Материал: Расчет главной понизительной подстанции химического завода

Внимание! Если размещение файла нарушает Ваши авторские права, то обязательно сообщите нам

Расчет главной понизительной подстанции химического завода

ОГЛАВЛЕНИЕ

1 ВЫБОР СТРУКТУРНОЙ СХЕМЫ ПОДСТАНЦИИ

ВЫБОР ПОНИЖАЮЩИХ ТРАНСФОРМАТОРОВ

РАСЧЁТ ТОКОВ КОРОТКОГО ЗАМЫКАНИЯ

ВЫБОР СХЕМ РАСПРЕДЕЛИТЕЛЬНЫХ УСТРОЙСТВ ВН И НН.

ВЫБОР КОММУТАЦИОННОЙ АППАРАТУРЫ, ТОКОВЕДУЩИХ

ЧАСТЕЙ, СРЕДСТВ КОНТРОЛЯ И ИЗМЕРЕНИЙ

.1. РУ ВН

.2 РУ НН

.3 Расчёт присоединений на НН

ВЫБОР ШИН ВН И НН

.1 Расчет шин ВН

.2 Расчет шин НН

ВЫБОР ИЗМЕРИТЕЛЬНЫХ ПРИБОРОВ

.1 РУ ВН

.2 РУ НН

РАЗРАБОТКА СХНЕМЫ ПИТАНИЯ СОБСТВЕННЫХ НУЖД

.1 Определение мощности потребителей собственных нужд

.2 Выбор трансформатора собственных нужд

.3 Выбор схемы питания потребителей собственных нужд

ВЫБОР АККУМУЛЯТОРНОЙ БАТАРЕИ

БИБЛИОГРАФИЧЕСКИЙ СПИСОК

1 ВЫБОР СТРУКТУРНОЙ СХЕМЫ ПОДСТАНЦИИ


Структурная схема подстанции машиностроительного завода должна состоять из распределительных устройств (РУ) высокого и низкого напряжения, а так же понижающего трансформатора.

На подстанции машиностроительного завода необходимо установить 2 трансформатора исходя из категории надёжности потребителей (II категория).

Подстанция является транзитной, через её шины осуществляется транзит мощности между точками сети. Она имеет 2 питающие и одну отходящую линию 110 кВ. Распределительное устройство низшего напряжения (РУ НН) имеет 12 отходящих линий.

Рисунок 1 - Структурная схема подстанции

2 ВЫБОР ПОНИЖАЮЩИХ ТРАНСФОРМАТОРОВ

Мощность трансформатора выбираем исходя из следующего условия:


Ближайшая стандартная мощность 25 МВА

Коэффициент загрузки трансформатора вычисляется по формуле:

,


где: - номинальная мощность трансформатора;  -число трансформаторов.

по КЗ трансформатор на 25 МВА не проходит, выбираем следующий трансформатор по шкале ГОСТ номинальной мощности 40 МВА.

Выбираем трансформатор ТРДН-40000/110.

Трансформатор с расщепленной обмоткой, имеет масляное охлаждение с дутьем, имеет устройство РПН.

Паспортные данные:


Коэффициент перегрузки трансформатора при условии, что один из трансформаторов вышел из строя вычисляется по формуле :


Так как коэффициенты не превышают допустимых значений, то трансформатор отвечает условиям надёжности.

3 РАСЧЁТ ТОКОВ КОРОТКОГО ЗАМЫКАНИЯ

Составляем схему замещения подстанции.

Рисунок 2 - Схема замещения подстанции

Считаем ток КЗ для точки К1:

Базисный ток на стороне ВН определяется по формуле:

,

где: Sб-базисная мощность, равная 100 МВА; UСР 1 - среднее напряжение на шинах ВН.

Периодическая составляющая тока КЗ на стороне ВН определяется по формуле:

,

где: XС - сопротивление системы при Sб =100 МВА.

Ударный ток КЗ для точки К1 определяется по формуле:

,

где: КУ - ударный коэффициент, берём из справочной литературы.

Считаем ток КЗ для точки К2:

Базисный ток на стороне НН определяется по формуле:

,

где: UСР 2 - среднее напряжение на шинах НН.

 сопротивление трансформатора определяется по формуле:


 сопротивление в точке К2 определяется по формуле:

ХК2=XС + XТ =0,015+0,104=0,12 Ом

Периодическая составляющая тока КЗ на стороне НН определяется по формуле:


Ударный ток для точки К2 определяется по формуле:


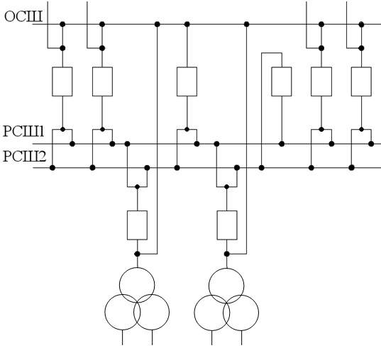
4 ВЫБОР СХЕМ РАСПРЕДЕЛИТЕЛЬНЫХ УСТРОЙСТВ ВН И НН

Схема РУ ВН

Схема с двумя системами шин и обходной с шинносоединительным и обходным выключателями обеспечивает возможность поочерёдного ремонта выключателей без перерыва в работе соответствующих присоединений. Схема рекомендуется к применению в РУ 110-220кВ при числе присоединений от 5 до 15. В нормальном режиме работы обе системы шин являются рабочими, шинносоединительный выключатель находится во включенном положении.

Рисунок 3 - Схема РУ ВН

Схема РУ НН

Схема с одной секционированной системой шин. Эта схема применяется для потребителей I и II категории. Предполагает использование двух источников питания. Секционный выключатель в нормальном режиме разомкнут, чтобы ограничить токи КЗ. Авария на сборных шинах приводит к отключению только одного источника и половины потребителей.

Рисунок 4 - Схема РУ НН

5 ВЫБОР КОММУТАЦИОННОЙ АППАРАТУРЫ, ТОКОВЕДУЩИХ ЧАСТЕЙ, СРЕДСТВ КОНТРОЛЯ И ИЗМЕРЕНИЙ

.1 РУ ВН

Определяем рабочий ток продолжительного режима:

,

где: S’ном т - номинальная мощность трансформатора, с учётом установки в перспективе трансформатора следующей по шкале ГОСТ номинальной мощности, т.к. расчетная мощность 40, то выбираем трансформатор 63 МВА как перспективный.

Максимальный ток аварийного режима определяем по формуле:


Выбираем элегазовый выключатель ВГБУ-110.

Паспортные данные:         

Время отключения выключателя определяется по формуле:

τ = tmin РЗ + tс.в. = 0,01+0,03 = 0,04 c.,

где: tmin РЗ - минимальное время срабатывания защиты, принимаем равным 0,01 с; tс.в.. - собственное время отключения выключателя.

Значение апериодической составляющей тока КЗ в момент времени  определяется по формуле:

,

где: Та - постоянная времени затухания апериодической составляющей тока КЗ, принимаем равной 0,02.

Нормированное значение апериодической составляющей тока отключения определяем по формуле:

,

где: βнорм - нормированное содержание апериодической составляющей в токе отключения; Iоткл.ном. - номинальный ток отключения у данного выключателя.

Проверка выключателя на термическую стойкость:

Тепловой импульс выделяемый током короткого замыкания:


Термическая стойкость выключателя:


где: Iтер - ток термической стойкости; tтер - время протекания тока термической стойкости.

Условие  выполнено.

Выберем разъединитель SGF 123n и трансформатор тока ТФЗМ 110Б-III У1

Таблица 1 - Расчётные и справочные данные по выключателю, разъединителю и трансформатору тока на стороне ВН

Расчётные данные

Выключатель ВГБУ-110

Разъединитель SGF 123n

Трансф-тор тока ТФЗМ 110Б-III У1























Установим на стороне ВН трансформатор напряжения НКФ-110-58У1.

Паспортные данные: класс напряжения 110 кВ; наибольшее рабочее напряжение 126/ кВ; номинальная мощность в классе точности 0,5 - 400 ВА.

5.2 РУ НН

Определяем рабочий ток продолжительного режима:

,

где: Sном т - номинальная мощность трансформатора.

Максимальный ток аварийного режима определяем по формуле:

Выбираем воздушный выключатель ВВОА

Паспортные данные:       

Время отключения выключателя определяется по формуле:

τ = tmin РЗ + tс.в. = 0,01+0,08 = 0,09 c.,

где: tmin РЗ - минимальное время срабатывания защиты, tс.в. - собственное время отключения.

Значение апериодической составляющей тока КЗ в момент времени  определяется по формуле:

,

где: Tа - постоянная времени затухания апериодической составляющей тока КЗ примем равной 0,05.

Нормированное значение апериодической составляющей тока отключения определяется по формуле:

,

где: βНОРМ - нормированное содержание апериодической составляющей в токе отключения; Iоткл.ном - номинальный ток отключения выключателя.

Проверка выключателя на термическую стойкость:

Тепловой импульс выделяемый током короткого замыкания:


Термическая стойкость выключателя:


где: Iтер - ток термической стойкости; tтер - время протекания тока термической стойкости.

Условие  выполнено.

Выберем разъединитель РРЧ-20/6300 МУЗ и трансформатор тока ТШ-20-УЗ.

Таблица 2 - Расчётные и справочные данные по выключателю, разъединителю и трансформатору тока на стороне НН

Расчётные данные

Выключатель ВВОА

РРЧ-20/6300 МУЗ

Трансформатор тока ТШ-20-У3























Установим на стороне НН трансформатор напряжения НТМК-6-71У3.

Паспортные данные: класс напряжения 6 кВ; наибольшее рабочее напряжение 7,2 кВ; номинальная мощность в классе точности 0,5 - 75 ВА.

5.3 Расчёт присоединений на НН

Ток в каждом из присоединений:


где:  количество присоединений.

Для отходящих присоединений выбираем вакуумный выключатель

ВВЭ-10-20/630У3

Паспортные данные:         

Время отключения выключателя определяется по формуле:

τ = tmin РЗ + tс.в. = 0,01+0,055 = 0,065 c.,

где: tmin РЗ - минимальное время срабатывания защиты, tс.в. - собственное время отключения.

Значение апериодической составляющей тока КЗ в момент времени  определяем по формуле:

,

где: Tа - постоянная времени затухания апериодической составляющей тока КЗ принимается равной 0,05.

Нормированное значение апериодической составляющей тока отключения определяем по формуле:

,

где: βНОРМ - нормированное содержание апериодической составляющей в токе отключения; Iоткл.ном - номинальный ток отключения выключателя.

Проверка выключателя на термическую стойкость:

Тепловой импульс выделяемый током короткого замыкания:


Термическая стойкость выключателя:


где: Iтер - ток термической стойкости; tтер - время протекания тока термической стойкости.

Условие  выполнено.

Выберем разъединитель РВ и трансформатор тока ТПЛК-10-УЗ.

Таблица 3 - Расчётные и справочные данные по выключателю и разъединителю на присоединениях к стороне НН

Расчётные данные

Выключатель ВВЭ-10-20/630У3

Разъединитель РВ

Трансформатор тока ТПЛК-10-УЗ