Материал: Расчет рычажного механизма

Внимание! Если размещение файла нарушает Ваши авторские права, то обязательно сообщите нам

Расчет рычажного механизма

1. Начальные условия к задаче по анализу плоского рычажного механизма


Рисунок 1 - Плоский рычажный механизм

- кривошип, 2-шатун, 3-кромысло, 4-шатун, 5-пользун, 0-стойка.

Механизм вытяжного пресса имеет следующие параметры:

=0,10 (м); BC=0,45 (м); CD=0,30 (м); DE=0,44 (м); EF=0,11 (м);2=S2C; ES4=S4F;

ω1=8,5 (c-1);2=13 (кг); m3=14 (кг); m4=45 (кг); m5=42 (кг);

IS2=0,26 (кг·м2); IS3=0,28 (кг·м2); IS4=0,10 (кг·м2);п.с.=3,7 (кН).

Необходимо провести структурный, кинематический и силовой анализы данного механизма, провести расчёт начального механизма.

2. Структурный анализ рычажного механизма


Степень подвижности механизма определим по формуле Чебышева:


где n - число подвижных звеньев механизма;5 - число кинематических пар 5 класса;4 - число кинематических пар 4 класса; получим


За начальное звено принимаем кривошип АВ, так как для него задан закон движения.

Разбиваем механизм на структурные группы Ассура, начиная со звена, наиболее удаленного от ведущего по кинематической цепи. В нашем случае этим звеном является ползун 5. Отсоединяем структурную группу, состоящую из 5 ползуна и 4 шатуна. Получаем структурную группу II класса 2 порядка 2 вида.

Рисунок 2 - Структурная группа 4-5

После того как отсоединили эту структурную группу, у нас останется промежуточный механизм:

Рисунок 3 - Структурная группа 2-3

Его степень подвижности равна:


Значит, мы правильно отсоединили структурную группу.

Теперь наиболее удаленным звеном от ведущего является коромысло 3. Отсоединяем коромысло 3 и шатун 2, и получаем структурную группу II класса 2 порядка 1 вида;

Остался начальный механизм I класса, состоящая из стойки и ведущего звена, которым является кривошип 1.

Рисунок 4 - Начальный механизм

Формула строения механизма в этом случае:


Таким образом, данный механизм является механизмом второго класса.

3. Кинематический анализ плоского рычажного механизма

3.1 Построение плана скоростей


Кинематический анализ механизма выполняем для заданного положения механизма в порядке присоединения структурных групп.

Начальный механизм (0,1)

Скорость точки В:


Вектор  направлен из полюса плана скоростей p перпендикулярно кривошипу АВ в сторону его вращения. Длина вектора   на плане принимаем: pb = 170 мм, тогда:


Группа (2,3)

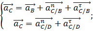
Скорость точки C:


Вектор направлен перпендикулярно ВC. Вектор  направлен перпендикулярно СD.

В результате построения находим точку С - конец вектора.

Угловая скорость звена механизма определяется по параметрам относительной скорости любых двух точек, принадлежащих этому звену.

Скорость равна 0.

Используя свойство пропорциональности определим скорость точки Е:


Скоростьравна 0.

Вектор  направлен перпендикулярно DЕ.

Группа (4,5)

Скорость точки F:


Вектор  направлен перпендикулярно EF.

Из плана получим:

Угловая скорость звеньев:


3.2 Построение плана ускорений


Начальный механизм (0,1)

Ускорение точки В


Вектор  направлен вдоль звена АВ от точки В к точке А.   

Группа (2,3)

Ускорение точки C:


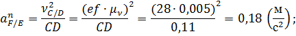
Вектор тангенциального ускорения  направлен параллельно вектору скорости с одноименным нижним индексам; его длина определяется построением. Вектор нормального ускорения  направлен параллельно звену BC от точки C к точке B и имеет начало в точке b плана ускорений; его величина:


Из плана получим:


Угловое ускорение звена механизма определяется по параметрам тангенциальной составляющей относительного ускорения двух любых точек, принадлежащих этому звену.



Группа (4,5)

Ускорение точки F:


Группа (4,5)

Ускорение точки F:


Вектор нормального ускорения  направлен параллельно звену EF от точки F к точке B; его величина:


Из плана получим:


Угловое ускорение звеньев:


4. Силовой анализ механизма


Согласно принципу Даламбера, инерционные силы и моменты дополняют систему сил, действующих на звенья механизма, до равновесной. Инерционные силы считаем приложенными в центрах масс звеньев и направленными противоположно их ускорениям. Инерционные моменты направляем противоположно угловым ускорениям соответствующих звеньев.

Величины инерционных нагрузок:


Сила тяжести определяется по известной формуле


Таким образом, силы тяжести, инерционные нагрузки, сила производственного сопротивления и уравновешивающий момент образуют равновесную систему внешних сил, которая является статически определимой. Реакции в кинематических парах, вызываемые этими внешними нагрузками, являются для данной системы внутренними нагрузками и определяются из силового расчета структурных групп.

Порядок силового расчета определяется формулой строения механизма. При этом за начальное принимают то звено, к которому приложена неизвестная внешняя нагрузка. В данном случае известная нагрузка Рп.с. приложена к выходному звену механизма. Анализ групп проводим в порядке, обратном их присоединению в формуле строения.

4.1 Силовой расчёт группы 4-5


Уравнение моментов сил, действующих на группу, относительно точки F:


где h - плечо силы, находится по чертежу с учётом масштабного коэффициента.

Отсюда реакция :


Уравнение плана сил для группы 4-5:


Построением плана сил по уравнению определяются значения реакций  и :


Уравнение плана сил, действующих на звено 4:


Вектор , величина и направление которого определяются построением плана сил по уравнению, соединяет на плане конец вектора  с началом вектора . В результате построения получаем

4.2 Силовой расчёт 2-3


Уравнение моментов сил, действующих на звено 2, относительно точки С:


Отсюда реакция :


Уравнение моментов сил, действующих на звено 3, относительно точки С:


Отсюда реакция :


Уравнение плана сил для группы 2-3:


Построением плана сил по уравнению определяются величины реакций  и :


Уравнение плана сил для звена 2:


Построением плана сил по уравнению определяются направление и величина реакции :


4.3 Силовой расчёт начального механизма


Уравновешивающий момент сил, действующий на звено 1, относительно точки А:

Теперь отложим расстояния, равные полученным соотношениям от линий действий сил инерции, и поместим на этом расстоянии противоположно направленные силы, равные соответствующим силам инерции. Таким образом, мы получили пары сил, уравновешивающие соответствующие моменты инерции.

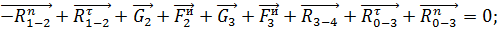
Составим уравнение моментов сил относительно точки р::


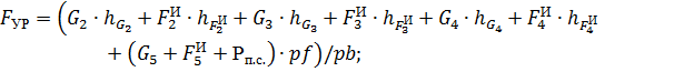
Отсюда найдём уравновешивающую силу:


Сравним значений уравновешивающего момента, полученных различными методами

Значение уравновешивающего момента, полученное методом планов сил .

Значение уравновешивающего момента, полученное методом рычага Жуковского .

Сравним эти значения:



5. Начальные условия для задачи по синтезу кулачкового механизма.


Дано: l= 170 мм, ψMax= 15˚, φУ= 60˚, φВВ= 80˚, φ0= 60˚, φНВ = 160˚, [θ]= 30˚.

Требуется спроектировать кулачковый механизм наименьших размеров с поступательно движущимся роликовым толкателем.


6. Расчётные зависимости для построения кинематических диаграмм.

Для построения диаграммы аналога скоростей и ускорения:


Примем:


Для построения кинематических диаграмм движения толкателя:


7. Определение основных размеров кулачкового механизма


Для определения наименьшего допустимого значения R0 необходимо вычертить диаграмму зависимости перемещения толкателя от его аналога скорости.