Таблица 7.4 - Расчет СП-2.
|
Наименование ЭП |
|
|
|
|
|
|
|
|
|
|
|
|
|
|
|
|
Точильно-шлифовальный |
5 |
21 |
105 |
0,2 |
0,65 |
1,17 |
21 |
24,6 |
2205 |
|
|
|
|
|
|
|
ИТОГО |
5 |
|
105 |
0,2 |
|
1,17 |
21 |
24,6 |
2205 |
5 |
1,78 |
37,4 |
27,06 |
46,2 |
66,7 |
Таблица 7.5 - Расчет СП-3.
|
Наименование ЭП |
|
|
|
|
|
|
|
|
|
|
|
|
|
|
|
|
Нагревательная печь |
2 |
80 |
160 |
0,8 |
0,95 |
0,33 |
128 |
42,1 |
12800 |
|
|
|
|
|
|
|
Термическая печь |
3 |
60 |
180 |
0,8 |
0,95 |
0,33 |
144 |
47,3 |
10800 |
|
|
|
|
|
|
|
ИТОГО |
5 |
|
340 |
0,8 |
|
|
272 |
89,4 |
23600 |
5 |
1 |
272 |
98,34 |
289,2 |
417,4 |
Таблица 7.6 - Расчет СП-4.
|
Наименование ЭП |
|
|
|
|
|
|
|
|
|
|
|
|
|
|
|
|
Электротермическая печь |
3 |
55 |
165 |
0,8 |
0,95 |
0,33 |
132 |
43,4 |
9075 |
|
|
|
|
|
|
|
Вентустановка |
1 |
12 |
12 |
0,65 |
0,8 |
0,75 |
7,8 |
5,85 |
144 |
|
|
|
|
|
|
|
ИТОГО |
4 |
|
179 |
0,78 |
|
0,35 |
139,8 |
49,25 |
9219 |
4 |
1 |
139,8 |
54,18 |
149,9 |
216,4 |
Выбор силовых пунктов сварочного отделения
Выбор силового пункта №5
Составим таблицу загрузок (таблица №
7,7)
Таблица 7.7- Расчет СП №5
|
Наименование ЭП |
|
|
|
|
|
|
|
|
Точечные стационарные |
4 |
120 |
0,55 |
0,03 |
0,8 |
2,88 |
16,62 |
|
Сварочные точечные |
3 |
110 |
0,55 |
0,04 |
0,8 |
3,52 |
17,6 |
Алгоритм расчета
1. Распределяем нагрузки по трем
парам фаз:
2. Определим средние нагрузки каждой
машины:
- коэффициент
загрузки i-той сварочной машины;
- коэффициент
включения i-той сварочной машины.
.Определим среднюю мощность каждой
пары фаз,например, АВ:
![]()
. Определим среднеквадратическую
мощность каждой сварочной машины:
.Среднеквадратичная нагрузка каждой
пары фаз, например, АВ, определяется по формуле:
. Расчетная мощность всех сварочных машин
определяеться по 2-ум наиболее загруженным парам фаз:
7. Определим расчетную активную и реактивную и
полную мощность :
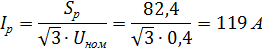
= 82,4 кВА
Выбираем силовой пункт № 5 : ШРС1 - 53УЗ на номинальный ток шкафа 320 А с числом отходящих линий 8 и номинальным током предохранителей 60 А типа НПН2 - 60 (до 63А)
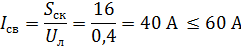
Проверим силовой пункт на токи отходящих линий:
Определим номинальный ток для одной машины -
точечный стационарный с максимальной
:
Силовой пункт выбран верно
Выбор силового пункта №6
Составим таблицу загрузок (таблица №
7.8)
Таблица 7.8 - Расчет СП №6
|
Наименование ЭП |
|
|
|
|
|
|
|
|
Сварочные стыковые |
3 |
90 |
0,55 |
0,02 |
0,8 |
1,44 |
10,18 |
|
Сварочные шовные роликовые |
3 |
100 |
0,55 |
0,04 |
0,8 |
3,2 |
16 |
Алгоритм расчета
1. Распределяем нагрузки по трем
парам фаз:
2. Определим средние нагрузки каждой
машины:
- коэффициент
загрузки i-той сварочной машины;
- коэффициент
включения i-той сварочной машины.
3.Определим среднюю мощность каждой
пары фаз,например, АВ:
4. Определим среднеквадратическую
мощность каждой сварочной машины:
.Среднеквадратичная нагрузка каждой
пары фаз, например, АВ, определяется по формуле:
. Расчетная мощность всех сварочных машин
определяеться по 2-ум наиболее загруженным парам фаз:
7. Определим расчетную активную и реактивную и
полную мощность :
Кроме сварочной нагрузки к СП-6 подключена две
вентустановки, с
Суммируем
сварочную нагрузку и нагрузку вентустановок.
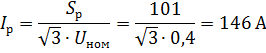
= 101 кВА
Выбираем силовой пункт № 6 : ШРС1 - 53УЗ на номинальный ток шкафа 320 А с числом отходящих линий 8 и номинальным током предохранителей 60 А типа НПН2 - 60 (до 63А)
Проверим силовой пункт на токи отходящих линий:
Определим номинальный ток для одной машины -
сварочный - стыковой с максимальной
:
Силовой пункт выбран верно
8. Выбор кабелей и кабельных перемычек
Сечение жил кабелей цеховой сети выбирают по
нагреву длительным расчетным током по условию:
где
расчётный
ток, А;
длительно
допустимый ток заданного сечения, А.
номинальная
мощность электроприёмника, кВт;
номинальный
коэффициент мощности электроприёмника.
Для асинхронных двигателей с короткозамкнутым
ротором должно выполнятся условие:
для печей и сварочных машин:
За расчетный ток для сварочных машин принимаем
среднеквадратический ток:
Таблица 8.1 - Выбор кабелей для ЭП, у которых АД с К.З. ротором является привод.
|
Наименование ЭП |
|
|
|
|
|
|
|
Кругло-шлифовальный |
21 |
0,65 |
46,6 |
58,29 |
60 |
16 |
|
Токарно-револьверный |
17 |
0,65 |
37,7 |
47,18 |
60 |
16 |
|
Вертикально-сверлильный |
29 |
0,4 |
104,6 |
130,8 |
155 |
70 |
|
Токарный полуавтомат |
23 |
0,65 |
51 |
63,84 |
80 |
25 |
|
Плоскошлифовальный |
18 |
0,65 |
40 |
50 |
60 |
16 |
|
Токарный с ЧПУ |
44 |
0,65 |
97,7 |
122,1 |
155 |
70 |
|
Горизонтально-проточный |
21 |
0,65 |
46,6 |
58,3 |
60 |
16 |
|
Горизонтально-расточный |
23 |
0,65 |
51 |
64 |
80 |
25 |
|
Вентустановка |
15 |
0,8 |
27 |
34 |
46 |
10 |
|
Радиально-сверлильный |
42 |
0,4 |
151,5 |
189,4 |
190 |
95 |
|
Бесцентро-шлифовальный |
29 |
0,65 |
64,4 |
80,5 |
80 |
25 |
|
Токарно-винторезный |
12 |
0,4 |
43,3 |
54,1 |
60 |
16 |
|
Точильно-шлифовальный |
21 |
0,65 |
46,6 |
58,3 |
60 |
16 |
|
Вентустановка |
12 |
0,8 |
21,65 |
27 |
29 |
4 |
|
Вентустановка |
18 |
0,8 |
32,5 |
40,6 |
46 |
10 |
|
Кран |
50 |
0,5 |
144,3 |
180,4 |
190 |
95 |