Материал: Расчет себестоимости рекламного продукта

Внимание! Если размещение файла нарушает Ваши авторские права, то обязательно сообщите нам

Расчет себестоимости рекламного продукта

Содержание

Введение

. Планирование себестоимости рекламного продукта

. Расчет прибыли, рентабельности и свободной цены рекламного продукта

. Технико-экономические показатели

Список литературы

Введение

Цена - это денежное выражение товарной стоимости продукции, работ и услуг. С другой стороны цена - это количество денег, которыми готов пожертвовать потребитель в обмен на приобретение определенного товара или услуги.

Значение цены в экономике предприятия огромно, она определяет структуру и объем производства, движение материальных потоков, распределение товарной массы. Цена оказывает влияние на массу прибыли, рентабельность производства продукции и услуг и, в конечном счете, на уровень жизни общества.

Ценовая политика предприятия - важнейшая составная часть маркетинговой политики, состоящая в установлении (определении) цен, обеспечивающих выживание в рыночных условиях, и включающая выбор метода ценообразования, разработку ценовой системы предприятия, выбор ценовых рыночных стратегий и другие аспекты.

Существуют три основные цели ценовой политики предприятия: обеспечение выживаемости, максимизация прибыли и удержание рынка.

Обеспечение выживаемости - главная цель предприятия, осуществляющего свою деятельность в условиях жесткой конкуренции, когда на рынке много производителей с аналогичными товарами. Важными компонентами данной ценовой политики являются объем сбыта (продаж) и доля на рынке. Для захвата большей доли рынка, и увеличения объема сбыта используются заниженные цены.

К максимизации прибыли стремятся не только предприятия, имеющие устойчивое положение на рынке, но и не слишком уверенные в своем будущем, пытающиеся максимально использовать выгодную для себя конъюнктуру рынка. В этих условиях предприятие делает оценку спроса и издержек применительно К разным уровням цен и останавливается на таких ценах, которые обеспечивают в будущем максимальную прибыль.

Удержание рынка состоит в сохранении существующего положения на рынке или благоприятных условий для своей деятельности. Для достижения этой цели предприятие реализует все возможные меры для предотвращения спада сбыта и обострения конкурентной борьбы.

Рыночная цена формируется под влиянием ряда факторов, а именно, спроса и предложения, издержек производства, цен конкурентов и др. Спрос на товар определяет верхний уровень цены, которую может установить предприятие. Валовые издержки производства (сумма постоянных и переменных издержек) определяют минимальную ее величину. Существенное влияние на цену оказывают поведение конкурентов и цены на их продукцию.

Существуют прямые и косвенные способы воздействия государства на цены. Прямые способы - это установление определенного порядка ценообразования, косвенные направлены на изменение конъюнктуры рынка, создание определенного положения в области финансов, валютных, налоговых операций, оплаты труда.

1.Планирование себестоимости рекламного продукта

Себестоимость (продукции) - выраженные в денежной форме все текущие затраты организации на производство и реализацию продукции.

Себестоимость (услуги) - все текущие затраты предприятия на оказание услуги, выраженные в денежной форме.

Сущность группировки затрат по калькуляционным статьям заключается в том, что затраты группируются в зависимости от места их возникновения и назначения.

Объектами калькулирования являются изготовление визиток тиражом 1000 шт. и вывески.

Статья 1. Сырье и материалы

В этой статье учитываются затраты на материалы.

Затраты по статье рассчитываются по формуле:


где:

Зм - затраты на материалы, руб.,

Нpi - норма расхода материалов на единицу рекламного продукта.

Таблица 1. Расчет стоимости материалов.

Перечень материалов

Норма расхода на единицу

Цена за единицу, руб.

Стоимость материалов, руб.


Визитки (1000 шт.)

Вывеска (1 шт.)


Визитки

Вывеска

Бумага

50 л. (А3)


0,4

20


Краска

50 мл.

300 мл.

2

100

600

Деревянная доска


1 м2

700


700

Набор креплений


1 шт.

1400


1400

Металл. каркас


3 м.

17,5


52,5

Итого


120

2752,5

Итого + ТЗР


126

2890,1

%ТЗР = 5%

Визитки:

Вывеска:

Статья 2. Основная заработная плата

Затраты по этой статье рассчитываются по формуле:


где:

ЗПосн - основная заработная плата, руб.,

Рс - суммарная сдельная расценка, руб.,

Кп.д. - коэффициент, учитывающий заработную плату с премиями и доплатами,

Кркс - коэффициент, учитывающий заработную плату с районным коэффициентом и северной надбавкой.

Кп.д. = 1,32

Суммарная сдельная расценка (Рс) рассчитывается по формуле:


где:

Рэс - расценка за создание эскиза, руб.,

Рпр - расценка за производство, руб.,

Рм - расценка за монтаж, руб.

Расценка рассчитывается по формуле:


где:

Нвр - норма времени, час.,

ТС - тарифная ставка, руб.

Разряды:

Дизайнер - 12

Рабочий производства - 5

Рабочий монтажа - 3

Расчет основной заработной платы (визитки):

Нвр. эс = 2 ч.

Нвр. пр. = 4 ч.

ТС = ТС1*ТК

ТСд = 35,79*2,89 = 103,43 руб.

ТСпр = 35,79*1,51 = 54,04 руб.

Рэс = 2*103,43 = 206,86 руб.

Рпр = 4*54,04 = 216,16 руб.

Рс = 206,86 + 216,16 = 423,02 руб.

ЗПосн = 423,02*1,32*1,6 = 893,42 руб.

Расчет основной заработной платы (вывеска):

Нвр. эс = 3 ч.

Нвр. пр. = 12 ч.

Нвр. м. = 3 ч.

ТСм = 35,79*1,23 = 44,02 руб.

Рэс = 3*103,43 = 310,29 руб.

Рпр = 12*54,04 = 648,48 руб.

Рм = 3*44,02 = 132,06 руб.

Рс = 310,29 + 648,48 + 132,06 = 1090,83 руб.

ЗПосн = 1090,83*1,32*1,6 = 2303,83 руб.

Статья 3. Дополнительная заработная плата

В этой статье учитываются доплаты за очередные и дополнительные отпуска, учебные отпуска и выполнение государственных обязанностей.

Затраты по этой статье рассчитываются по формуле:


где:

ЗПдоп - дополнительная заработная плата, руб.,

%ЗПдоп - процент дополнительной заработной платы из баланса рабочего времени, %

Таблица 2. Баланс рабочего времени одного рабочего на 2016 год

Показатели

Дни

% к номинальному фонду

1. Календарный фонд времени (количество календарных дней)

366


2. Праздничные и выходные дни

119


3. Количество календарных рабочих дней (номинальный фонд)

247

100

4. Неявки на работу, дни В том числе: - очередные и дополнительные отпуска; - учебные отпуска; - выполнение государственных обязанностей; - отпуска в связи с родами; - по болезни;

43  31 2 0,3 4 6

17,40  12,55 0,8 0,12 1,6 2,9

5. Число рабочих дней в году (фактическое рабочее время)

203


6. Продолжительность рабочего дня

8


7. Полезный фонд рабочего времени, часы

1640


Расчет дополнительной заработной платы (визитки):


Расчет дополнительной заработной платы (вывеска):


Статья 4. Страховые взносы на обязательное пенсионное страхование и профессиональный риск

В этой статье учитываются отчисления во внебюджетные фонды: фонд социального страхования, фонд обязательного медицинского страхования, пенсионный фонд.

Затраты по этой статье рассчитываются по формуле:


где:

%СВ - ставка страховых взносов, %

%СВ = 26,2

Расчет страховых взносов (визитки):

Расчет страховых взносов (вывеска):


Статья 5.Общепроизводтсвенные и общехозяйственные расходы

В этой статье учитываются расходы на отопление и освещение, текущий ремонт, амортизация основных фондов, арендная плата, заработная плата руководителей, специалистов и служащих и т.д.

Затраты по этой статье рассчитываются по формуле:


где:

ОБ - общепроизводственные и общехозяйственные расходы, руб.,

%ОБ - процент общепроизводственных и общехозяйственных расходов

%ОБ = 140

Производственная себестоимость рассчитывается по формуле:


где:

Спр - производственная себестоимость

Расчет общепроизводственных и общехозяйственных расходов (визитки):

Расчет общепроизводственных и общехозяйственных расходов (вывеска):


Расчет производственной себестоимости (визитки):

Спр = 126 + 893,42 + 120,34 + 265,6 + 1250,79 = 2647,15 руб.

Расчет производственной себестоимости (вывеска):

Спр = 2890,1 + 2303,83 + 310,33 + 684,9 + 3225,36 = 9414,52 руб.

Статья 6. Расходы на продажу

В этой статье учитываются все расходы, связанные с реализацией продукта.

Затраты по этой статье рассчитываются по формуле:


где:

РП - расходы на продажу, руб.,

%РП - процент расходов на продажу

%РП = 5,9

Полная себестоимость рассчитывается по формуле:

Сп = Спр + РП

где:

Сп - полная себестоимость, руб.

Расчет расходов на продажу (визитки):


Расчет расходов на продажу (вывеска):


Расчет полной себестоимости (визитки):

Сп = 2647,15 + 156,18 = 2803,33 руб.

Расчет полной себестоимости (вывеска):

Сп = 9414,52 + 555,46 = 9969,98 руб.

Таблица 3. Калькуляция себестоимости визиток и вывески

Статьи калькуляции

Затраты, руб.


Визитки

Вывеска

1. Сырье и материалы

126

2890,1

2. Основная заработная плата

893,42

2303,83

3. Дополнительная заработная плата

120,34

310,33

4. Страховые взносы на обязательное пенсионное страхование и профессиональный риск

684,9

5. Общепроизводственные и общехозяйственные расходы

1250,79

3225,36

Производственная себестоимость

2647,15

9414,52

6. Расходы на продажу

156,18

555,46

Полная себестоимость

2803,33

9969,98


Вывод: Полная себестоимость тиража 1000 шт. визиток составляет 2803,33 руб., 1 вывески 9969,98 руб.

.Расчет прибыли, рентабельности и свободной цены рекламного продукта

Расчет прибыли и рентабельности рекламного продукта

Прибыль - превышение доходов предприятия над его расходами.

Виды прибыли:

Прибыль от реализации:

* всего объема услуг;

* единиц продукции (услуг);

Валовая (балансовая) прибыль;

Чистая прибыль.

Рентабельность - прибыльность, доходность предприятия.

Виды рентабельности:

Рентабельность производства;

Рентабельность отдельных видов продукции.

Прибыль от реализации единицы рекламного продукта рассчитывается по формуле:


где:- рентабельность, %

Расчет прибыли (визитки):

Планируемый уровень рентабельности - 21%.


Расчет прибыли (вывеска):

Планируемый уровень рентабельности - 20%.


Расчет свободной цены рекламного продукта

Цена - денежное выражение стоимости товара.

Метод ценообразования - калькулирование.

Методика расчета свободной расчетной цены:

. Рассчитывается себестоимость (составляется калькуляция).

. Планируется рентабельность.

Планируемый уровень рентабельности должен обеспечить прибыль, достаточную для дальнейшего развития и расширения предприятия и материального поощрения работников.

. Рассчитывается прибыль.

. Рассчитывается свободная расчетная цена.

Свободная расчетная цена рассчитывается по формуле:

Ц = С + П

где:

Ц - свободная расчетная цена, руб.

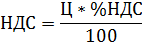
Свободная цена с учетом НДС рассчитывается по формуле:

Цндс = Ц + НДС

где:

НДС - налог на добавленную стоимость, руб.

Налог на добавленную стоимость рассчитывается по формуле:


где:

%НДС - ставка налога на добавленную стоимость, %

%НДС = 18

Расчет стоимости тиража 1000 шт. (визитки):

Ц = 2803,33 + 588,7 = 3392,03 руб.

Цндс = 392,03 + 610,56 = 4002,59 руб.

Расчет цены единицы (визитки):


Расчет свободной цены (вывеска):

Ц = 9969,98 + 1993,97 = 11963,95 руб.

Цндс = 11963,95 + 2153,51 = 14117,46 руб.

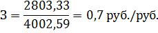
Затраты на рубль реализации рассчитываются по формуле:


где:

З - затраты на рубль реализации, руб./руб.

Расчет затрат на рубль реализации (визитки):


Расчет затрат на рубль реализации (вывеска):


.Технико-экономические показатели

Таблица 4. Технико-экономические показатели

Показатели

Значения показателя


Визитки

Вывеска

Полная себестоимость рекламного продукта, руб.

2803,33

9969,98

Рентабельность, %

21

20

Прибыль от реализации тиража (единицы) рекламного продукта, руб.

588,7

1993,97

Стоимость тиража (свободная цена), руб.

4002,59

14117,46

Затраты на рубль реализации продукции, руб./руб.

0,7

0,8

себестоимость рекламный прибыль затрата

Вывод: Полная себестоимость тиража 1000 шт. визиток составляет 2803,33 руб., 1 шт. вывески 9969,98 руб. При запланированном уровне рентабельности 21% для визиток прибыль от реализации тиража составляет 588,7 руб., при рентабельности 20% для вывески прибыль от реализации единицы равна 1993,97 руб. Стоимость тиража 1000 шт. визиток составляет 3392,03 руб., а с учетом НДС 4002,59 руб., свободная расчетная цена 1 шт. вывески равна 11963,95 руб., с учетом НДС 14117,46 руб. Затраты на рубль реализации тиража 1000 шт. визиток составляют 0,7 руб./руб., 1 шт. вывески 0,8 руб./руб., это значит, что на один реализованный рубль затрачено средств на 0,7 руб. для визиток и 0,8 руб. для вывески, а прибыль на 1 реализованный рубль составляет 0,3 руб. для визиток и 0,2 руб. для вывески.

Список литературы

Сергеев И. В. «Экономика организации»


Не нашли материал для своей работы?
Поможем написать уникальную работу Без плагиата!