Материал: Разработка автоматизированной системы управления освещением для административного здания

Внимание! Если размещение файла нарушает Ваши авторские права, то обязательно сообщите нам

Оборудование должно быть установлено и отцентрировано таким образом, чтобы уровень вибрации от работающего оборудования не превышал значений, установленных ГОСТ 12.4.012-83.

Обеспечение допустимых уровней звукового давления и уровней шума на площадках скважин и на рабочих местах осуществляется соблюдением требований СНиП II-12-77 "Защита от шума".

Насосное оборудование и приводная арматура будут приняты с учетом мероприятий по защите от шума, в соответствии с ГОСТ 12.1.003-76.

К основным мероприятиям, направленным на обеспечение защиты работающих от воздействия вибрации, относятся:

·              установка оборудования на виброизолирующие основания;

·              устройство виброизолирующих разделок вокруг фундаментов оборудования, создающего вибрацию.

5.3 Мероприятия по охране и рациональному использованию недр

Технические решения предусматривают следующие мероприятия по охране недр:

·              осуществление выбора конструкции скважины в соответствии с Методическими указаниями по выбору конструкции нефтяных и газовых скважин на разведочных и эксплуатационных площадях;

·              соблюдение требований «Правил безопасности в нефтяной и газовой промышленности» при проводке скважин, монтаже и эксплуатации противовыбросового оборудования;

·              проведение испытаний на герметичность кондуктора и промежуточных колонн в соответствии с «Временной инструкцией по испытанию скважин на герметичность»;

·              использование способов защиты подземных вод во время бурения, которые направлены на недопустимость их загрязнения и на предотвращение возможности смешения вод разных горизонтов;

·              обеспечение герметизации технических и обсадных колонн труб, спущенных в скважину, их качественное цементирование;

·              предотвращение ухудшения коллекторных свойств продуктивных пластов, принятие мер для сохранения их естественного состояния при вскрытии, креплении и освоении;

·              использование комплекта противовыбросового оборудования, монтируемого на устье скважины, регулирующих клапанов системы промывки скважины под давлением, контрольно-измерительных приборов, обеспечивающих постоянный контроль за бурением и эксплуатацией скважин, в целях предотвращения неконтролируемых выбросов, обвалов стенок скважин и межпластовых перетоков, флюидопроявлений и открытых фонтанов;

·              обеспечение комплекса мер для предотвращения перетоков по затрубному пространству, выбросов пластовых флюидов и фонтанирования;

·              оснащение систем промывки скважин под давлением регулирующими клапанами с гидравлическим управлением, что позволяет регулировать давление в скважине в случае отсутствия бурильной колонны и при закрытом превенторе;

·              разработка мероприятий, улучшающих качество цементирования.

Степень технической и экологической безопасности при охране недр повышается за счёт дублирования комплекта превенторов, рассчитанного на случай аварий и других нештатных ситуаций.

Выводы по главе 5

В сетях и установках напряжением до 1000 В возможны ненормальные режимы, связанные с увеличением тока (сверхтоком), к которому приводят перегрузки, самозапуск электродвигателей, короткое замыкание. Эти ненормальные режимы могут привести к повреждению электрических сетей и оборудования, созданию ситуаций, опасных для персонала. Поэтому сети и установки должны быть защищены от перегрузок и токов короткого замыкания.

Согласно ПУЭ сети разделяют на защищаемые от перегрузок и токов короткого замыкания и на защищаемые только от токов короткого замыкания.

Глава 6. Расчет экономической эффективности

Интерес к энергосбережению при освещении возобновился в условиях мирового экономического кризиса, заставившего обратить внимание на данную проблему даже высшее руководство России. После принятия в 2009 году Федерального закона от 23 ноября 2009 г. № 261-ФЗ "Об энергосбережении и повышении энергетической эффективности и о внесении изменений в отдельные законодательные акты Российской Федерации" стало очевидным, что многие существовавшие до этого момента правила и методологии нуждаются в изменениях. Которые и должны будут обеспечить повышение энергоэффективности организаций, то есть достичь целей энергосбережения и повышения конкурентоспособности. Мировой опыт в энергосбережении, безусловно, дает пример нашим потребителям энергоресурсов. Исторически это понятно - Россия обладала и обладает одними из крупнейших запасов энергоресурсов и воды и, как следствие этого, никто никогда не ставил во главу угла их экономное использование. Наши внутренние цены на энергоресурсы до сих пор ниже европейских, что делает малоэффективными инвестиции в новое энергооборудование. Однако, ситуация неуклонно меняется. Мы уже вступили в ВТО, что, в перспективе должно привести к выравниванию наших внутренних цен и мировых [21-22].

Задачу экономии электроэнергии в электроосветительных установках необходимо решать с учетом правильной эксплуатации осветительных приборов и обеспечения норм освещенности, для создания безопасного и производительного труда. Причем экономия электроэнергии состоит отнюдь не в сокращении разумного ее потребления. Рациональное освещение играет важную роль в обеспечении жизнедеятельности человека, создании комфортных и производительных условий. В предлагаемом материале рассмотрены вопросы, имеющие значение при экономичном расходовании 4 электроэнергии в электроосветительных установках в офисных помещениях. Внедрение новых, прогрессивных источников света, позволяют во многих случаях повысить эффективность электроосветительных установок, оптимизировать освещенность рабочих мест, способствовать росту производительности и безопасности труда, достичь реальной экономии электроэнергии. В соответствии с требованиями Закона №261-ФЗ начиная с 1 января 2011 г. бюджетные учреждения обязаны обеспечить снижение объема потребленных ими тепловой энергии, электрической энергии в течение 5 лет не менее чем на 15% от объема, фактически потребленного ими в 2009 г. каждого из указанных ресурсов с ежегодным снижением такого объема не менее чем на 3%. Поэтому одной из приоритетных задач в области энергосбережения является проведение мероприятий, обеспечивающих снижение энергопотребления и уменьшение бюджетных средств, направляемых на оплату энергоресурсов, что напрямую свидетельствует об актуальности нашего проекта.

Энергоэффективность системы освещения на объекте исполнения будет обеспечена с учетом следующих требований:

- минимизация потребления электроэнергии на освещение мест общего пользования,

-        комфортность освещения,

         низкая стоимость оборудования и технического обслуживания.

Минимизация потребления электроэнергии была достигнута за счет применения светильников СПО-03/04-800/15 в автоматическом режиме управления световым потоком в зависимости от внешней освещенности, контролируемой встроенным датчиком освещенности, и присутствия людей, определяемого при помощи встроенного акустического датчика. В результате светильник светится в течение периода около двух минут в темное время суток в присутствии человека.

В отличие от других технологий у светодиодов очень высокое КПД - не менее 90%(95-98%). В большинстве существующих технологий присутствует разогрев какого-либо тела или области, на что требуется приличные затраты энергии. Благодаря высокому КПД светодиодная технология обеспечивает низкое энергопотребление и малое тепловыделение. Помимо этого, в силу самой природы получения излучения, светодиоды обладают совокупностью характеристик, недостижимой для других технологий. Механическая и температурная устойчивость, устойчивость к перепадам напряжения, продолжительный срок службы, отличная контрастность и цветопередача. Плюс экологичность, отсутствие мерцания и ровный свет. Это и есть качество современной технологии.

Вне этого периода потребление светильника в дежурном режиме составляет около 2Вт. Таким образом достигается практически наивысшая экономичность.

По сути дела, единственным недостатком светодиодных светильников можно считать необходимость обеспечит качественный отвод тепла от самих светодиодов. Перегрев ведет к преждевременной деградации кристалла и люминофора. Второй недостаток - наличие электролитических конденсаторов в источниках питания светодиодов (драйверах). Средний срок службы электролита составляет 6000-10000 часов. В последствии работоспособность источника питания может быть непредсказуемой и вся система освещения (светильник) может выйти из строя. Однако, применение новых технологий позволило избежать этой неприятности.

Отключение в светлое время суток светильников, расположенных в зонах с естественным освещением, даст крайне незначительную экономию электроэнергии.

В реализованном варианте комфортность достигается отсутствием «мертвых» зон, характерных для инфракрасных датчиков движения, и одновременностью включения всех светильников в зоне нахождения человека.

Управление светильниками и другим электрооборудованием в режиме «Расписание» целесообразно в офисных, торговых и производственных зданиях в целях достижения экономии электроэнергии за счет фактора «забывчивости».

Работа системы в режиме «Расписание» реализована в помещении диспетчерской, а также в офисном помещении дополнительного пилотного объекта.

Задача оптимизации режимов управления до достижения максимальной энергоэффективности сводится в помещениях с естественной освещенностью к определению оптимального расположения датчиков освещенности с целью создания требуемой освещенности рабочей зоны в автоматическом режиме управления яркостью. С учетом особенностей использования помещений могут быть установлены ограничения максимального и минимального уровней яркости. По окончании рабочего времени программа «Расписание» переводит светильники в режим достаточной требуемой яркости или отключает их.

Для помещений без естественной освещенности выбираются достаточные уровни яркости в ручном (системном) режиме. По окончании рабочего времени программа «Расписание» переводит светильники в режим достаточной яркости или отключает их.

Дополнительно энергоэффективность помещений без постоянного нахождения людей повышается применением датчиков присутствия (движения, ёмкостных, акустических).

6.1 Ориентировочная стоимость системы освещения


Стоимость компонентов системы освещения объекта, с управлением каждым светильником отдельно без функций учета энергоресурсов:

Светодиодные светильники 100 шт. - 150 000 руб.

Блоки управления реле 19 шт. - 57 000 руб.

Панель управления 1 шт. - 4 000 руб.

Датчик освещенности 2 шт. - 1 000 руб.

Суммарная стоимость без серверной части - 212 000 руб.

-Ориентировочнаястоимостьуправляющегокомпьютераспрограммным обеспечением - 80 000 руб.

-Стоимость монтажных и пусконаладочных работ - 30 000 руб.

Общая стоимость - 322 000 руб.

Экономическая выгода от внедрения консольных светодиодных светильников базируется на 2-х составляющих:

экономия на снижении затрат на электроэнергию;

экономия на обслуживании светильников.

На оценку реального эффекта экономии электрической энергии от регулирования источников искусственного света в зависимости от естественной освещенности влияют следующие факторы:

. Точность настройки и чувствительность датчиков освещенности, используемых для системы управления освещенностью, зависимостью показаний, принципов обработки сигналов с датчиков.

. Необходимость учета ориентации окон рассматриваемого помещения по сторонам света и затенения от зданий.

. Влияние снежного покрова, загрязнения окон и светильников.

Экономический эффект, полученный с учётом указанных факторов, может быть значительным. Определенного снижения капитальных затрат на внедрение подобных систем возможно добиться при использовании алгоритмов управления источниками искусственного света по точной модели помещения с измерением только наружной освещенности и оптимальном выборе принципов управления группами светильников. Учитывая сложность этих расчётов требуется проработка подходов к определению эффектов и разработка специализированного программного обеспечения.

Результаты проведения энергосберегающего мероприятия по замене ЛБ 20 на светодиоды сведены в таблицу 30.

Таблица 30. Замена ЛБ 20 на светодиоды

Тип ламп

Кол-во ламп

Затраты на приобретение светодиоды, тыс. руб

Потребление лампами в базовом году, тыс. кВт*ч

Экономия в натуральном выражении, тыс. кВт*ч

Экономия в денежном выражении, тыс. руб.

ЛБ 20

400

150

56,8

31,2

156,2


Разнообразные методы оценки результативности капиталовложений появились из-за наличия большого количества факторов, влияющих на конечное суждение. Чем большее количество факторов вовлечено в процесс реализации инвестиционного проекта, тем большая неопределенность возникает в расчетах, и тем большее количество переменных появляется в формулах. Методики оценки принято разделять на два типа: статические и динамические.

Динамические методы отличаются большей сложностью и необходимостью учитывать различные аспекты и временные периоды реализации проекта. Для частных инвесторов, работающих с доверительным управлением, драгоценными вкладами и валютой, такие методы покажутся чрезмерно перегруженными дополнительными переменными. Данные методы используются при оценке инвестиционных проектов, обладающих большой длительностью (несколько лет) и требующих дополнительных инвестиционных вложений по ходу реализации.

К методам относят:

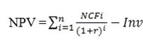
1.       Вычисление NPV (англ. Net Present Value) или чистой приведенной стоимости инвестиций;

2.       Вычисление PI (англ. Profitability Index) или индекса рентабельности;

.        Вычисление IRR (англ. Internal Rate of Return) или внутренней нормы доходности;

Существует два основных метода расчета ставки дисконтирования - CAPM (англ. Capital Asset Pricing Model) и WACC (англ. Weighted Average Cost of Capital). Первый является кумулятивной методикой. Проще говоря, ставки рисков, инфляции и другие ставки просто суммируются. Полученное значение используется для оценки экономической эффективности путем определения NPV. WACC - это пропорциональное значение между CAPM каждого источника инвестиций.

Для вычисления ставки дисконтирования воспользуемся формулой:


di - ставка дисконтирования

r - ставка рефинансирования (принимаем равной 9,75% по данным 2017 года);

i - темп инфляции в текущем году (принимаем равным 4,59% по данным 2017 года).

Коэффициент дисконтирования рассчитывается по формуле:


где: Р - поправка на риск (принимаем равной 5%).

Для определения чистой приведенной стоимости проекта нужно воспользоваться следующей формулой.

 <#"903356.files/image016.jpg"> <#"903356.files/image017.jpg"> <http://pasprofit.ru/wp-content/uploads/2015/03/metody-rascheta-ocenki-jekonomicheskoj-jeffektivnosti-investicij-5.jpg>