Материал: Расчёт ленточного конвейера производительностью Q=100 т/ч

Внимание! Если размещение файла нарушает Ваши авторские права, то обязательно сообщите нам

Расчёт ленточного конвейера производительностью Q=100 т/ч

МИНИСТЕРСТВО ОБРАЗОВАНИЯ И НАУКИ РОССИЙСКОЙ ФЕДЕРАЦИИ

ФГБОУ ВПО «МАГНИТОГОРСКИЙ ГОСУДАРСТВЕННЫЙ ТЕХНИЧЕСКИЙ УНИВЕРСИТЕТ ИМ. Г.И. НОСОВА»

ИНСТИТУТ ГОРНОГО ДЕЛА И ТРАНСПОРТА

Кафедра ГМ и ТТК







КУРСОВОЙ ПРОЕКТ

по дисциплине «Машины непрерывного транспорта»

на тему: «Расчёт ленточного конвейера производительностью Q = 100 т/ч»


Исполнитель: Дорогин А.О., студент 4 курса, группа КП-08






Магнитогорск, 2012

Задание

на курсовой проект по дисциплине «Машины непрерывного транспорта»

Студент группы КП-08 Дорогин А.О

Рис. 1

Спроектировать ленточный конвейер по следующим исходным данным: транспортируемый материал - магнезит; производительность 100 т/ч; плотность материала 1,8 т/м3, длина конвейера 65м. Режим работы - средний.

В конструкции привода использовать цилиндрический редуктор и ременную передачу.

Введение

В курсовом проекте рассчитан ленточный конвейер, производительностью 100т/ч, длиной 65м, транспортируемый материал - магнезит с плотностью 1,8 т/м3. Режим работы М5.

конвейер двигатель барабан

1. Описание конвейера

Разные типы конвейеров применяются, что ни говори, во всех областях промышленности. Главными задачами устройств этого типа являются осуществление погрузки и выгрузки, а также транспортировки различных грузов в течение производственного процесса.

Наиболее распространенным типом конвейера является ленточный конвейер. Ввиду своей простоты, а также легкости в обслуживании и определенной универсальности применения он является просто незаменимым устройством на том или ином промышленном объекте. Благодаря своим возможностям ленточный конвейер обеспечивает непрерывную транспортировку различных грузов (от самых мелких, незначительных и сыпучих до крупногабаритных).

Одним словом, ленточный конвейер представляет собой специальный механизм, предназначенный для бесперебойной транспортировки материалов и грузов. В качестве основного несущего и тягового механизма здесь выступает эластичная лента. Конвейеры ленточные нормального, а также тяжелого исполнения применяются для осуществления транспортировки штучных, сыпучих и кусковых грузов в различных направлениях: наклонном и горизонтальном. Разрешается отклонение не более 18 градусов.

Рисунок 1 - Кинематическая схема конвейера

Конвейеры ленточные легкого типа: используются для транспортировки штучных единиц, грузов, а также материалов с сыпучей структурой. Ширина ленты может быть: 400-1200 мм (в зависимости от характеристик конвейера). Для того, чтобы разгрузить конвейер, используются характерные тележки, устанавливаемые на ленту (800, 1000, 1200 либо 1400 мм), а также сбрасыватели плужковые (650, 800, 1000, 1200, 1400 и 1600 мм).

. Расчёт ленточного конвейера

Исходные данные:

Производительность: Q = 100 т/ч.

Материал - магнезит (хрупкий, кристаллический минерал)

Плотность материала: р = 1,8 т/м3.

Длина конвейера: l = 65 м.

Режим работы - М5

Необходимая ширина ленты определяется по формуле:

Предполагаем, что лента должна иметь ширину в пределах 400-500 мм;


где Кп - коэффициент площади поперечного сечения груза на ленте (табл 4.11 стр.130)

 - Скорость движения ленты конвейера принимаем равной 1,25 м/с (табл. 4.12 стр. 130)

Кβ - коэффициент уменьшения сечения груза на наклонном конвейере (табл. 4.10 стр. 129)

  0,36 м

Выбираем ленту шириной В = 400 мм, резинотроссовую общего назначения, предварительно типа 2РТЛ-1500, прочность 1500 Н/мм и масса 1 м2 mл = 28 кг/м2

Для обеспечения заданной расчётной производительности Qр = 100 т/ч при принятой ширине ленты В= 400 мм, скорость ленты должна составлять:


 Оставляем принятую скорость 1,25 м/с, что даёт возможность уменьшить на 10% заполнение ленты грузом при расчётной производительности

Проверяем ширину ленты по кусковатости груза

а = (60+10)/2 = 35 (стр. 30)

, следовательно, принимаем ширину ленты равной 400 мм

Выбираем расстояния между роликоопорами:

на верхней ветви lр.в = 1,4 м и на нижней lр.н = 2,8 м

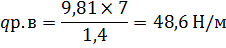
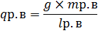
Масса вращающихся частей желобчатой роликоопоры mр.в = 7 кг, mр.н = 4 кг

Отсюда линейные силы тяжести, определяемые по формулам:

где lр.в - расстояние между роликоопорами на верхней ветви

lр.н - расстояние между роликоопорами на нижней ветви

mр.в - масса вращающихся частей верхней роликоопоры

mр.н - - масса вращающихся частей нижней роликоопоры

 - масса 1м2 ленты, кг

Определяем линейную силу тяжести транспортируемого груза по средней производительности:


Где  - плановая средняя массовая производительность равная 2400 т/сутки

Т - время работы конвейера равное 24 часам

Кэ - общий эксплуатационный коэффициент

Кв - коэффициент использования конвейера по рабочему времени равный 0,9

Кн - коэффициент неравномерности загрузки равный 0,8

Общее сопротивление движению ленты в летнее время:


Где Wв - коэффициент сопротивления движению верхней ветви ленты равный 0,025 (стр. 131)

Wн - коэффициент сопротивления движению нижней ветви ленты равный 0,022 (стр. 131)

Кд - обобщённый коэффициент местных сопротивлений на оборотных барабанах равный 1,7 (стр. 131)

Lг - длина горизонтальной проекции расстояния между осями концевых барабанов конвейера, 65 м

Определяем мощность приводного двигателя в летнее время по формуле:


Где Кз - коэффициент запаса равный 1,15 (стр.138)

 - общий КПД механизмов привода, равный 0,8 (стр. 116)

На конвейере устанавливаем двухбарабанный привод. Для футерованного барабана при средних производственных условиях принимаем коэффициент трения ленты о поверхность барабана µ=0,4; общий угол обхвата (а1+а2)=400о

Тогда тяговый фактор  и выражение

Дальнейший расчёт ведем для условий работы конвейера в летнее время

Определяем расчётное натяжение ленты:


Где W- общее сопротивление движению ленты в летнее время

Кз - коэффициент запаса равный 1,15 (стр.138)

Расчётный коэффициент запаса прочности ленты:


Где Ко - номинальный запас прочности равный 7 [1.стр. 104]

Кст - коэффициент прочности стыкового соединения концов ленты равный 0,9 [1.стр. 104]

Кт - коэффициент конфигурации трассы конвейера равный 1 [1.стр. 104]

Кр - коэффициент режим работы конвейера равный 1 [1.стр.104]

Необходима прочность резинотросовой ленты:

Где Sнб - расчётное натяжение ленты

К’ - расчётный коэффициент запаса прочности ленты равный 7,8

В - ширина ленты равная 400мм

Резинотросовая лента типа 2РТЛ-1500 имеет прочность 1500 Н/мм

И максимальное допускаемое натяжение Sрт.д = 180 Н/мм

Выполняем проверку:


Принимаем диаметры барабанов:

Приводной барабан: Dб= 0,8м

Оборотные барабаны перед приводными:

После приводных барабанов: Do’=

Натяжной барабан Dн = [1.табл. 4.3, формула 4.27]

По таблице 4.8 выбираем коэффициент распределения нагрузки между приводными барабанами Кф=2

Вычисляем натяжение ленты, сбегающей со второго барабана:


Вычисляем натяжение ленты, набегающей на второй барабан и сбегающей с первого барабана:


Этим заканчивается обобщённый приближённый расчёт. Корректировка расчёта не требуется.

. Тяговый расчет конвейера

Подробный тяговый расчет конвейера при установившемся движении центы выполняется методом последовательного суммирования всех сил сопротивления движению ленты на всей трассе конвейера от точки сбегания ленты с приводного барабана, до точки набегания ленты на приводной барабан.

Для выполнения тягового расчета контур всей трассы конвейера по ходу движения ленты разделяется на отдельные участки по виду сопротивлений: горизонтальные, наклонные, повороты, загрузка и т.д. Нумерация точек и расчет начинается с точки сбегания лент с приводного барабана и продолжается по всему контуру трассы до конечной точки расчета. Для определения действительных натяжений в каждой точке трассы, при использовании фрикционного привода, за основу берем теорию фрикционных приводов традиционных ленточных конвейеров, и тяговый расчет проводим аналогично.

Рисунок 2 - Схема к тяговому расчёту конвейера

Натяжения ленты на различных участках:

Участок 1-2


Н = 51,2 кН

Участок 2-3

 = 51,2 кН

Участок 3-4

 = 52,2 кН

Участок 4-5

 = 52.2 кН

= 54.4 кН

Участок 6-7

= 54,4 кН

Участок 7-8

=56.1 кН

Участок 8-9

=58,2 кН

Участок 9-10

=61,2 кН

Рисунок 3 - График натяжения ленты

4. Расчёт дополнительных усилий при пуске конвейера

Определение максимального натяжения ленты с учетом динамических пусковых нагрузок.


где  - пусковое натяжение сбегающей ветви, создаваемое НУ;

 - сопротивление верхней грузовой ветви, рассчитанное с учетом пускового коэффициента сопротивления движению;


 - сопротивление нижней холостой ветви, рассчитанное с учетом пускового коэффициента сопротивления движению;


Где а - ускорение ленты при пуске; ; Б - коэффициент, учитывающий длину конвейера; - относительное удлинение.


Где  - коэффициент безопасности; f - коэффициент внешнего трения.

Принимаем, что α = 0.1 м/с2.

Т.к.  0.1 < 0,33, то груз не проскальзывает по ленте.

Проверяем выбор прочности ленты при номинальном запасе прочности [2,с.104]: