Материал: Расчет электроснабжения цеха

Внимание! Если размещение файла нарушает Ваши авторские права, то обязательно сообщите нам

для выключателей Электрон Э16В с

для выключателей ВА 0436 с  400 А

для выключателей ВА 0436 с  160 А


Сопротивление контактов соединений шинопроводов:

ШМА (К2,К3) 9 секции по 6 метров

ШМА(К4,К5) 1,7 секций по 6 метра

ШРА (К4,К5) 18 секций по 3 метра

Сопротивление контактов соединительных кабелей (учитываем по 2 контакта на 1 кабель):

 

Рисунок №9.2 Схема замещения для расчета токов к.з.

Расчёт токов однофазного и трёхфазного КЗ

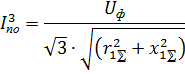
Ток трёхфазного короткого замыкания определяем по формуле:


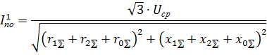
Ток однофазного короткого замыкание определяется по формуле:


среднее номинальное напряжение сети, В, где произошло КЗ;

суммарные соответственно активное и индуктивное сопротивления схемы замещения прямой последовательности относительно точки КЗ, включая сопротивления шинопроводов, аппаратов и переходные сопротивления контактов, начиная от нейтрали понижающего трансформатора, мОм;

 то же, нулевой последовательности.

Сопротивления нулевой последовательности трансформатора с низшим напряжением до 1кВ при схеме соединения обмоток тр-11 принимаем равными сопротивлениям прямой последовательности.

Рассчитываем ток трёхфазного КЗ в точке К1.

Полагаем, что КЗ в начале ШМА т.к. необходимо рассчитать максимальное значение тока КЗ

Суммарное активное сопротивление равно:


Суммарное реактивное сопротивление равно:


Ток трехфазного КЗ равен:


Рассчитываем ток однофазного КЗ в точке К1.

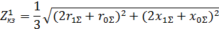
Определяем ток однофазного короткого замыкания. Находим сопротивления обратной (равно прямой т.к. нет вращающихся машин) и нулевой последовательности. Следует заметить, что в сопротивлении прямой последовательности нужно учитывать активное сопротивление дуги. Влияние активного сопротивления дуги на то КЗ учтем путем умножения расчетного тока КЗ, найденного без учета сопротивления дуги в месте КЗ на зависящей от сопротивления цепи КЗ поправочный коэффициент Кс.

Для всех остальных точек мы находим ток КЗ без учета дуги.

Полагаем, что КЗ в конце ШМА т.к. необходимо рассчитать минимальное значение тока КЗ.


Тогда с учетом сопротивления дуги имеем ток однофазного к.з.


Для всех остальных точек выполняем аналогичный расчет. Результаты сводим в таблицу № 8.3

Таблица 9.3 Расчёт токов КЗ

№ точки

 

 

 

 

 

 

 

 

 

К1

1,91

8,7

25,9

3,453

9,533

17,12

17,03

14,4

0,68

10,88

К2

6,5

10,54

18,6

11,861

18,64

95,5

106,6

62,3

1,034

3,83

К3

41,57

19,33

5,01

41,4

19,33

390,1

113,51

165,5

0,94

1,3

К4

15,98

11,85

11,6

17,52

11,85

130,4

24,2

57,4

0,82

3,29

К5

18,18

12,24

10,5

19,73

12,24

151,4

25,75

65,8

0,84

2,94

10. Расчет пусковых и пиковых токов.

Расчет пусковых токов

Пусковой ток определяем для приемников имеющих АД с короткозамкнутым ротором для проверки вставок предохранителей.

Пусковой ток приемника определяют по формуле:

, где

 - нормальный ток ЭП, которой определяется по следующей формуле:

 

- кратность пускового тока, т.к отсутствуют данные примем:=5

Таблица №10.1 Значения пусковых токов для приемников с АД

Наименование ЭП

 


Кругло-шлифовальный

21

0,65

46,6

5

233

Токарно-револьверный

17

0,65

37,7

5

188,5

Вертикально-сверлильный

29

0,4

104,6

5

523

Токарный полуавтомат

23

0,65

51

5

255

Плоскошлифовальный

26

0,65

40

5

200

Токарный с ЧПУ

58

0,65

97,7

5

488,5

Горизонтально-проточный

15

0,65

46,6

5

233

Горизонтально-расточный

33

0,65

51

5

255

Вентустановка

18

0,8

27

5

135

Радиально-сверлильный

38

0,4

151,5

5

757,5

Бесцентро-шлифовальный

14

0,65

64,4

5

322

Токарно-винторезный

24

0,4

43,3

5

216,5

Точильно-шлифовальный

28

0,65

46,6

5

233

Вентустановка

12

0,8

21,6

5

108,25

Вентустановка

14

0,8

32,5

5

162,5


Расчет пиковых токов

Определение пиковых токов магистральных, распределительных шинопроводов и СП

Для расчета пиковых токов магистральных, распределительных шинопроводов и СП использеум следующую формулу:

где

Ip - расчетный ток ШМА, ШРА, СП, А;

Iп.max - пусковой ток наибольшего по мощности ЭП, подключаемого к ШМА, ШРА, СП,А;

Kи - коэффициент использования наибольшего по мощности ЭП, А;

Iн.max - номинальный ток наибольшего по мощности ЭП.

Расчет пикового тока ШМА

Определим номинальный ток наибольшего по мощности приемника (в данном случае им является - токарный с ЧПУ с Kи = 0,2):


 - максимальный расчетный ток узла нагрузки(ШМА), с учетом компенсации реактивной мощности;

, тогда


Расчет пикового тока ШРА-1

Наибольшим по мощности электроприемником является вертикально-сверлильный с

Максимальный расчетный ток ШРА-1


Расчет пикового тока ШРА-2

Наибольшим по мощности электроприемником является токарный с ЧПУ с

Максимальный расчетный ток ШРА-2


Расчет пикового тока СП-1

Наибольшим по мощности электроприемником является радиально-сверлильный станок с

Максимальный расчетный ток СП-1


Расчет пикового тока СП-2

Наибольшим по мощности электроприемником является токарно-револьверный станок с

Максимальный расчетный ток СП-2


Расчет пикового тока СП-4

Кроме вентустановки, СП-4 питает электротермические печи, пиковый ток которых практически не отличается от номинального, поэтому используем мощность двигателя вентустановки с

Максимальный расчетный ток СП-4


Расчет пиковых токов машин контактной электросварки

Машины контактной электросварки относятся к потребителям с резкопеременным режимом работы и создают пиковые нагрузки с большой частотой, вследствии чего в сети возникают колебания напряжения.

Пиковая мощность машины в момент сварки определяется по формуле:


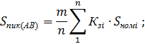
Расчетный пик любой пары фаз, например фазы АВ, определяется по формуле:


Где  - число одновременно работающих машин, определенных по кривым вероятности

 - число машин, подключенных к данной пары фаз

При определении  рассчитывается средневзвешенное значение


Пиковая нагрузка для линейного провода определяется по формуле, соответственно пикам двух пар фаз, например в фазе В:


Где , - пиковая нагрузка для пары фаз АВ и для пары фаз ВС

Пиковый линейный ток:


Где  - линейное напряжение, кВ

Расчёт пикового тока СП-5

 

Таблица 10.2 Расчет СП №5

Наименование ЭП

 

 

 

Точечные стационарные

4

120

0,55

0,03

0,8

2,88

16,62

Сварочные точечные

3

110

0,55

0,04

0,8

3,52

17,6