Материал: Расчет редуктора для ленточного конвейера

Внимание! Если размещение файла нарушает Ваши авторские права, то обязательно сообщите нам


Определяется изгибающий момент от консольной нагрузки

 (10.6)

где l - длина полумуфты, мм.

M=2,5

Коэффициент запаса прочности по нормальным напряжениям

 (10.9)

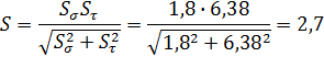
Результирующий коэффициент запаса прочности

 (10.10)

получился близким к коэффициенту запаса Sτ=9,7. Это расхождение свидетельствует о том, что консольные участки валов оказываются прочными и что учёт консольной нагрузки не вносит существенных изменений. Фактическое расхождение будет ещё меньше, так как посадочная часть вала обычно бывает короче, чем длина полумуфты, что уменьшает значения изгибающего момента и нормальных напряжений.

По этим причинам проверять прочность в сечениях Б - Б и В - В нет необходимости.

Ведомый вал

Материал вала - сталь 45 нормализованная; σb=570 МПа.

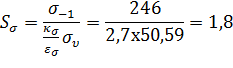
Пределы выносливости σ-1=246 МПа и τ-1=142МПа.

Сечение А - А

Диаметр вала в этом сечении 40 мм. Концентрация напряжений обусловлена наличием шпоночной канавки: kσ=1,6 и kτ=1,5; масштабные факторы εσ=0,85; ετ=0,73; коэффициенты ψσ=0,15 и ψτ=0,1.[1]

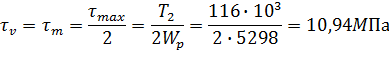
Крутящий момент Т2=82,5×103Нмм.

Изгибающий момент в горизонтальной плоскости

М=Rx3l2 (10.11)

М'=416×102 = 42432Нмм

изгибающий момент в вертикальной плоскости

М”=Ry3l2+ Fa (10.12)

М” = 657×102+372x(144/2) =93798Нмм

суммарный изгибающий момент в сечении А - А

МА - А=Нмм

Момент сопротивления кручению (d=40 мм; b=12 мм; t1=5 мм)

 (10.13)

Wк нетто =

Момент сопротивления изгибу

 (10.14)

Wнетто=

Амплитуда и среднее напряжение цикла касательных напряжений

 (10.15)


Амплитуда нормальных напряжений изгиба

 (10.16)

Коэффициент запаса прочности по нормальным напряжениям

 (10.17)

Коэффициент запаса прочности по касательным напряжениям

 (10.18)

Результирующий коэффициент запаса прочности для сечения А - А

 (10.19)

Сечение К-К: Концентрация напряжений обусловлена посадкой подшипника с гарантированным натягом (см.табл. 8.7)

и ;  и

Изгибающий момент

 (10.20)

Осевой момент сопротивления

(10.21)

Амплитуда нормальных напряжений


Полярный момент сопротивления

 (10.22)

Амплитуда и среднее напряжение цикла касательных напряжений


Коэффициент запаса прочности по нормальным напряжениям


Коэффициент запаса прочности по касательным напряжениям


Результирующий коэффициент запаса прочности для сечения К-К


Условие прочности выполняется

Сечение Л - Л

Концентрация напряжений обусловлена переходом от Ø30 к Ø26: при D/d=30/26=1.15 и r/d=2.25/26=0.08 kσ=1,51 и kτ=1,21; масштабные факторы εσ=0,92; ετ=0,83;[1]

Внутренние силовые факторы такие же как и в сечение К-К

Осевой момент сопротивления

 (10.36)

W =

Амплитуда нормальных напряжений

 (10.37)

среднее напряжение σm=0

Полярный момент сопротивления

 (10.38)

Wр=

Амплитуда и среднее напряжение цикла касательных напряжений

                    (10.39)


Коэффициент запаса прочности по нормальным напряжениям

 (10.40)

Коэффициент запаса прочности по касательным напряжениям

 (10.41)


Результирующий коэффициент запаса прочности для сечения Л - Л

 (10.42)

Сечение Б-Б: Концентрация напряжений обусловлена наличием шпоночной канавки (см. табл. 8.5)

 и ; и

Изгибающий момент (положим х1=60мм)


Момент сопротивления сечения нетто при b=10 и t1=5мм


Амплитуда нормальных напряжений изгиба


Момент сопротивления кручению сечения нетто


Амплитуда и среднее напряжение цикла касательных напряжений


Коэффициенты запаса прочности


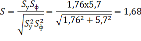
Результирующий коэффициент запаса прочности для сечения Б-Б


Таблица10.1. Результаты проверки сводятся в таблицу:

Результаты проверки сводятся в таблицу:

Таблица 10.1

Сечение

А-А

К-К

Б-Б

Коэффициент запаса S

6

2,7

1,68

Условия прочности во всех сечениях выполняются

11. Выбор смазки редуктора

Смазывание зубчатого зацепления производят окунанием зубчатого колеса в масло, заливаемое внутрь корпуса до уровня, обеспечивающего погружение колeса примерно на 10 мм. Объем масляной ванны V определяется из расчета 0,25дм 3 масла на 1 кВт передаваемой мощности: V= 0,25´4,5 = 1,125дм 3

По таблице 10.8 [1] устанавливаем вязкость масла. При контактных напряжениях sН = 600МПа и скорости n = 2 м/с рекомендуемая вязкость масла должна быть примерно равна 34´106 м2/с. По таблице 10.10 [1] принимается масло индустриальное И-30А (по ГОСТ 20799-75)

Камеры подшипников заполняются пластичным смазочным материалом УТ-1, периодически пополняется шприцем через пресс - масленки.

12. Описание сборки редуктора

Перед сборкой внутреннюю полость корпуса редуктора тщательно очищают и покрывают маслостойкой краской. Сборку производят в соответствии со сборочным чертежом редуктора, начиная с узлов валов:

на ведущий вал насаживают мазеудерживающие кольца и шарикоподшипники, предварительно нагретые в масле до 80 - 100 0С;

в ведомый вал закладывают шпонку и напрессовывают зубчатое колесо до упора в бурт вала; затем надевают распорную втулку, мазеудерживающие кольца и устанавливают шарикоподшипники, предварительно нагретые в масле.

Собранные валы укладывают в основание корпуса редуктора и надевают крышку редуктора и надевают крышку корпуса, покрывая предварительно поверхности стыка крышки и корпуса спиртовым лаком. Для центровки устанавливают крышку на корпус с помощью двух конических штифтов; затягивают болты, крепящие крышку к корпусу.

После этого на ведомый вал надевают распорное кольцо, в подшипниковые камеры закладывают пластичную смазку, ставят крышки подшипников.

Перед постановкой сквозных крышек в проточки закладывают войлочные уплотнения, пропитанные горячим маслом. Проверяют проворачиванием валов отсутствие заклинивания подшипников (валы должны проворачиваться от руки) и закрепляют крышки винтами.

Далее на конец ведомого вала в шпоночную канавку закладывают шпонку. Затем ввертывают пробку маслоспускного отверстия с прокладкой и жезловый маслоуказатель.

Заливают в корпус масло и закрывают смотровое отверстие крышкой с прокладкой из технического картона; закрепляют крышку болтами.

Собранный редуктор обкатывают и подвергают испытанию на стенде по программе, устанавливаемой техническими условиями.

Выводы

Этот редуктор был спроектирован для ленточного конвейера. На него были произведены небольшие затраты так как он в основном состоит из дешевых материалов.

Масса редуктора была уменьшена за счет выемок в корпусе, крышке, днище корпуса. Для не затруднительной транспортировки был сделан рымболт.

Большую прочность редуктора обеспечивают ребра жесткости.

Легко можно произвести смену масла: для этого внизу корпуса сделана пробка. Уровень масла в редукторе контролируется при помощи маслоуказателя.

Большой запас долговечности подшипников гарантирует долгую и надежную работу.

Литература

Чернавский С.А. «Курсовое проектирование деталей машин», М.: Машиностроение, 2008.

Шейнблит А.Е. «Курсовое проектирование деталей машин», Янтарный сказ, «Высшая школа», 2014.

Кукликов В.П. «Стандарты инженерной графики», Москва, «Высшая школа», 2011.