Рис.4.2.График корреляционной функции модулирующего сигнала k(τ)
Cпектральная
плотность мощности модулирующего сигнала GВ(ω).
![]()
=2πf,
![]()
График
спектральной плотности мощности модулирующего сигнала GВ(f):
Рис.4.3.График
спектральной плотности мощности модулирующего сигнала GВ(f)
Ширина
энергетического спектра модулирующего сигнала:
где α=1.
Энергетический спектр Gu(ω) ЧМ сигнала представляет собой сумму энергетических спектров АМ сигналов с несущими частотами f1= f0 -∆f и
2= f0 -∆f.
1= 2,7∙107 - 2,7∙105 =2,43∙107 Гц,
f2=
2,7∙107 + 2,7∙105 =2,727∙107 Гц.
Gu(f) =
GB(f-f1)+
GB(f-f2),
Gu(f) =
GB(f-2,43∙107)+
GB(f-2,727∙107).
Рис.4.4.Энергетический
спектр Gu(ω) ЧМ сигнала
Ширина энергетического спектра ∆Fu модулированного сигнала:
=
,
∆Fu
=10,8∙105 Гц.
Передача сигнала U(t) осуществляется по каналу с постоянными параметрами и аддитивным флуктуационным шумом n(t) с равномерным энергетическим спектром N0/2 (белый шум).
Сигнал на выходе такого канала можно записать следующем образом:
(t) = U(t) + n(t).
Требуется:
1) Определить мощность шума в полосе частот Fk = ∆Fu ;
2) Найти отношение сигнал - шум Рс /Рш;
) Найти пропускную способность канала С;
) Определить эффективность использования пропускной способности канала Кс, определив ее как отношение производительности источника Н’ к пропускной способности канала С.
Решение:
Мощность шума в полосе частот Fk = ∆Fu =10,8∙105
Гц :
,
Найдем
отношение сигнал-шум:
где
E0=E1.

Тогда
.
Отношение сигнал - шум Рс /Рш:
Пропускная
способность канала:
С = ∆FU·log2(1+Pc/PШ),
С
= 10,8∙105·log2(1+ 3,19285),
С=22,3344·105 бит/с.
Эффективность
использования пропускной способности канала Кс определяется как отношение
производительности источника Н’ к пропускной способности канала С.
В демодуляторе осуществляется оптимальная когерентная или некогерентная (в зависимости от варианта) обработка принимаемого сигнала z(t) = U(t) + n(t).
Требуется:
1) Записать алгоритм оптимального приема по критерию минимума средней вероятности ошибки при равновероятных символах в детерминированном канале с белым гауссовским шумом.
2) Нарисовать структурную схему оптимального демодулятора для заданного вида модуляции и способа приема.
) Вычислить вероятность ошибки ρ оптимального демодулятора.
) Определить, как нужно изменить энергию сигнала, чтобы при других видах модуляции и заданном способе приема обеспечить найденное значение вероятности ошибки ρ.
Решение:
Алгоритм оптимального приема по критерию минимума средней вероятности
ошибки при равновероятных символах в детерминированном канале с белым
гауссовским шумом:
при
выполнении неравенства
регистрируется символ «1»;
Если
, то регистрируется символ «0». При частотной
модуляции:
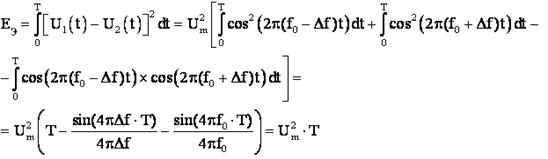
Е0/2 = Е1/2,
U1(t) = cos(167864400t),(t) = cos(171255600t).
Следовательно:
при
,
при
.
Рис.6.1.Структурная
схема оптимального демодулятора для частотной модуляции и когерентного способа
приема.
Здесь
блоки «C» - перемножители;
-
интеграторы; РУ - решающие устройства, определяющее в моменты времени, кратные T,
номер k-й ветви с максимальным сигналом (k =
0, 1).
Вероятность ошибки ρ оптимального демодулятора:
ρ = 1/2 (1-Ф(х)),
где Ф(х) - функция Крампа
где
.
При частотной модуляции энергетический выигрыш по пиковой мощности составляет в два раза по сравнению с АМ и проигрывает два раза по сравнению с ФМ.
По средней мощности: проигрывает два раза по сравнению к ФМ и равен по
сравнению АМ.
В декодере декодирование осуществляется в два этапа. На первом этапе производится обнаружение и исправление ошибки в кодовой комбинации. Считать, что ошибка произошла в i-ом разряде. На втором этапе из нее выделяются информационные символы, а затем k - разрядная двоичная кодовая комбинация преобразуется в элемент квантованного сообщения.
Требуется:
1) Оценить обнаруживающую способность q0 кода Хэмминга.
2) Записать алгоритм обнаружения ошибок.
) Определить вероятность необнаружения ошибки.
Наименьшее расстояние по Хеммингу между кодовыми комбинациями:
;
Наш
код исправляет одну ошибку
и
обнаруживает
ошибки.
Алгоритм обнаружения ошибок.
Пусть был отправлен код 001001100.
И произошла ошибка в 3-ем разряде, т.е. i=3, в результате чего было получено:
Складываем по модулю 2 номера позиций ненулевых символов:
|
|
8 |
4 |
2 |
1 |
|
4 |
0 |
1 |
0 |
0 |
|
7 |
0 |
1 |
1 |
1 |
|
r |
0 |
0 |
1 |
r=00112 = 3.
Значит, ошибка произошла в 3-м разряде - 3-ий разряд инвертируем и получаем 001001100.
Вероятность необнаружения ошибки:
,
где n - число разрядов кодовой последовательности, n = 9;
q - обнаруживающая способность кода Хэмминга;
р - вероятность ошибки в одном разряде, p = 0,006.
- общее
число различных выборок (сочетаний) объема a.
но=1,766*10-5.
Фильтр-восстановитель - фильтр нижних частот с частотой среза Fcр.
Требуется:
1) Указать величину Fcр.
2) Изобразить идеальные АЧХ и ФЧХ фильтра - восстановителя.
) Найти импульсную характеристику g(t) идеального фильтра- восстановителя и начертить ее график.
Частота среза
,
р
=
Гц.
Идеальная АЧХ фильтра - восстановителя описывается системой:
, где
.
=
с-1.
АЧХ
имеет вид:
Рис.8.1.Идеальная АЧХ фильтра - восстановителя
Идеальная
ФЧХ описывается уравнением
, где
− время задержки (маленькая величина порядка
10-4 − 10-5 с) и имеет вид:
Рис.8.2.Идеальная
ФЧХ фильтра - восстановителя
Найдём
импульсную характеристику g(t) идеального фильтра - восстановителя и начертим её
график.
,
Вывод
В
ходе данного проекта были приобретены навыки расчета основных характеристик
системы передачи сообщений, включающей в себя источник сообщений,
дискретизатор, кодирующее устройство, модулятор, линия связи, демодулятор,
декодер и фильтр-восстановитель. Также уяснили, что наименее помехоустойчивый
тип модуляции - амплитудный, а наиболее помехоустойчивый - фазовый.
Литература
. Клюев Л.Л. “Теория электрической связи». Минск, «Дизайн ПРО», 1998 г.
. Шувалов Б.П., Захарченко Н.Б., Шварцман В.О. и др ”Передача дискретных сообщений”: Под ред. Шувалова -М.; Радио и связь 1990 г.