Материал: Расчет переходных процессов

Внимание! Если размещение файла нарушает Ваши авторские права, то обязательно сообщите нам

Величина временного интервала выбирается равной , где , если корни характеристического уравнения вещественные числа, в случае комплексных корней расчет выполняется на временном интервале, равном не менее трем периодам колебаний токов и напряжений.

Таблица 3

t

iL(t)

i2(t)

iC(t)

uC(t)

c

A

A

A

В

1

+0

0,260

0,250

0

50,0

2

0,410-3

0,307

0,256

0,050

51,3

3

0,810-3

0,319

0,267

0,052

53,2

8

3,010-3

0,304

0,296

0,008

59,2

Задачу можно было решить, не решая дифференциального уравнения (2). Общее решение для тока может быть сразу представлено в виде:

.

Корни характеристического уравнения определяются, используя матрицу контурных сопротивлений:

или матрицу узловых проводимостей ( ). Источник напряжения закорочен.

Оба уравнения дают одно и тоже решение:

, .

Затем можно записать

.

Дальнейшее решение совпадает с рассмотренным ранее.

2. Операторный метод

Рассчитаем начальные условия для переменных:

, .

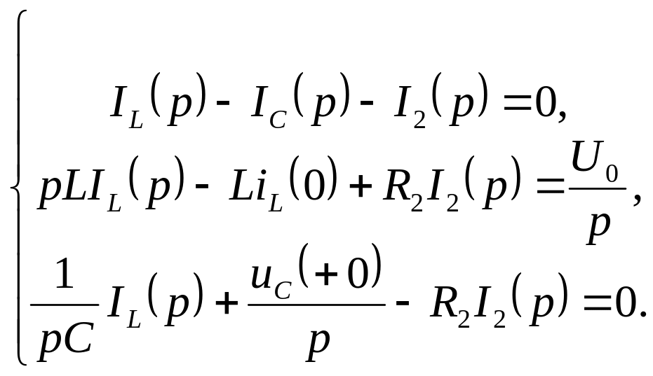
Эти величины используются при написании уравнений цепи в операторной форме. Согласно законам Кирхгофа запишем следующую систему уравнений в операторной форме:

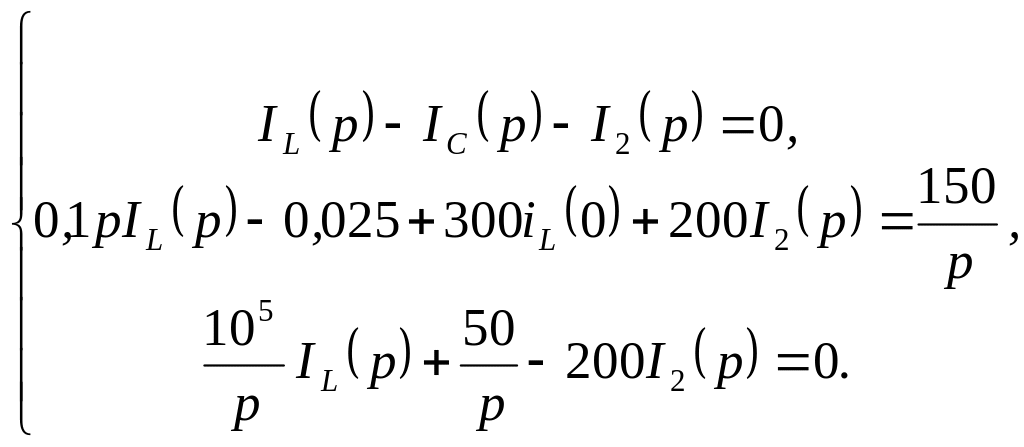
Подставим численные значения в данную систему

Приведем систему к операторному уравнению относительно операторного тока и сравним с ранее полученным решением

,

где A(p) – полином числителя и B(p) – полином знаменателя.

Рекомендуется проверить правильность полученного уравнения с помощью пределов:

.

Рассчитанные токи и совпадают с соответствующими токами, полученными по классическому методу.

Чтобы рассчитать ток будем использовать теорему разложения:

. (10)

1. Найдем корни из уравнения B(p)=0

.

, , .

2. Произведем дифференцирование

.

3. Рассчитаем коэффициент для корня :

4. Рассчитаем коэффициент для корня :

5. Рассчитаем коэффициент для корня :

6. Используя (4.10), получаем формулу для тока:

A.

Эта формула совпадает с выражением (9) для , полученным классическим методом. Токи в других ветвях и напряжение на реактивных элементах получают по аналогии.

ЗАДАНИЯ НА КУРСОВУЮ РАБОТУ

ВЫДАНО 22.12.2017

Слипенский К.В. ЭТ-501-3 схема строка 8 - 8