка, состояние поставки
Сечение, мм
σ0.2, МПа
σВ, МПа
δ, %
ψ, %
КСU, Дж/см2
НВ
Поковка. Закалка, отпуск.
100 - 300
490
655
13
40
54
212 - 248
Технологические свойства стали 40Х [1]:
а) свариваемость - трудносвариваемая;
б) обрабатываемость резанием:
) твердым сплавом коэффициент обрабатываемости КV = 0,20;
) быстрорежущей сталью КV = 0,95;
в) склонность к отпускной хрупкости - склонна;
г) флокеночувствительность - чувствительна.
Действующий технологический процесс производства поворотного
кулака состоит из 24 операций.
Маршрут обработки поворотного кулака начинается с подготовки
технологических баз - обработки центровых отверстий. Затем сначала
обрабатывается хвостовая часть, а затем фланцевая. Последовательность
выполнения операций представлена в таблице 3.
Участок механической обработки состоит из трех автоматических
линий, агрегатных, специализированных и одного универсального станков. С точки
зрения последовательности технологических операций базовый маршрут
удовлетворяет изготовлению детали требуемой точности.
Таблица 3 - Технологический маршрут обработки детали
№ операции
Наименование операции
Оборудование
005
Агрегатная
АМ15383
010
Автоматно-линейная
ЛКМВ-359 А
015
Горизонтально-фрезерная
ГФ2487
020
Горизонтально-фрезерная
ГФ2487
025
Горизонтально-фрезерная
ГФ2487
030
Горизонтально-фрезерная
ГФ2487
035
Торцекруглошлифовальная
ХШ-12Н44
040
Торцекруглошлифовальная
ХШ4-12Н46
045
Круглошлифовальная
3М161Е
050
Агрегатная
АМ13608
055
Автоматно-линейная
ЛК0001
060
Автоматно-линейная
ЛК0002
065
Вертикально-протяжная
МП7734
070
Слесарная
Верстак
075
Агрегатная
АМ13609
080
Агрегатная
АМ13610
085
Агрегатная
АМ13611
090
Агрегатная
3ХА5617
095
Торцекруглошлифовальная
ХШ4-12Н45
100
Круглошлифовальная
3М161Е
105
Фрезерная
FD-40V
110
Сверлильная
2Н150
115
Промывка
Машина моечная 220074
120
Контрольная
Стол контрольный
Недостатками существующего технологического процесса является
использование универсального вертикально-сверлильного станка 2Н150, обработка
на котором составляет 14,6 мин. Поэтому будет целесообразно выполнить фрезерную
и сверлильную операцию на более производительном агрегатном пятипозиционном
станке, время обработки на котором составит 2,34 мин. Другой недостаток
является применение в качество основного транспортного устройства ручного
палетного транспортера.
1.4 Общая организационно-техническая
характеристика проектируемого участка
Организация технологического процесса на участке имеет
поточную форму.
Участок оснащен тремя автоматическими линиями, а также
высокопроизводительными агрегатными и специализированными станками. Рабочие
места расположены в порядке последовательности выполняемых операций, то есть по
ходу технологического процесса обработки деталей. На каждой операции
располагается необходимое количество станков. Для облегчения труда и повышения
производительности применяются конвейеры, подвесные устройства и склизы.
Транспортирование заготовок со склада металлов и отвоз
готовых деталей на участок сборки осуществляется автопогрузчиком БВ2733.
На участке находится технологический контроль, где проводятся
измерения с помощью приборов активного контроля, универсальных приспособлений,
а также калибров, штангенциркулей, шаблонов.
Режим работы проектируемого участка принимается односменный.
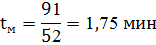
Действительный годовой фонд времени определяется по формуле
где F - действительный годовой фонд времени, мин;
Кр - коэффициент, учитывающий простои оборудования
в плановых ремонтах, 0,97;
Dр - количество рабочих дней в 2009 году, 250;
Тсм - продолжительность рабочей смены, 8 ч;
S - количество смен, 1.
Такт выпуска определяется по формуле
где τ - такт выпуска, мин/шт.
2. Технологическая часть
.1 Обработка конструкции детали на
технологичность
Одной из специфичных деталей конструкции автобуса являются
поворотные кулаки, соединяющие в себе требования, предъявляемые к технологии
обработки валов (цапф), с одной стороны, и рычагов (фланцевая часть), с другой
[2].
В качестве заготовки используется поковка соответствующей
формы.
Материал детали хорошо обрабатывается резанием.
Обрабатываемые поверхности представляют собой плоскости,
наружные и внутренние цилиндры, конусы. Это позволяет применять
высокопроизводительное оборудование.
Размерные соотношения детали позволяют применить
многоинструментальную обработку.
При обработке технологическими базами служат центровые
отверстия, торец фланца, шейки цапфы. Эти базы позволяют обработать деталь с
наибольшей точностью, так как все основные размеры по техническим условиям
чертежа заданы относительно осей детали, пересекающихся под углом 11°±15'.
Обработанные поверхности контролируют по тем же
технологическим базам, по которым обрабатывают заготовку. Технологические базы
совпадают с измерительными, что обеспечивает наибольшую точность обработки и
измерения.
Количественной оценкой технологичности конструкции является
коэффициент использования материала, который определяется по формуле
где Ки.м. - коэффициент использования материала;
mд - масса детали, 25 кг;
mз - масса заготовки, 44 кг.
2.2 Анализ технических условий на деталь
Поворотный кулак относится к деталям класса «круглые
стержни».
Специфичным требованием к конструкции кулака является
выдерживание точного угла наклона оси хвостовика к оси отверстий под шкворень.
Требования по точности размеров: наружные диаметры под
подшипники Погрешности формы: допуск плоскостности наружных поверхностей
проушин не более 0,08 мм; допуск плоскостности уступов проушин не более 0,1 мм.
Погрешности взаимного расположения ограничены допуском
позиционным 14 отверстий М14×1,5-6Н (0,12); допуском
позиционным четырех отверстий М20×1,5-6Н (0,25); допуском
позиционным отверстий М8-6Н (0,16); допуском соосности двух отверстий Ø78,5+0,046 (0,02); допуском пересечения осей двух
отверстий Ø78,5+0,046 (0,2);
допуском перпендикулярности внутренних поверхностей проушин относительно оси
проушин (0,15); допуском перпендикулярности плоскостей шипа 64±0,023 (0.1);
допуском радиального биения выточки верхней проушины Ø87+0.2 (0,3); допусками радиального биения шеек хвостовика (0,01);
допуском торцового биения (0,04).
Качество поверхностного слоя регламентировано твердостью НВ
212…248 и шероховатостью поверхностей по среднему арифметическому отклонению
профиля Ra для шеек хвостовика 0,63 мкм и для проушин 2,5 мкм. Остальные
поверхности выполнены по 3, 4 и 5 классам шероховатости.
Исходя из назначения детали и технических требований к ней,
можно заключить что: поверхности шеек хвостовика и торца фланца являются
основными, так как определяют положение детали в узле; боковой торец верхней и
нижней проушин являются исполнительными поверхностями, так как являются местом
крепления рычагов; вспомогательными поверхностями являются поверхности
отверстия и внутренние торцы проушин, так как определяют положение деталей,
присоединяемых к поворотному кулаку. Остальные поверхности детали - свободные.
2.3 Обоснование метода изготовления заготовки
Поворотный кулак является ответственной деталью, к которой
предъявляются повышенные требования по механическим свойствам, особенно по
ударной вязкости. Такие детали рекомендуется изготавливать из кованных или
штампованных заготовок.
Процессы при обработке металлов давлением занимают ведущее
положение в заготовительном производстве в силу своей универсальности, высокой
производительности, сравнительно низкой себестоимости и положительному влиянию
на структуру и механические свойства заготовок.
Материал, применяемый для изготовления поворотных кулаков,
должен противостоять действию ударных нагрузок, изгибу и кручению и легко
обрабатываться. Сталь 40Х отвечает этим требованиям.
Заготовку получают штампованием на прессе [3] с одним
нагревом в следующей последовательности: осадка; предварительное штампование с
выдавливание хвостовика вниз и двух бобышек наклонно вверх; окончательное
штампование; обрезка заусенцев; горячая правка поковки на кривошипном чеканном
прессе; в холодном виде подрезание концов хвостовика до требуемого размера.
Затем заготовки подвергают термической обработке. При этом их твердость
соответствует НВ 220 - 240.
Поковка имеет следующие характеристики:
класс точности - Т4;
степень сложности - С4;
группа сложности - 4;
группа стали - М2;
исходный индекс - 18.
На поковке допускается: остаточный облой не более 3 мм;
внешние дефекты глубиной не более 1,5 мм, а на базовых поверхностях до 1,0 мм;
смещение по разъему штампов не более 2,0 мм.
2.4 Выбор и обоснование технологических баз
Обработку поворотных кулаков можно подразделить на следующие
стадии:
обработка хвостовика;
обработка бобышек и отверстий под шкворень;
обработка мелких отверстий.
При обработке поворотного кулака технологическими базами
служат:
черновые шейки цапфы и торец фланца при сверлении центровых отверстий
и подрезки торца;
центровые отверстия при обработке на токарном и шлифовальном
станках;
шлифовальная шейка цапфы при фрезеровании плоскостей во
фланце и сверлении в нем отверстий;
шлифовальная шейка цапфы и в качестве угловой вспомогательной
базы отверстие во фланце при обработке в спутнике отверстий под шкворень и
других поверхностей.
Комплекты баз и схемы установки, применяемые на основных
этапах обработки шестерни ведущей, представлены в таблице 4.
Таблица 4 - Комплекты баз
№ комплекта баз
Наименование обработки по этапу техпроцесса
Теоретическая схема базирования по ГОСТ
21495-79
Теоретическая схема установки по ГОСТ 3.1107-81
1
Этап 1. Подготовка технологических баз -
центровых отверстий с одновременной обработкой торца
1, 2, 3, 4 - двойная направляющая скрытая база
5 - опорная явная база 6 - опорная скрытая база
1, 2, 3, 4 - самоцентрирующие призмы 5 - упор
2 Этап 2. Токарная обработка фланца , 2, 3, 4 - двойная направляющая скрытая база
- опорная явная база
- опорная скрытая база 1, 2, 3, 4, 5 - центра
3 Этап 3. Фрезерование проушин - опорная явная база
- опорная явная база , 2, 3, 4 - призмы
- упор
6 - опора
4 Этап 4. Черновая и чистовая шлифовка шеек цапфы , 2, 3, 4 - двойная направляющая скрытая база
- опорная явная база
- опорная скрытая база , 2, 3, 4 - центра
5 - упор
5 Этап 5. Сверление отверстий во фланце , 2, 3 - установочная явная база
, 5 - двойная опорная явная база
- опорная явная база 4, 5 - втулка 6 - упор
6 Этап 6. Обработка фланцевой части , 2, 3 - установочная явная база
, 5 - двойная опорная явная база
- опорная явная база , 2, 3 - плоскость
, 5 - втулка
6 - палец
7 Этап 7. Протягивание , 2, 3, 4 - двойная направляющая явная база
- опорная явная база
- опорная явная база 1, 2, 3, 4 - призмы 5, 6 - пальцы
8 Этап 8. Нарезание резьбы в отверстиях на торце
фланца и обработка хвостовика , 2, 3 - установочная явная база
, 5 - двойная опорная явная база
- опорная явная база , 2, 3 - плоскость
, 5 - втулка
6 - палец
9 Этап 9. Обработка прилива , 2, 3 - установочная явная база
, 5 - направляющая явная база 6 - опорная явная база , 2, 3 - плоскость
, 5 - подводимая плоскость
6 - упор
2.5 Разработка технологического маршрута
При разработке данного технологического маршрута механической
обработки кулака поворотного были использованы базовый маршрут, применяемый на
предприятии, и типовой технологический маршрут.
Последовательность операций в данном технологическом маршруте
позволяет получить требуемую точность обработки и шероховатость поверхностей,
взаимное расположение осей и поверхностей, правильность контура и т.д.
Технологический маршрут начинается с обработки центровых
отверстий, которые будут служить технологической базой для последующих
операций.
При последующей обработке используется принцип концентрации
операций, позволяющий получить высокую производительность. Обработка ведется на
агрегатных станках и автоматических линиях, позволяющих за один установ
обработать несколько поверхностей. Это ведет к уменьшению погрешностей
установки, сокращению времени обработки, повышению качества и точности
обработки поверхностей.
В конце технологического маршрута шлифуются торец фланца и
шейки цапфы, на которые устанавливаются подшипники. Эти поверхности являются
наиболее точными.
Заканчивается маршрут обработкой прилива на агрегатном
станке. На этой операции фрезеруется площадка под датчик АБС, сверлится и
развертывается отверстие.
Таблица 5 - Технологический маршрут обработки поворотного кулака
№ операции
Наименование операции
Оборудование
005
Агрегатная
Агрегатный двухсторонний сверлильный
полуавтомат АМ15383
010
Автоматно-линейная
ЛКМВ-359 А
015
Горизонтально-фрезерная
Специальный горизонтально-фрезерный полуавтомат
ГФ2487
020
Горизонтально-фрезерная
Специальный горизонтально-фрезерный полуавтомат
ГФ2487
025
Горизонтально-фрезерная
Специальный горизонтально-фрезерный полуавтомат
ГФ2487
030
Горизонтально-фрезерная
Специальный горизонтально-фрезерный полуавтомат
ГФ2487
035
Торце-круглошлифовальная
Торцекруглошлифовальный врезной полуавтомат
ХШ4-12Н45
040
Торце-круглошлифовальная
Торцекруглошлифовальный врезной полуавтомат
ХШ4-12Н45
045
Круглошлифовальная
Круглошлифовальный полуавтомат 3М161Е
050
Агрегатная
АМ13608
055
Автоматно-линейная
ЛК0001
060
Автоматно-линейная
ЛК0002
065
Вертикально-протяжная
Вертикально-протяжной полуавтомат для наружного
протягивания МП7734
070
Слесарная
Верстак
075
Агрегатная
Агрегатный горизонтально-сверлильный
резьбонарезной 18 шпиндельный 4 позиционный полуавтомат АМ13609
080
Агрегатная
Агрегатный горизонтально-сверлильный
резьбонарезной 4 позиционный полуавтомат АМ13610
085
Агрегатная
Агрегатный сверлильно - резьбонарезной 4
позиционный 5 шпиндельный полуавтомат АМ13611
090
Агрегатная
Агрегатный сверлильно - резьбонарезной 4
позиционный полуавтомат 3ХА5617
095
Торце-круглошлифовальная
Торцекруглошлифовальный врезной полуавтомат
ХШ4-12Н45
100
Круглошлифовальная
Круглошлифовальный полуавтомат 3М161Е
105
Анрегатная
Агрегатный вертикально-сверлильный 5
позиционный полуавтомат АМ13612
110
Промывка
Машина моечная 220074
115 Контрольный стол
2.6 Разработка технологических операций
Разработка технологических операций включает:
установление рациональной последовательности технологических
переходов и рабочих ходов в операции;
выбор моделей станков;
выбор инструмента;
расчет операционных припусков и размеров;
расчет режимов резания;
расчет штучного времени.
Выбор моделей оборудования производится с учетом типа
производства и станков, используемых в базовом технологическом процессе. Это в
основном агрегатные и специализированные станки, а также три автоматические
линии.
Обработка ведется в основном унифицированным режущим
инструментом. Это торцевые и дисковые фрезы, сверла, метчики, токарные резцы,
шлифовальные круги.
Расчет операционных припусков и размеров
Расчет операционных припусков и размеров осуществляется для
наиболее ответственных поверхностей, которыми являются шейки цапфы,
расчетно-аналитическим методом [4].
Исходные данные:
а) требуемый размер - б) требуемая шероховатость - Ra 0,63;
в) масса заготовки - 44 кг;
г) годовая программа выпуска - 45000 шт.
Для достижения заданной шероховатости обработку следует
производить в четыре этапа:
черновое обтачивание;
чистовое обтачивание;
- предварительное шлифование;
- чистовое шлифование.
По таблице точности и качества поверхности определяются
значения допусков для соответствующих операций. Для окончательной операции
значение допуска берется с чертежа детали. Допуск на заготовку четвертого
класса точности по таблице составляет 1900 мкм.
Суммарное значение пространственных отклонений для
штампованных поковок определяется по формуле
где Пространственные отклонения для чернового и чистового точения
определяются по формуле
где На операциях шлифования пространственные отклонения малы и не
учитываются.
Расчетные значения минимальных припусков при обработке поковок
в центрах определяются по формуле
где Расчетные припуски определяются по формуле
где Расчетные размеры определяются по формуле
где Наибольшие предельные размеры получаются путем округления в
большую сторону соответствующих расчетных размеров.
Наименьшие предельные размеры определяются по формуле
где Предельные значения припусков определяются по формулам
где где Предельные значения общих припусков определяется по формулам
где Проверка расчетов осуществляется по следующей формуле
где Размер заготовки Все расчеты сводятся в таблицу 6.
Таблица 6 - Расчет припусков на наружный диаметр Технологические операции и переходы
Элементы припуска, мкм
Минимальный припуск Zmin, мкм
Расчетный припуск Zрасч, мкм
Расчетный размер, мм
Допуск Т, мкм
Предельные значения припусков, мкм
Предельные размеры заготовки, мм
Rz
П
ρ
Заготовка
320
350
895
-
-
66,374
1900
-
-
64,5
66,4
Точение черновое
80
50
54
3190
5090
61,284
460
3210
5570
60,83
61,29
Точение чистовое
20
25
36
368
828
60,456
190
370
1020
60,27
60,46
Шлифование предварительное
10
20
-
162
352
60,104
74
166
430
60,03
60,104
Шлифование окончательное
2,5
15
-
60
134
59,97
30
60
164
59,94
59,97
4530
6460
Исходные данные:
а) требуемый размер - б) требуемая шероховатость - Ra 0,63;
в) масса заготовки - 44 кг;
г) годовая программа выпуска - 45000 шт.
Для достижения заданной шероховатости обработку следует
производить в четыре этапа:
черновое обтачивание;
чистовое обтачивание;
предварительное шлифование;
чистовое шлифование.
По таблице точности и качества поверхности определяются
значения допусков для соответствующих операций. Для окончательной операции
значение допуска берется с чертежа детали. Допуск на заготовку четвертого
класса точности по таблице составляет 1900 мкм.
Суммарное значение пространственных отклонений для
штампованных поковок определяется по формуле (5)
Пространственные отклонения для чернового и чистового точения
определяются по формуле (6)
На операциях шлифования пространственные отклонения малы и не
учитываются.
Расчетные значения минимальных припусков при обработке
поковок в центрах определяются по формуле (7)
Расчетные припуски определяются по формуле (8)
Расчетные размеры определяются по формуле (9)
Наибольшие предельные размеры получаются путем округления в
большую сторону соответствующих расчетных размеров.
Наименьшие предельные размеры определяются по формуле (10)
Предельные значения припусков определяются по формулам (11),
(12)
Предельные значения общих припусков определяется по формулам
(13), (14)
Проверка расчетов осуществляется по следующей формуле (15)
Размер заготовки Все расчеты сводятся в таблицу 7.
Таблица 7 - Расчет припусков на наружный диаметр Технологические операции и переходы
Элементы припуска, мкм
Минимальный припуск Zmin, мкм
Расчетный припуск Zрасч, мкм
Расчетный размер, мм
Допуск Т, мкм
Предельные значения припусков, мкм
Предельные размеры заготовки, мм
Rz
П
ρ
Заготовка
320
350
895
-
-
81,374
1900
-
-
79,5
81,4
Точение черновое
80
50
54
3190
5090
76,284
460
3210
5570
75,83
76,29
Точение чистовое
20
25
36
368
828
75,456
190
370
1020
75,27
75,46
Шлифование предварительное
10
20
-
162
352
75,104
74
166
430
75,03
75,104
Шлифование окончательное
2,5
15
-
60
134
74,97
30
60
164
74,94
74,97
4530
6460
Данный расчёт является теоретическим и не может учитывать
всех реальных условий обработки. Поэтому в технологическом процессе
изготовления поворотного кулака более рационально назначить операционные
припуски и размеры, применяемые на базовом предприятии.
Расчет режимов резания и штучного времени
Расчет режимов резания производится с использованием
справочно-нормативных материалов [5].
Операция 010 Автоматно-линейная.
Позиция 1 Подрезать торец фланца и обточить контур цапфы,
выдерживая размеры 260±0,65; Ø120-0,5; 78±0,1; 138±0,1; Ø78+0,74,
Ø63+0,74,
Ø50+0,74 (рисунок 3).
Исходные данные:
а) оборудование - автоматизированный специальный токарный
многорезцовый копировальный станок модели КМ151001;
б) обрабатываемый материал - сталь 40Х;
в) инструмент:
) резец подрезной, материал режущей части Т5К10;
) резец проходной, материал режущей части Т5К10;
) резец проходной, материал режущей части Т5К10;
г) СОЖ - эмульсия.
Определяется длина рабочего хода для каждого инструмента
где Длина рабочего хода копировального суппорта определяется по
резцу, имеющему наибольшую длину рабочего хода
Подачи суппортов выбираются в зависимости от глубины резания
Рекомендуемое значение скорости для лимитирующих инструментов
наладки определяется по формуле
где Рекомендуемое число оборотов шпинделя определяется по формуле где D - наибольший обрабатываемый диаметр, мм.
По паспорту станка принимается 200 мин-1 и 315 мин-1.
Машинное время определяется по формуле
где Машинное время всей позиции определяется по формуле
где Операция 030 Горизонтально-фрезерная.
Фрезеровать проушины в размер 272-1,3, 130+1,0,
66-0,74.
Исходные данные:
а) оборудование - специальный горизонтально-фрезерный станок
модели ГФ 2487;
б) обрабатываемый материал - сталь 40Х;
в) инструмент:
) фреза дисковая праворежущая диаметром Ø450 мм, материал режущей части Т5К10, глубина резания 4 мм;
) фреза дисковая леворежущая диаметром Ø450 мм, материал режущей части Т5К10, глубина резания 16 мм;
) фреза дисковая праворежущая диаметром Ø450 мм, материал режущей части Т5К10, глубина резания 16 мм;
) фреза дисковая леворежущая диаметром Ø450 мм, материал режущей части Т5К10, глубина резания 4 мм;
г) СОЖ - укринол - 1 3-5% ТУ 38-101-197-75.
Длина рабочего хода определяется по формуле (16)
Подачи на зуб фрезы принимается 0,08 мм/зуб.
Подача на оборот шпинделя определяется по формуле
где Стойкости инструментов определяется по формуле
где Тм - стойкость отдельных фрез, 500 мин;
К - коэффициент, учитывающий неравномерность загрузки
инструмента, 0,13.
Рекомендуемое значение скорости резания определяется по
формуле
где К1 - коэффициент, зависящий от обрабатываемой
стали, 0,9;
К2 - коэффициент, зависящий от инструментального
материала, 1;
К3 - коэффициент, зависящий от стойкости, 0,85.
Рекомендуемое число оборотов шпинделя определяется по формуле
где D - диаметр инструмента, мм.
По паспорту станка принимается 50 мин-1.
Минутная подача определяется по формуле
где По паспорту станка принимается 100 мм/мин.
Машинное время определяется по формуле
где Штучное время определяется по формуле
где Операция 055 Автоматно-линейная.
Позиция 1
Переход 1 Фрезеровать поверхность, выдерживая размеры
72±0,15; 101±0,15 (рисунок 4).
Исходные данные:
а) оборудование - двухсторонний фрезерно-сверлильный
двухшпиндельный станок для встройки в автоматическую линию;
б) обрабатываемый материал - сталь 40Х;
в) инструмент - фреза торцовая диаметром Ø250, материал режущей части Т5К10;
г) СОЖ - укринол - 1 3 - 5% ТУ 38-101-197-75.
Длина рабочего хода определяется по формуле (16)
Подачи на зуб фрезы принимается 0,15 мм/зуб.
Подача на оборот шпинделя определяется по формуле (21)
Рекомендуемое значение скорости резания определяется по
формуле (23)
Рекомендуемое число оборотов шпинделя определяется по формуле
(24)
По паспорту станка принимается 97 мин-1.
Минутная подача определяется по формуле (25)
По паспорту станка принимается 200 мм/мин.
Машинное время определяется по формуле (26)
Переход 2 Сверлить отверстие, выдерживая размеры Ø44+0,62; 72±0,15 (рисунок 4).
Исходные данные:
а) оборудование - двухсторонний фрезерно-сверлильный
двухшпиндельный станок для встройки в автоматическую линию;
б) обрабатываемый материал - сталь 40Х;
в) инструмент - сверло диаметром Ø44, материал режущей части Р6М5;
г) СОЖ - укринол - 1 3 - 5% ТУ 38-101-197-75.
Длина рабочего хода определяется по формуле (16)
Подачи на оборот шпинделя принимается 0,52 мм/об.
Рекомендуемое значение скорости резания определяется по
формуле (23)
Рекомендуемое число оборотов шпинделя определяется по формуле
(24)
По паспорту станка принимается 100 мин-1.
Минутная подача определяется по формуле
где Машинное время определяется по формуле (26)
Так как обработка ведется одновременно двумя инструментами,
то в расчете штучного времени позиции используется машинное время лимитирующего
инструмента.
Операция 100 Круглошлифовальная.
Шлифовать поверхность в размер Исходные данные:
а) оборудование - круглошлифовальный полуавтомат 3М161Е;
б) обрабатываемый материал - сталь 40Х;
в) инструмент - шлифовальный круг ПП 750 г) СОЖ - укринол - 1 3-5% ТУ 38-101-197-75.
Выбор характеристики, формы и геометрических размеров
шлифовального круга:
а) материал зерна -24А;
б) зернистость - 40-П;
в) твердость - С1;
г) структура - 6;
д) связка - К5.
Скорость вращения шлифовального круга определяется по формуле
где Скорость вращения детали принимается по нормативам 20 м/мин.
Частота вращения детали определяется по формуле
где D - диаметр обработки, 60 мм.
Принимается по паспорту станка110 мин-1.
Уточняется скорость вращения детали по формуле
где Поперечная подача определяется по формуле
где Назначение ускоренной подачи по формуле
где Длина шлифования на рабочей подаче определяется по формуле
где Длина на ускоренной подаче определяется по формуле
где Машинное время определяется по формуле
где Штучное время определяется по формуле (27)
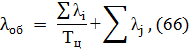
2.7 Определение потребности в оборудовании
Расчётное количество оборудования поточной линии определяется
для каждой операции по формуле
где Расчётное количество автоматических линий определяется по
формуле
где П - количество деталей, обрабатываемых в смену, шт.;
Q - производительность автоматической линии смену, шт.
Полученное расчётное число оборудования может быть дробным, в
этом случае оно округляется до ближайшего большего целого числа, чем и
определяется принятое количество оборудования для данной операции.
Загрузка оборудования во времени по каждой операции
определяется как отношение расчетного к принятому количеству единиц
оборудования
Полученные данные сводятся в таблицу 8.
Таблица 8 - Расчёт количества оборудования
и его загрузки
1
0,54
1
0,86
1
0,93
1
0,93
1
0,93
1
0,93
1
0,94
1
0,90
1
0,69
1
0,49
1
0,69
1
0,68
1
0,63
1
0,59
1
0,69
1
0,72
1
0,61
1
0,90
1
0,95
1
0,68
1
0,90
1
0,23
Средний коэффициент загрузки оборудования
по участку в целом определяется по формуле
где 2.8 Расчет погрешности
базирования
Расчёт погрешности базирования производится для комплекта баз
и схемы установки, используемых на этапе фрезерования проушин (см. таблицу 4).
Этот этап включает четыре горизонтально-фрезерные операции.
Согласно схеме базирования, представленной на рисунке 5,
погрешность базирования для размеров 66-0,74, 130+1,0,
272-1,3 отсутствует, так как точность обеспечивается наладкой
инструментов. Для размеров 11°±15' и 76±0,37 погрешность базирования отсутствует,
так как конструкторская база (ось детали) совпадает с технологической.
Для размера 69±0,6 погрешность базирования равна допуску на
размер 101±0,15: 3. Научно-исследовательская часть
.1 Цели и задачи вопроса
Шлифование - один из прогрессивных методов обработки металлов
резанием. В процессе шлифования заготовок абразивный инструмент постепенно
теряет свои режущие способности в результате затупления, засаливания абразивных
зерен и забивание пор отходами обработки. Одновременно искажается и
геометрическая форма. Восстановление режущей способности и подготовку рабочей
поверхности шлифовального круга к резанию осуществляют путем правки. От
качества формированной при правке рабочей поверхности шлифовального круга в значительной
степени зависит как производительность шлифования, так и качество шлифуемых
деталей.
В настоящее время в связи с увеличением стоимости абразивного
инструмента возрос интерес к совершенствованию процесса правки шлифовальных
кругов, так как затраты на правку достигают 70% от себестоимости шлифовальных
операций. Также на правку расходуется от
до 90% полезного объёма шлифовального круга [6-9]. Поэтому
весьма актуальной становится задача уменьшения расхода шлифовальных кругов и
алмазного правящего инструмента.
Величина снимаемого при правке слоя абразива определяется
тремя факторами [6]:
) некруглостью круга, вызываемой его неравномерным износом
или биением вследствие неуравновешенности вращающихся масс;
) волнистостью круга, вызываемой его неравномерным износом
из-за вибраций;
) затуплением режущих кромок абразивных зёрен круга.
Общая глубина снимаемого слоя абразива при правке хорошо
отбалансированного мелкозернистого круга твёрдостью от С1 и выше равна h = (13 - 15) мкм, а при
правке на менее жёстком станке крупнозернистого круга твёрдостью СМ1 - М3 h = (70 - 100) мкм, то
есть увеличивается в (5 - 7) раз.
Диапазон глубины слоя абразива, удаляемого при правке
достаточно широк (0,02 - 0,15) мм, что объясняется различием характеристик и
погрешностей формы кругов, уровня их балансировки, жёсткости технологической
системы.
Лишние проходы правящего инструмента нежелательны, так как
приводят к увеличению расхода шлифовальных кругов, износу правящего инструмента
и уменьшению производительности процесса правки, поэтому необходимы дальнейшие
исследования по выяснению минимально необходимой глубины h снимаемого при правке
слоя абразива.
Для выбора эффективного метода контроля правки шлифовальных
кругов использовался патентный поиск. Известные системы контроля состояния
режущей способности шлифовальных кругов и процессов правки, например,
вибрационные, пневматические и другие, сложны в реализации и неточны. Поэтому
они не находят применения в промышленных условиях. Одним из перспективных путей
решения этой проблемы является использование в качестве источника информации о
режущей способности шлифовальных кругов в ходе правки акустического (звукового)
сигнала, генерируемого в зоне правки [10].
Природа возникновения акустического сигнала при правке
представляет собой результат дискретного ударного воздействия абразивных зерен
и связки круга на правящий инструмент, адекватен процессу шлифования, то есть
источником звуковых сигналов являются собственные изгибные колебания торцов
круга [10].
Режимы правки в условиях производства выбираются по
нормативам [11], а состояние режущей способности шлифовальных кругов
определяется только по качеству прошлифованных поверхностей деталей
(шероховатости, наличию прижогов и других дефектов), то есть процесс контроля и
управления правкой отсутствует, а его качество субъективно зависит от
квалификации шлифовщика. Поэтому актуальной становится проблема поиска способов
контроля и управления процессами правки шлифовальных кругов для снижения их
расходов.
Целью исследования акустического сигнала является разработка
математической модели образования звуковых сигналов при правке шлифовальных
кругов, проверка её адекватности, создание базы данных для системы
автоматического управления процессом правки шлифовальных кругов на операциях
круглого наружного шлифования и разработка такой системы.
3.2 Методика проведения исследования
Критерии оценки технологической эффективности процесса правки
и шлифования
Критерием оценки процесса правки и шлифования являются:
глубина снимаемого слоя абразива h, мм;
информативная частота звуковых колебаний f, Гц;
амплитудное значение эффективного напряжения исследуемого
звукового давления в полосе пропускания Aз.
где Е - чувствительность микрофона, В×м2/Н;
Ку - коэффициент усиление звукового сигнала;
Контролируемые параметры и средства их измерения, режимы
проведения исследования
Для оценки условий взаимодействий шлифовального круга с
материалами обрабатываемой заготовки в зоне шлифования, а также с правящим
инструментом контролировались следующие параметры:
скорость шлифовального круга Vкр=50 м/с;
поперечная подача правящего инструмента St=0,005 мм/дв. ход;
продольная подача правящего инструмента Sпр=0,2 м/мин;
скорость детали Vд=21 м/мин;
величина снимаемого припуска z=0,1 мм.
Контроль перечисленных режимов правки и шлифования
производили по лимбам станка и с помощью универсальных измерительных средств
(тахометр, масштабная линейка, секундомер).
Обрабатываемый материал - сталь 40Х. Правящий инструмент -
алмазный карандаш.
Фактический съем обрабатываемого материала определялось при
помощи микрометра МК с ценой деления 0,01 мм.
Математическое моделирование зависимости (41) было выполнено
для правки круга характеристики 24А40-ПС16К5, для которого коэффициенты
k1 = k1 = 1; D = 450
÷ 750
мм, d
= 305; Н = 20 ÷ 50 мм. Экспериментальная
установка смонтирована на базе круглошлифовального станка 3М161Е.
Экспериментальная установка
Звуковые сигналы, возникающие в зоне контакта шлифовального
круга 1 с правящим инструментом 2 и излучаемые торцовыми поверхностями круга,
принимали и преобразовывали с помощью первичного преобразователя (микрофона) 3,
встроенном в защитном кожухе 4 станка. Далее электрические сигналы поступались
в двухканальный аналого-цифровой преобразователь (звуковую карту) 5, встроенную
в персональный компьютер 6, где происходила регистрация и обработка звуковых
сигналов с помощью оптимизированных пакетов программ.
Исследование звукового поля
Данный способ определения момента правки, при котором
регистрируют амплитуду собственных колебаний шлифовального круга, имеющих
частоту f,
зависящую от геометрических и физико-механических характеристик шлифовального
круга, и определяемую как для диска с одной или двумя узловыми окружностями.
Колебания с частотами, отличными от f, в расчет не принимаются и исключаются
полосовыми фильтрами, что существенно снижает влияние посторонних шумов и
колебаний технологической системы на точность определения момента правки.
Вследствие повышения точности определения момента правки шлифование может
проводиться при более высоких режимах без ухудшения качества обработанной
поверхности.
Предлагаемый способ определения момента правки включает
регистрацию амплитуды звукового сигнала в течение цикла шлифования. Для
определения уставной величины АЗпр тестовую деталь шлифуют до
появления дефекта обработанной поверхности, фиксируя величину амплитуды АЗ
в момент появления дефекта. Эту величину принимают за уставную, которая
определяет момент правки. Для нейтрализации помех, возникающих в
технологической системе при шлифовании замеряют амплитуду звукового давления на
частоте f
информативных колебаний, в качестве которой может быть принята частота
собственных колебаний шлифовального круга, определяемая заранее как для диска с
одной или двумя узловыми окружностями.
Установлено [9], что основным источником звуковых сигналов
являются собственные изгибные колебания торцов шлифовального круга, частоту
которых для кругов с наружным диаметром 750 мм можно рассчитать как для диска с
двумя узловыми окружностями. Звуковое излучение, возникающие в зоне правки,
распространяется в виде упругих волн как по телу колеблющегося шлифовального
круга и правящего инструмента, так и в воздухе, окружающем круг и правящий
инструмент, и несут полезную текущую информацию для контроля и управления
процессами правки. Поэтому должна существовать определенная корреляционная
связь между технологическими параметрами процесса правки и параметрами
звукового излучения, которую можно использовать в качестве информационного
сигнала для контроля и управления процессом правки с целью оптимизации глубины
снимаемого слоя абразива, т.е. определения момента начала и окончания процесса
правки.
В результате исследования звукового поля при правке на
операциях круглого наружного шлифования была уточнена математическая модель
звукового давления
где ρ - плотность воздуха, кг/м3;
с - скорость распространения звука в среде (воздухе), м/с;(µ)
- функция коэффициента Пуассона;- информативная частота звуковых колебаний,
определяемая по результатам экспериментов, Гц;- модуль сдвига шлифовального
круга, МПа;
Н - высота круга,
м;- волновое число, м-1;, D - соответственно внутренний и наружный
диаметры круга, м;
РП -
сила правки, Н;
k1 и k2 - поправочные коэффициенты, учитывающие соответственно твёрдость
и структуру круга.
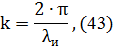
где k - волновое число, м-1;
λи - длина изгибной волны
круга, м.
Силу правки кругов при круглом наружном шлифовании
определяется по данным работы [9]
где Sпр - продольная подача, м/мин;
St - врезная подача, мм/дв. ход;
N - коэффициент, численно равный номеру зернистости круга;
CV - показатель степени, численно равный скорости
резания, м/с;
Cd - показатель
степени, численно равный диаметру смоченного жидкостью пятна на абразиве, мм;
CE - показатель степени, численно равный величине
модуля упругости шлифовального круга, МПа.
Зависимость (42) является математической моделью, связывающей
звуковое давление с силой правки РП, а значит и с технологическими
параметрами процесса правки, с размерами и характеристиками шлифовальных кругов
плоского профиля.
Установлено, что в отличие от процесса шлифования заготовок
информационная частота звуковых сигналов при правке смещается в область высоких
частот f = 3840 ÷ 3860 Гц, где амплитуда Аз
звукового давления увеличивается по сравнению с работой станка на холостом ходу
в 3,5 ÷ 6 раз. Это объясняется тем, что сила правки шлифовального круга
заметно меньше, чем сила резания при шлифовании, поэтому чувствительность
преобразователя звуковых сигналов смещалась в область высоких частот. Таким
образом, в результате анализа спектра звуковых колебаний в качестве
информативной частоты была принята частота f=3850 Гц, на которой
проводились все дальнейшие измерения звукового давления при исследовании
звуковых сигналов, возникающих в процессе правки. Пример регистрации спектра
частот звуковых сигналов при правке шлифовального круга приведен на рисунке 8.
Как видно из рисунка 9, увеличение врезной подачи St оказывает доминирующее
влияние на повышение силы правки Р. Это обусловлено увеличение объема
снимаемого абразива, поскольку правящий карандаш будет глубже внедряться в
поверхность шлифовального круга.
Высота шлифовального круга Н влияет на изменение звукового
давления в большей степени, чем наружный диаметр D (рисунок 10). Уменьшение
отношения Н/D
приводит к уменьшению жесткости круга и, как следствие, увеличением амплитуды
колебаний при неизменных режимах правки.
Алгоритм функционирования системы управления процессом правки
Алгоритм функционирования системы управления процессом правки
представлен на рисунке 11. Процесс правки начинается после ввода в управляющую
программу исходной информации о типоразмере и физико-механических
характеристиках шлифовального круга и режимах правки, а также проверки условия
излучения информационного сигнала и расчёта уставной величины Аз.
Амплитуда звукового давления А0 определяется как среднее
арифметическое по результатам нескольких замеров, выполненных через равные промежутки
времени во время чистового прохода правящего инструмента.
Круг считается выправленным, если отклонение регистрируемой
амплитуды А0 от уставной величины Азпр не превышает
допустимого значения [δА].
3.3 Результаты исследований
Экспериментальная проверка текущего контроля процесса правки
на станке 3М161Е показала, что от прохода к проходу алмазного карандаша при
правке «засаленного» после шлифования шлифовального круга с постоянной глубиной
h = 0,005 мм снимаемого слоя
абразива амплитуда Aз звукового давления до определённого времени увеличивается, что
свидетельствует о восстановлении режущей способности круга, а затем несмотря на
увеличение глубины h стабилизируется.
Качество процесса правки шлифовального по звуковому сигналу,
оцениваемое по результатам шлифования заготовок из стали 40Х НВ 212…248,
надёжно обеспечивают качество шлифованных поверхностей по критерию Ra ≤ 1,25 мкм и
геометрическую точность в пределах 6 - 7 квалитетов. Кроме того суммарная
величина снимаемого слоя абразива h = 0,05 мм меньше рекомендуемой по нормативам
[11] h
= 0,08 мм в 1,6 раза, следовательно экономия шлифовального круга составляет
40%. Проверка адекватности математической модели показала, что
погрешность определения звукового давления составляет менее 17%. На основании
этой информации можно сделать вывод о возможности использования этой
математической модели для разработки системы автоматического управления
процессом правки на операциях круглого наружного шлифования.
4. Системы обеспечения функционирования участка
.1 Автоматизированная транспортно-складская
система
Автоматизированная транспортно-складская система АТСС -
система взаимосвязанных автоматизированных транспортных и складских устройств,
предназначенных для укладки, хранения, накопления, разгрузки и доставки
предметов труда и технологической оснастки. Она выполняет следующие функции:
прием заготовок (полуфабрикатов), готовых деталей,
технологической оснастки, размещение и временное хранение их в ячейках склада;
выдача со склада АТСС заготовок (полуфабрикатов),
технологической оснастки на позиции обработки, готовых деталей;
учет поступления, выдачи и наличия на складе АТСС заготовок
(полуфабрикатов), готовых деталей, и технологической оснастки;
транспортирование режущего инструмента из отделения настройки
к технологическому оборудованию и обратно.
Транспортирование заготовок в тарах (рисунок 13) со склада и
деталей на участок сборки производиться автопогрузчиком. Автопогрузчик,
показанный на рисунке 14, является безрельсовым подъемно-транспортным средством
и предназначен для подъема на высоту и перевозки грузов, установленных на
стеллажах, поддонов и других подставках. Автопогрузчик приспособлен для
движения по твердым, сравнительно гладким покрытиям. Основным грузоподъемным
приспособлением автопогрузчиков является вилка.
В качестве основного транспортного устройства на участке
используется паллетно-роликовый конвейер, служащий для перемещения и накопления
заготовок [12]. Перемещение заготовок на паллетах происходит под действием сил
трения, возникающих между образующей роликов и заготовками. Для перемещения
заготовки от конвейера к станку используется консольно-поворотный кран
грузоподъемностью 0,2 тн.
Помимо этих транспортных устройств применяются склизы,
осуществляющий самотечный способ транспортирования под действием силы веса
детали. Это самый простой и дешевый способ, который не требует различных
приводных устройств.
На операции 010 автоматно-линейной в качестве транспортного
устройства используется паллетно-роликовый транспортер с портальным
манипулятором. Данное транспортное устройство является одновременно магазином
для хранения и последовательной выдачи заготовок [13]. При этом способе
выполняются следующие перемещения:
захват автооператором заготовки с основного транспортера;
перемещение заготовки в рабочую зону для установки в центра;
после обработки снятие автооператором деталь с центров и
перемещение ее из рабочей зоны станка на основной транспортер линии;
перемещение детали вперед по основному транспорту линии с
одной рабочей позиции станка на позицию следующего станка для дальнейшей
обработки.
На операциях автоматно-линейных 055 и 060 транспортное
устройство сложное, на которых обработка заготовок производится в
приспособлениях-спутниках. Спутники между станками перемещаются на
палетно-роликовом транспортере. Имеется два транзитных накопителя, выполненного
в виде цепного конвейера. Первый для приема и хранения спутников с заготовками,
обработанными на 055 операции, его размещают между концом 055 операции и
началом 060 операции. Второй для приема спутников и передачи детали с помощью
консольно-поворотного крана на дальнейшую обработку.
Применение на данных операциях транзитных накопителей, а не
тупиковых объясняется тем, что транзитные накопители одновременно являются
транспортерами, соединяющими две операции, и, следовательно, занимают меньшую
площадь. Межстаночный транспортер проходит через рабочие зоны станков, обеспечивает
перенос приспособлений-спутников, их фиксацию и зажим на рабочих позициях во
время обработки. Перенос спутников осуществляются двумя штангами, опирающиеся
на опорные ролики. От смещения спутника ограничиваются четырьмя жесткими
упорами на штангах.
4.2 Система автоматизированного контроля
Основой надежной работы автоматизированных технологических
систем является непрерывный или периодический контроль за ходом
технологического процесса, реализуемых в этих системах. При этом решаются
задачи по контролю точности деталей, точности работы оборудования, выявлению
причин отклонения от заданной точности деталей и оборудования, к определению
методов и средств контроля, а также вопросы защиты от аварийных ситуаций.
Контроль - проверка соответствия объекта установленным
техническим требованиям. Под объектом технического контроля понимают
подвергаемую контролю продукцию, процессы ее создания, применения,
транспортирования, хранения, технического обслуживания и ремонта, а также
соответствующую техническую документацию.
Наиболее часто в промышленности, особенно в серийном
производстве, применяют самонастраивающиеся управляющие системы контроля с
коррекцией по отклонению измеряемого (контролируемого) параметра качества от
заданного значения. Для реализации функций контроля необходимы различные
измерительные устройства с датчиками, устройства сбора и обработки информации,
поступающей от измерительных устройств, а также устройства реализации
выработанных решений. В качестве последнего на операции 010 автоматно-линейной
применяется программируемый контроллер фирмы «Тесла», входящий в систему
управления автоматизированного комплекса.
Внедрение активного контроля деталей повышает качество
изготовляемых изделий, снижает трудоемкость и стоимость изготовления деталей,
процент брака, освобождает рабочего от необходимости контролировать размеры
обрабатываемых деталей.
На шлифовальных операциях в качестве приборов активного
устройства используется установка системы измерительный осевой и установка
системы измерительный индуктивный. Он состоит из отсчётно-командного
устройства, скобы и индуктивного преобразователя. Работа индуктивного
преобразователя основана на принципе изменения площади сечения магнитопровода
при перемещении измерительного наконечника. За счет этого изменяется индуктивное
сопротивление катушек преобразователя и их выходное напряжение. Сигнал
преобразователя, амплитуда которого пропорциональна контролируемому размеру,
преобразуется электронным блоком в сигнал, по величине и изменению которого
определяют изменение размера контролируемой детали.
На операции 060 автоматно-линейной производится
автоматический контроль отверстий с подналадкой алмазно-расточного станка.
Подналадчики - это измерительные приборы, которые через цепь обратной связи
производят подналадку станка, когда контролируемый размер детали выходит за
пределы допуска.
4.3 Система инструментального обеспечения
Система инструментального обеспечения технологического
процесса - обеспечивает накопление, хранение, переточку, транспортирование
режущего инструмента, который используется на операциях технологического
процесса. Новый инструмент централизованно проверяется и затачивается в
инструментальном цехе, затем поступает в инструментально раздаточные кладовые,
а затем - в отделение инструментального обеспечения.
Система инструментального обеспечения выполняет следующие
функции:
хранение минимальных запасов всей номенклатуры режущих и
вспомогательных инструментов и технической документации к ним;
сборка режущих и вспомогательных инструментов, настройка их
на размер;
разборка отработанного инструмента, замена сменных
неперетачиваемых пластин с механическим креплением, сортировка инструмента по
всем видам износа и степени разрушения;
размещение настроенных инструментов;
передача отработанного инструмента (при необходимости) в
инструментальный цех для восстановления.
Периодичность замены инструмента определяется на основе
данных о его стойкости. На линии должны быть предусмотрены инструментальные
шкафы, где хранится заранее установленное количество быстроизнашиваемого
инструмента.
4.4 Система удаления отходов
Уборка стружки на участке является трудной задачей. Стружка
убирается следующим образом: отвод из рабочей зоны станков, транспортирование
стружки в сборники цехового транспортера, очистка стружки от смазочно-охлаждающей
жидкости и шлама и ее переработка. Применяют следующие способы удаления стружки
из рабочей зоны станка: механический с помощью шнекового транспортера,
скребков, смывание стружки эмульсией.
Для лучшего попадания стружки на транспортер, размещенными
под станками линии, в станинах станков и в основаниях станочных приспособлений
устраиваются специальные проемы, через которые основная масса стружки попадает
на транспортер.
На операции 050 и 060 автоматно-линейной с
приспособлениями-спутниками базовые поверхности спутников промывают в моечных
машинах и продувают сжатым воздухом для удаления с них стружки и грязи.
Для удаления стружки со станков в сборники общецехового
транспортера применяется шнековый транспортер, обладающий требуемой
производительностью и жесткостью. При перемещении стружки он дробит ее и
улучшает транспортирование.
5. Специальные средства технологического
оснащения
.1 Расчет и проектирование станочного
приспособления
Установка и закрепление заготовки на автоматической линии при
обработке фланца поворотного кулака осуществляется в приспособлении-спутнике
[14].
Достоинством применения приспособлений-спутников является
обеспечение правильной ориентации заготовки при их перемещении вместе со
спутниками между станками линии.
Спутник состоит из двух частей. Нижняя нормализованная часть
выполнена в виде прямоугольной платформы с привернутыми к ней снизу четырьмя
планками и двумя отверстиями под фиксаторы. Верхняя специальная часть является
приспособлением, в котором устанавливают и закрепляют заготовки.
Заготовка устанавливается наружной поверхностью цапфы в
базовой втулке (поз. 14) до упора торцом фланца в плоскость базового кольца
(поз. 13) и зажимается с помощью двух прихватов (поз. 8 и поз. 19). Угловое
положение кулака фиксируется пальцем (поз. 10).
Два прихвата имеют отдельные механизмы зажима. Под действием
электромеханического привода винт перемещает втулку, в прорезь которой входит
вертикальное плечо рычага, установленного на оси. Горизонтальное плечо рычага,
входящее в отверстие вертикального толкателя, перемещает толкатель с
установленным на нем прихватом вниз при зажиме заготовки. Для разжима заготовки
прихваты перемещаются вверх при обратном вращении винта.
Фиксируется и закрепляется спутник на рабочих позициях линии
нормализованными зажимными станциями. Она имеет два гидроцилиндра с клиновыми
механизмами, которыми спутник прижимается к базовой плите снизу. При
перемещении штанги, в наклонный паз которой входит штифт, закрепленный в
фиксаторе, фиксатор входит во втулку (поз. 25) спутника.
Расчет величины зажимного усилия [15] будет производиться для
наиболее худшего случая, когда крутящий момент создаваемый силами резания,
стремящийся провернуть заготовку во втулке, будет максимален.
В данном случае наибольший момент резания возникает при
фрезеровании проушин двумя дисковыми фрезами.
Исходные данные:
а) материал детали - сталь 40Х;
б) инструмент - фрезы дисковые диаметром Ø400, материал режущей части Т5К10;
в) режим обработки:
) t - глубина резания, 1 мм;
) So - подача на оборот шпинделя, 1,92 мм/об;
) V - скорость резания, 70 м/мин;
) n - частота вращения шпинделя, 55 мин-1;
г) СОЖ - укринол - 1 3 - 5% ТУ 38-101-197-75.
На рисунке 20 представлена расчетная схема с указанием сил,
действующих на заготовку при обработке.
Условие равновесия заготовки при закреплении в
приспособлении-спутнике имеет вид
где К - коэффициент запаса, 2,5;
Мрез - момент резания, действующий на деталь, Н∙м.
где где х=0,9; у=0,8; q=1,1; w=0,1 - показатели степени;
Sz - подача на зуб фрезы, 0,096 мм/зуб;
В-ширина резания, 140 мм;
z - число зубьев фрезы, 20;
dф - диаметр фрезы, 400 мм;
КМр - поправочный коэффициент, учитывающий
качество обрабатываемого материала, 0,96.
где n - число прихватов, 2;
Qз - сила закрепления, Н;
fтр - коэффициент трения заготовки в контакте с
рабочими поверхностями прихвата, 0,15;
Dтр - диаметр трения, 0,208 м.
Требуемая сила закрепления заготовки одним прихватом
определяется по формуле
В процессе закрепления заготовки на прихват действуют сила
зажима Qз и сила Q' от рычага.
Для упрощения расчетов, пренебрегая силой трения прихвата, принимается
Q'=Qз.
Сила закрепления передается на прихват через равноплечий
рычаг. Сила на рычаге Q'' от винта определяется по формуле
где При расчете усилия развиваемого винтовой парой, для упрощения
расчетов, принимается
где W - осевое усилие в резьбе винтовой пары, Н.
Крутящий момент от электродвигателя определяется по формуле
где где где f - коэффициент трения резьбовой пары, 0,1.
Для закрепления заготовки необходимо перемещение прихвата на
5 мм. Скорость перемещения прихвата принимается 5 мм/сек. Так как рычаг
равноплечий, то скорость перемещения ползуна под действием винта также будет
равна 5 мм/сек.
При шаге винта S=6 мм, винту необходимо сделать 0,84 оборота за секунду.
Частота вращения винта принимается
Мощность, передаваемая на винт, определяется по формуле
где Мощность электродвигателя определяется по формуле
где Для привода выбирается электродвигатель асинхронный
трехфазного типа АИР 71В-8 с синхронной частотой вращения 750 мин-1
и мощностью 0,25 кВт [16].
Передаточное отношение понижающего редуктора определяется по
формуле
где Выбирается червячный одноступенчатый редуктор Ч-50.
5.2 Расчет и проектирование специальных средств
технического контроля
Настоящее контрольное приспособление применяется на
промежуточных этапах обработки (межоперационный контроль) и для окончательной
приемки, выявляя точность размеров и взаимного расположения поверхностей
поворотного кулака.
При выполнении операции контроля приспособление устанавливается
на плиту или стол, так чтобы не было качения и вибрации. Проверяемая деталь
устанавливается на две призмы поз. 13 и поз. 18, закрепленные на плите
контрольного приспособления поз. 4 винтами поз. 43 и поз. 48, и зажимается
рычажным прижимом поз. 2. В призме поз. 18 установлен фиксатор поз. 15 для
точного позиционирования поворотного кулака. Проушины кулака опираются на два
упора поз. 32. Необходимые для контроля принадлежности устанавливаются на плите
поз. 6.
В комплект принадлежностей входит три державки, три шаблона,
оправка, кольцо и пять индикаторов.
Таблица 9 - Проверяемые параметры
Проверяемые параметры
Предельные отклонения, мм
Размеры 146
±0,5
30
±0,3
72
±0,5
76
±0,37
76,75
±0,4
78
±0,2
101
±0,125
70
±1,0
69
±0,6
Угол 11°
±30'
Допуск пересечения осей поверхностей А, Б и С
0,2
Допуск биения поверхности Д относительно оси
поверхности С
0,3
Проверка размера 146±0,5 представлена на графическом листе.
Проверка выполняется в следующей последовательности: проверяемая деталь устанавливается
на призмы поз. 13 и поз. 18 до контакта с торцом втулки поз. 17 и опор поз. 32
так, чтобы при проведении плунжера поз. 11 к проверяемой детали, губки его
контактировали с торцом Н детали; проверяемая деталь закрепляется прижимом 2.
Противоположный торец плунжера покажет отклонение размера.
Проверка размера 30±0,3 представлена на графическом листе.
Проверка выполняется в следующей последовательности: державку 05 устанавливают
на эталон и настраивают индикатор на ноль; державку 05 устанавливают на поверхность
Е плиты поз. 6 и перемещают до контакта с поверхностью К планки поз. 36 так,
чтобы шарик поз. 1 зашел в центровое отверстие проверяемой детали и
контактировал. Индикатор покажет отклонение. Показание индикатора поз. 55 не
должно превышать ±0,3 мм.
Проверка размеров 72±0,5; 76±0,37; 76,75±0,4; 78±0,2
представлена на рисунке 22 и выполняется в следующей последовательности:
державку 06 устанавливают на эталон и настраивают индикатор на ноль; державку
06 устанавливают на поверхность Е плиты поз. 6 и поверхность М вводится в
контакт с поверхностью Л планки поз. 23. Индикатор покажет отклонение от
размера.
Проверка размеров 64±0,4 представлена на рисунке 23 и
выполняется в следующей последовательности: шаблон 07 устанавливается на
поверхность Е плиты поз. 6 и вводятся в контакт поверхности С и Т планки поз.
37 с шаблоном; шаблон перемещают вдоль планки поз. 37. Меньшая сторона должна
пройти, а большая - нет.
Проверка размеров 69±0,6 представлена на рисунке 24 и
выполняется в следующей последовательности: шаблон 08 устанавливается на
поверхность Е плиты поз. 6 и вводятся в контакт поверхности К и Н планки поз.
36 с шаблоном; шаблон перемещают вдоль планки поз. 37. Меньшая сторона должна
пройти, а большая - нет.
Проверка размеров 70±1,0 представлена на рисунке 23 и
выполняется в той же последовательности, что и проверка размера 69±0,6, только
шаблоном 09.
Проверка размера 101±0,125 и пересечения осей поверхностей
диаметром Ø75,3, Ø60,3 и Ø75; Ø60, Ø75 и Ø75 представлена на рисунке 24 и выполняется в следующей
последовательности: оправку вставляют в отверстие диаметром Ø75 проверяемой детали; державку 04 устанавливают на эталон и
индикатор настраивают на ноль; державку устанавливают на поверхность Е плиты
поз. 6 и вводят ее в контакт с поверхностью К и Т планок поз. 36 и поз. 37.
индикаторы покажут отклонение размера и пересечения поверхностей.
Проверка угла 11°±30' представлена на рисунке 25 и
выполняется в следующей последовательности: державка 05 устанавливается на
эталон и индикатор настраивается на ноль; державка 05 устанавливается на
поверхность Е плиты поз. 6 и вводится в контакт с поверхностью С планки поз.
37. Упор войдет в контакт с оправкой, а индикатор покажет отклонение угла.
Показание индикатора не должно превышать ±0,44.
Проверка допуска биения оси поверхности Д относительно оси
поверхности С представлена на рисунке 26 и выполняется в следующей
последовательности: кнопкой поз. 14 отвести фиксатор поз. 15 вне рабочее
положение; отвести прижим поз. 2 и снять проверяемую деталь; вытянуть из одного
отверстия оправку, установить на нее кольцо и вставить ее во второе отверстие.
Кольцо диаметром Ø86,732 должно свободно зайти в
отверстие диаметром Ø87 проверяемой детали;
вытянуть оправку и снять кольцо.
Погрешность измерения складывается из случайных и систематических
погрешностей
где К случайным погрешностям относятся погрешность установки и
погрешность измерительного устройства. Их суммарное значение определяется по
закону Гаусса
где Погрешность установки определяется как допуск на установочный
размер приспособления 0,02 мм.
Погрешность измерительного устройства определяется по его
паспорту и для индикаторов первого класса точности составляет 0,01 мм.
К систематическим погрешностям относится погрешность,
связанная с износом элементов приспособления и погрешность, связанная с
колебаниями температуры
где Погрешность износа принимается исходя из статистических
данных при условии термической обработки установочных элементов приспособления
и незначительных усилий трения при ориентировании заготовки.
Условие целесообразности применения контрольного
приспособления определяется из выражения
где dр - наименьший допуск на проверяемый размер, 0,25
мм.
,023 мм < 0,025 мм
Приспособление пригодно для контроля данного проверяемого
параметра.
5.3 Расчет и проектирование средств автоматизации
технологических процессов
Конструкция и работа портального загрузчика
В качестве автоматизирующего устройства на автоматно-линейной
операции применяется портально-загрузочное устройство [17]. Общий вид
автооператора с зоной обслуживания представлен на листе графической части.
Портально-загрузочное устройство является промышленным роботом. Промышленный
робот - автоматическая машина, представляющая собой совокупность манипулятора и
перепрограммируемого устройства управления, для выполнения в производственном
процессе двигательных и управляющих функций, заменяющих аналогичные функции
человека при перемещении предметов производства и (или) технологической
оснастки. Для загрузки используется автооператор портального типа с двумя
питателями, расположенными на одной каретке.
Автооператор состоит из балки - портала со стойками, по
которому перемещается каретка (с помощью гидромотора и реечной передачи) с
двумя питателями. Один из питателей предназначен для загрузки заготовки, а
другой для снятия обработанной детали со станка. Удержание детали (заготовки)
при перемещении осуществляется с помощью захватных устройств - схватов.
Во время обработки детали каретка находится над
транспортёром. За определённое время до окончания работы станка каретка
перемещается на длину L=3234 мм. Станок выключается, питатель опускается, зажимает
деталь и поднимается вверх. Затем происходит смена питателей. Второй питатель
опускается вниз и устанавливает заготовку на станок. Осуществляется загрузка
заготовки в станок. Станок включается и начинается цикл обработки заготовки.
Каретка перемещается к транспортёру и останавливается над ним. Питатель
опускается, кладёт деталь и поднимается вверх. И через некоторое время цикл
работы автооператора повторяется.
Расчёт элементов цикла работы автооператора и построение
циклограммы работы автооператора
Для определения времени работы автооператора строится
циклограмма отдельных элементов цикла совместной работы автооператора, станка и
транспортера.
Длительность цикла работы автооператора Тц складывается из
затрат времени на не совмещённые элементы цикла работы устройства, используемых
на загрузочных операциях, и затрат времени на совмещенные элементы цикла работы
устройства используемых на транспортных операциях.
Время отдельных элементов цикла можно рассчитать, пользуясь
усредненными данными:
а) включение и выключение станка - 0,5 с;
б) закрепление и раскрепление детали - 0,5 с;
в) время перемещения каретки или питателей зависит от
скорости и пути перемещения их в зоне их в зоне обслуживания станка:
) скорость перемещения каретки - 0,5 - 1,0 м/с;
) скорость перемещения питателя - 0,5 м/с;
г) время, затрачиваемое на перемещение заготовки по
транспортеру, зависит от скорости транспортера и величины шага перемещения
заготовки:
) скорость перемещения транспортера - 8 - 10 м/мин;
) величина перемещения каретки с питателями от станка к
транспортеру - 3234 мм.
Для упрощения расчётов принимаем время элементов цикла работы
автооператора, указанное в циклограмме на рисунке 27.
Расчёт усилия захвата детали
Для безопасной работы автооператора необходимо определить
усилие закрепления детали в схвате, при транспортировке ее от станка и к
транспортеру [18].
При расчете усилия закрепления создаваемого рычагами схватов
рассмотрим схему на рисунке 28.
Расчётная схема представляет собой рычажный механизм с
плечами L1и L. На конце плеча L1 имеется призма с углом α. Плечо L связано шарнирно с тягой, создающей исходное усилие W. Таким образом, величина
усилия закрепления детали Q, будет зависеть от передаточного отношения плеч рычагов L1 и L. Так как скорость
горизонтального перемещения каретки автооператора не велика, то при расчёте
силы закрепления заготовки можно ограничиться только учётом веса заготовки P.
При расчете усилия W считается, что углы призмы равны, следовательно
равны и силы нормального давления.
где N1 - силы нормального давления, Н;
N2 - силы нормального давления, Н;
Р - вес заготовки, 440 Н;
α - угол призмы, Сила закрепления создаваемые рычагами
где Q - сила закрепления, Н;
f - коэффициент трения, 0,15.
Исходное усилие W необходимое для удержания заготовки в схвате
автооператора определяется по формуле
где 5.4 Расчет надежности и производительности
автоматической линий
Расчет надежности и производительности автоматической линии
ЛКМВ-359А
Данная автоматическая линия обработки кулака включает в себя:
) автоматизированный специальный токарный
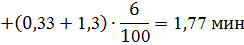
многорезцовый копировальный станок КМ151001 - 4 шт., t0=2,02 мин, tв=0,63 мин;
) транспортер - 1 шт.;
) манипулятор портальный - 4 шт.
Очень важно с точки зрения эффективности
капитальных затрат при расчете производительности наиболее полно учесть
надежность работы линии.
Расчет показателей надежности автоматической линии сводятся к
определению параметров безотказности и восстанавливаемости оборудования.
В таблице 10 представлены значения показателей надежности для
данного вида автоматической линии.
Таблица 10 - Определение показателей надежности оборудования
линии
Наименование
λi·10-3,1/цикл
Вi·10-3,мин/цикл
Циклически действующие
1
Приспособление для фиксации зажима заготовок
средней сложности
0,139
1,000
2
Станция автоматической загрузки и разгрузки
заготовки
2,000
0,400
3
Электрооборудование
0,100
0,750
4
Гидрооборудование
0,200
1,740
Непрерывно действующие
5
Система охлаждения режущего инструмента при
наличии резервной насосной установки
0,400
0,200
6
Насосная установка гидростанции
0,010
0,100
Производительность, обусловленная продолжительностью рабочего
цикла называется цикловой
где tо - основное время цикла, связанное с выполнением
рабочих ходов, мин;
tв - вспомогательное время цикла, связанное с
выполнением холостых ходов, которые являются цикловыми, мин.
Каждый агрегат линии имеет свою
интенсивность отказов и свою удельную потерю времени на восстановление.
где λоб - интенсивность отказов,
мин-1;
Значения Наработка на отказ определяется по формуле
где τр - наработка на отказ,
мин.
где В-удельная потеря времени на восстановление, мин/цикл;
Обобщенным показателем надежности работы линии является
коэффициент готовности
где γ
- коэффициент
наложенных потерь, 1,5.
Величина запаса деталей между станками
определяется из условия, что запас заготовок достаточный для восстановления
участка.
где К - коэффициент запаса, учитывающий
габариты заготовки, 5.
Производительность с учетом технических отказов называют
потенциальной
где Внецикловые потери рабочего времени по техническим причинам в
сумме оцениваются коэффициентом технического использования
где Вт - удельные простои по техническим причинам,
мин/цикл.
где Впл - плановые простои по техническим
причинам, мин/цикл.
где В'пл - удельные плановые простои в связи с
ремонтом оборудования в течение года, мин/цикл;
В"пл - удельные плановые простои в связи с
текущей профилактикой, мин/цикл.
Коэффициент технического использования определяет расчетную
производительность автоматической линии
где При длительной эксплуатации автоматической линии возможны
также простои по организационным причинам. Если учитывать эти простои, то
получим общую производительность
где ηо - коэффициент общего
использования автоматической линии.
где Во-общие удельные простои, мин/цикл.
где Ворг - удельные простои по организационным
причинам, 0,089 мин/цикл.
Требуемая сменная производительность автоматической линии в
целом по конечной годовой продукции определяется по формуле
где Nг - годовая программа выпуска, 45000 шт.;
Fсм - сменный фонд времени, 8 ч;
Fг - годовой номинальный фонд времени, 2570 ч;
Р - количество автоматических линий, 1;
ηэ - эксплуатационный
коэффициент, 0,90. Полученный результат расчета производительности Qо=156,96 шт./см
удовлетворяет заданным требованиям, так как требуемая сменная
производительность автоматической линии Qтр=155,70 шт./см.
Заключение
В данном дипломном проекте разработан технологический процесс
механической обработки левого поворотного кулака автобуса ЛиАЗ-5256.
Исходя из заданной программы выпуска детали принимается
крупносерийный тип производства.
Произведен анализ условий эксплуатации кулака на основании,
которого обоснованны технические условия на его изготовления, произведен анализ
технологичности конструкции детали.
Проанализировав способ получения заготовки, был выбран метод
штампование на прессе, являющийся оптимальным методом для получения заготовки.
Исходя из назначения детали и технических требований к
кулаку, выявилось, что поверхности шеек хвостовика и торца фланца являются
основными, так как относительно них определяются положение детали в узле.
При обработке технологическими базами являются центровые
отверстия, торец фланца, шейки цапфы. Эти базы позволяют обработать деталь с
наибольшей точностью, так как все основные размеры по техническим условиям
чертежа заданы относительно осей детали, пересекающихся под углом 11°±15'.
Приведены подробные расчёты припусков на наиболее
ответственные поверхности кулака. Назначены режимы резания на разработанные
операции.
Описана конструкция и работа станочного приспособления.
Произведен расчет приспособения-спутника для зажима кулака на автоматно-линейных
операциях. Разработана структурная схема участка с расчетом необходимого
количества оборудования и числа рабочих мест. Произведена разработка планировки
участка, рассчитана площадь участка, количество производственных рабочих с
учетом многостаночного обслуживания. Разработана конструкторская и
технологическая документация.
Проведен патентный поиск способов контроля и управления
процессами правки шлифовальных кругов.
Так же были рассчитаны организационно-экономические
показатели технологического процесса и проведен анализ опасных и вредных
производственных факторов на производстве, расчет вибрации одного из станков.
Список использованных источников
1
Материаловедение / Б.Н. Арзамасов, И.И. Сидорин, Н.В. Ульянова и др. - М.:
Машиностроение, 1986.
Поседко
В.Н. Разработка структурной схемы маршрута механической обработки деталей. -
М.: МГТУ «МАМИ», 1997.
Афонькин
М.Г., Магницкая М.В. Производство заготовок в машиностроении. - Л.:
Машиностроение, 1987.
Балашов
В.Н., Мазуркевич В.В. Методические указания по расчету операционных припусков и
определение операционных размеров. - М.: МГТУ «МАМИ», 1981.
Расчет
режимов резания / Ю.В. Барановский, Л.А. Брахман, А.И. Гдалевич и др. - М.:
Машиностроение, 1995.
Филимонов
Л.Н. Стойкость шлифовальных кругов. - Л.: Машиностроение, 1973.
Маслов
Е.Н. Теория шлифования. - М.: Машиностроение, 1974.
Ящерицын
П.И., Жалнерович Е.А. Шлифование металлов. - Минск: Беларусь, 1970.
Лоскутов
В.В. Шлифование металлов. - М.: Машиностроение, 1985
Швецов
С.Е., Гурьянихин В.Ф. Модель звукового поля, создаваемого при правке
шлифовальных кругов // Инновации и актуальные проблемы техники и технологии.
Материалы Всероссийской научно-практической конференции молодых учёных в двух
томах. Том 1. 15 - 16 сентября 2009 - Саратов 2009.
Романов
В.Ф., Авакян В.В. Технология алмазной правки шлифовальных кругов. - М.:
Машиностроение, 1980.
Власов
С.Н., Позднеев Б.М. Черпаков Б.И. Транспортные и загрузочные устройства и
робототехника. - М.: Машиностроение, 1988.
Егоров
М.Е. Основы проектирования машиностроительных заводов. - М.: Высшая школа,
1969.
Шандров
Б.В. Методика проектирования зажимных механизмов станочных приспособлений и
расчет сил зажима. - М.: МГТУ «МАМИ», 1987.
Справочник
технолога-машиностроителя. Том 2 / А.М. Дальский, А.Г. Косилова, Р.К. Мещерякова
и др. - М.: Машиностроение, 2001.
Детали
машин и основы конструирования / М.Н. Ерохин, А.В. Карп, Е.И. Соболев и др. -
М.: КолосС, 2005.
Дащенко
А.И., Белоусов А.П. Проектирование автоматических линий. - М.: Высшая школа,
1983
Шандров
Б.В., Бутюгин В.А., Вартанов В.М. Методическое указание к курсовой работе по
курсу «Автоматизация производственных процессов в машиностроении» для студентов
специальности 1201 факультета МТ. - М.: МГТУ «МАМИ», 1997.
Соколова
Р.А. Методические указания по организационно-экономической части дипломного
проекта «Технология машиностроения» для студентов специальностей 120100,
120200, 120700». - М.: МГТУ «МАМИ», 2003.
1.3
Краткая характеристика существующего на базовом предприятии уровня технологии
мин
и
; наружный диаметр
; глубина шпоночного паза
43 - 0,16; ширина паза 10 +0,150; радиус закругления при
торце R15
- 1,0; внутренний диаметр проушин Ø78,5+0,046; размер между
внутренними торцами проушин 134±0,4; внутренний диаметр выточки Ø87+0,2; угол наклона оси проушин к оси хвостовика 11о±15';
линейный размер от торца до пересечения осей хвостовика и проушин 107±0,175;
линейный размер от оси до нижней проушины 78±0,2; линейный размер от оси до
выточки в верхней проушины 64±0,4; линейный размер 64±0,023; внутренний диаметр
отверстия на фланце Ø12,5+0,027;
размеры, предельные отклонения которых на чертеже в явном виде не указаны,
выполняются по 14 квалитету.

1, 2, 3, 4 - двойная направляющая явная
база
11, 2, 3 - плоскость
;
- пространственное отклонение заготовки, мкм;
- отклонение оси от прямолинейности, 860 мкм;
- погрешность зацентровки, 250 мкм.
мкм
- остаточное пространственное отклонение, мкм;
- коэффициент уточнения.
мкм
мкм
- минимальный припуск на выполняемой операции,
мкм;
- высота микронеровностей на предшествующей
операции, мкм;
- глубина дефектного слоя на предшествующей
операции, мкм;
- суммарное значение пространственных отклонений
на предшествующей операции, мкм.
мкм
мкм
мкм
мкм
- расчетный припуск на выполняемой операции,
мкм,
- допуск на предшествующей операции, мкм.
мкм
мкм
мкм
мкм
- расчетный размер на выполняемой операции, мм;
- расчетный размер с последующей операции, мм;
- расчетный припуск с последующей операции, мм.
мм
мм
мм
мм
мм
- наименьший предельный размер на выполняемой
операции, мм;
- наибольший предельный размер на выполняемой
операции, мм;
- допуск на выполняемой операции, мм.
мм
мм
мм
мм
мм
- максимальный предельный припуск на выполняемой
операции, мм;
- наибольший предельный размер на предшествующей
операции, мм.
мм
мм
мм
мм
- минимальный предельный припуск на выполняемой
операции, мм;
- наименьший предельный размер на предшествующей
операции, мм.
мм
мм
мм
мм
,
- предельные значения общих припусков, мм;
,
- наибольший и наименьший предельные размеры
заготовки, мм;
,
- наибольший и наименьший предельные размеры
детали, мм.
мм
мм
- допуск заготовки, мм;
- допуск детали, мм.
.
![]()
НМНБ
;
мкм
мкм
мкм
мм
мм
мм
мм
мкм
мкм
мкм
мкм
мм
мм
мм
мм
мм
мм
мм
мм
мм
мм
мм
мм
мм
мм
мм
мм
мм
мм
мм
мм
.
![]()
НМНБ
- длина рабочего хода, мм;
- длина резания, мм;
- величина подвода, врезания и перебега
инструмента, мм;
- дополнительная длина, связанная с
конструктивной особенностью наладки, мм.
мм
мм
мм
мм
мм
- скорость резания, м/мин;
- табличное значение скорости резания, м/мин;
- коэффициент, зависящий от марки и твердости
обрабатываемого материала, 1,1;
- коэффициент, зависящий от группы твердого
сплава, 0,75;
- коэффициент, зависящий от стойкости
инструмента, 1.
м/мин
м/мин
- рекомендуемая частота вращения шпинделя, мин-1;
- машинное время суппорта, мин.
- машинное время всей позиции, мин;
- машинное время поперечного суппорта, мин;
- машинное время копировального суппорта, мин.
мин
- подача на оборот шпинделя, мм/об;
- подача на зуб фрезы, 0,08 мм/зуб;
- число зубьев, 24.
- стойкость лимитирующего инструмента, мин;
- коэффициент времени резания, 0,9;
- табличное значение скорости резания, 85 м/мин;
- рекомендуемая частота вращения шпинделя, мин-1;
- минутная подача, мм/мин.
- машинное время, мин.
- штучное время, мин;
- вспомогательное время, мин;
- процент от машинного времени на
технологическое обслуживание, 2%;
- процент от оперативного времени на
организационное обслуживание, 2%;
- процент от оперативного времени на отдых, 6%.
- минутная подача, мм/мин;
- подача на оборот шпинделя, 0,52 мм/об;
- подача по паспорту станка, 100 мин-1.
.
50
305;
- скорость вращения круга, м/с;
- диаметр круга, 750 мм;
- частота вращения шлифовального круга по
паспорту станка, 1270 мин-1.
- рекомендуемая частота вращения детали, мин-1;
- скорость вращения детали, 20 м/мин;
- скорость вращения детали, м/мин;
- частота вращения детали по паспорту, 110 мин-1.
- поперечная подача, мм/мин;
- поперечная подача по таблице, 1,60 мм/мин;
- коэффициент, зависящий от обрабатываемого
материала и скорости круга, 1,3;
- коэффициент, зависящий от точности обработки,
шероховатости поверхности и припуска на сторону, 0,6;
- коэффициент, зависящий от диаметра
шлифовального круга, 1.
- ускоренная подача, мм/мин.
мм/мин
- длина шлифования на рабочей подаче, мм;
- максимальный припуск на сторону, 0,082 мм;
гарантированный зазор, 0,06 мм.
- длина шлифования на ускоренной подаче, мм.
- машинное время, мин;
- время выхаживания, 0,2 мин.
- расчетное количество оборудования на i-ой операции;
- норма штучного времени i-ой операции, мин;
- такт выпуска, мин/шт.;
количество одновременно обрабатываемых детелей на
станке.
- средний коэффициент
загрузки оборудования по участку;
общее число принятого
оборудования,
общее число расчетного
оборудования.
.
амплитудное значение эффективного напряжения, В;
- шероховатость прошлифованной поверхности
заготовки по критерию Ra, мкм.
звуковое давления, Па;
- суммарный момент трения от двух прихватов, Н∙м;
![]()
- окружная сила резания при фрезеровании, Н;
- плечо силы резания, создаваемой первой фрезой,
0,138 м;
- плечо силы резания, создаваемой второй фрезой,
0,066 м.
- коэффициент, учитывающий условие обработки,
261;
- сила, действующая на рычаг от винта, Н;
- сила, действующая на прихват, от рычага, Н;
- коэффициент, учитывающий потери на трение в
шарнире рычага, 0,95.
![]()
- крутящий момент от электродвигателя, Н∙м;
- средний радиус резьбы, 0,017 м;
- угол подъема винтовой линии резьбы, град;
- угол трения в резьбовой паре, град.
- шаг резьбы, 6 мм;
- средний диаметр резьбы, 34 мм.
![]()
- мощность, передаваемая на винт, кВт.
- мощность электродвигателя, кВт;
- к.п.д. понижающего редуктора, 0,95.
- передаточное отношение понижающего редуктора;
- частота электродвигателя, 750 мин-1.
- погрешность измерения, мм;
- случайная погрешность, мм;
- систематическая погрешность, мм.
- погрешность установки, мм;
- погрешность измерительного устройства, мм.
- погрешность, связанная с износом элементов
приспособления, 0,0005 мм;
- погрешность температурных изменений, 0,0005
мм.
.
усилие зажима, Н;
коэффициент запаса, 2,5;
угол наклона плеча рычага по отношению к тяге,
;
потери на трение в шарнирах рычага, 0,9;
потери в соединении рычагов, 0,85.
![]()
цикловая производительность, шт./мин;
время цикла, мин;
- сумма интенсивности отказов узлов циклического
действия, мин-1;
- сумма интенсивности отказов узлов непрерывного
действия, мин-1.
,
берутся из таблицы 10.
- сумма потерь времени на восстановление узлов
циклического действия, мин/цикл;
- сумма потерь времени на восстановление узлов
непрерывного действия, мин/цикл.
- коэффициент готовности;
![]()
величина запаса деталей
между станками, шт.;
средняя емкость
накопителя;
поток восстановления на
участке;
потенциальная производительность, шт./мин.
коэффициентом технического использования;
расчетную производительность автоматической
линии, шт./мин.
общая производительность, шт./мин;
![]()
- требуемая сменная производительность
автоматической линии, шт./см;