Материал: Расчет электропривода вихревого насоса

Внимание! Если размещение файла нарушает Ваши авторские права, то обязательно сообщите нам

. По полученному выражению построить кривую избыточного момента

Рисунок № 7 Зависимость избыточного момента от угловой скорости

. Разобьем диапазон изменения угловой скорости на 10 примерно равных участков.

Таблица № 5 Диапазон изменения угловой скорости

1

2

3

4

5

6

7

8

10

30

60

90

120

150

180

210

250

280

300


. На каждом участке заменить кривую избыточного момента прямой линией, параллельной оси угловой скорости, так, чтобы площади между прямой и кривой выше и ниже прямой были бы приблизительно равны. Т. е., считать, что в пределах участка избыточный момент постоянный, равный .

Рисунок № 8 Фактическая и аппроксимирующая ступенчатая зависимость избыточного момента от угловой скорости

. Тогда для каждого участка время разгона электродвигателя от  до  находим по формуле:


где среднее значение избыточного момента на рассматриваемом i-м участке, приведенный момент инерции ЭП, ;  угловая скорость вала электродвигателя на рассматриваемом i-м участке, :


. Время разгона электродвигателя от нуля и до


Таблица № 6 Результаты расчета по формулам (3.15); (3.16); (3,17)

1

2

3

4

5

6

7

8

9

10

7.765

8.337

8.825

9.282

9.771

10.342

10.911

10.774

7.195

4.63

30

60

90

120

150

180

210

250

280

300

30

30

30

30

30

30

30

40

30

20

0,061

0,057

0,054

0,051

0,049

0,046

0,059

0,066

0,102

0,578

0,066

0,118

0,172

0,223

0,272

0,318

0,377

0,443

0,545

1,123


. По результатам построим кривую разбега электродвигателя

Рисунок № 9 Кривая разбега электродвигателя

. Общее время пуска электродвигателя определим по формуле:



. Определить потери энергии при пуске электродвигателя:


где соответственно номинальная (паспортная) мощность, Вт, двигателя и его номинальный КПД (таблица № 3) ; отношение постоянных потерь мощности АД к его номинальным переменным потерям( для АД общего назначения ); продолжительность пуска двигателя,с; кратность пускового тока АД по отношению к номинальному при  (таблица № 3).

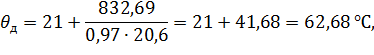
. Определим температуру электродвигателя в конце периода пуска по формуле:


где превышение температуры двигателя  над температурой окружающей среды ,; потери энергии в электродвигателе при пуске, Дж; масса электродвигателя, кг, (таблицы № 2);средняя удельная теплоемкость электродвигателя, которая может быть принята на уровне ;


Электродвигатели имеют систему изоляции класса нагревостойкости «F». Классу изоляции нагревостойкости по ГОСТ 8865-93 соответствует температура

Так как полученное значение температуры в конце периода пуска меньше допустимого для данного класса изоляции , электродвигатель по допустимому нагреву при продолжительном пуске проходит.

4. Построение кривых нагрева и охлаждения электродвигателя


Кривую нагрева электродвигателя с холодного состояния строю в предположении, что электродвигатель загружен на эквивалентную по нагрузочной диаграмме мощность.

. Определим постоянную времени нагрева выбранного электродвигателя по формуле:


где масса электродвигателя, кг; среднее установившееся превышение температуры двигателя при номинальной нагрузке при изменении методом сопротивления; номинальный КПД двигателя;  номинальная мощность двигателя, Вт.

. Постоянная времени охлаждения


где коэффициент охлаждения (для защищённого электродвигателя, с вентиляцией от собственного вентилятора на валу двигателя ).

3.Определим установившееся превышение температуры электродвигателя над температурой окружающей среды при фактической загрузке по формуле:


где среднее установившееся превышение температуры двигателя при номинальной нагрузке при изменении методом сопротивления ( - для класса изоляции F);отношение постоянных потерь мощности АД к его номинальным переменным потерям (для АД общего назначения ).

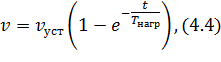
. Определим величину превышения температуры электродвигателя для различных моментов времени по формуле:


где постоянная времени нагрева электродвигателя (примем ).

Таблица № 7 Результаты расчета по формуле (4.4)

52,6

71,95

79,07

81,69

82,65

73,6

92,95

100,07

102,69

103,65


. Построим кривую нагрева электродвигателя

Рисунок № 10 Кривая нагрева электродвигателя.

. Кривую охлаждения рассчитаем в предположении, что отключение электродвигателя произошло по истечении времени работы, равного 4Тнагр, т. е., по выражению:


где постоянная времени охлаждения (формула 4.3)

Таблица № 8 Результаты расчета по формуле 4.5

29,43

10,83

3,98

1,47

0,54

50,43

31,83

24,98

22,47

21,54


. Строим кривую охлаждения электродвигателя:

Рисунок № 11 Кривая охлаждения электродвигателя.


5. Выбор пусковой и защитной аппаратуры

.1 Выбор аппаратов коммутации и защиты цепи электродвигателя от коротких замыканий


В качестве аппарата, осуществляющего ручное включение и отключение цепей электродвигателя, можно выбрать рубильник типа Р, РА, РБ, РПЦ, РШ или пакетный выключатель, например, типа ПВМ. Для защиты от коротких замыканий этот аппарат должен быть дополнен плавкими предохранителями типа ПР-2, НПН-2, ППН. С учётом времени пуска номинальный ток плавкой вставки для выбранного электродвигателя определяю по формуле


где  коэффициент интенсивности пуска ЭП, равный  при длительности пуска ЭП до 3 с;пусковой ток двигателя, А.

IП - пусковой ток выбранного электродвигателя, А.


Плавкая вставка - элемент разового действия. Поэтому при эксплуатации электропривода необходимо иметь запасной комплект плавких вставок. При отсутствии запасного комплекта плавкую вставку иногда заменяют медной проволокой круглого сечения. Определяю необходимый диаметр медного проводника, для использования вместо стандартной плавкой вставки по формуле:


Однако комбинация «рубильник - плавкая вставка» для коммутации и защиты электродвигателей в настоящее время используется редко. Это объясняется тем, что требуется иметь запасной комплект плавких вставок, который не всегда оказывается под рукой, а, кроме того, при перегорании вставки в одной из фаз электродвигатель переходит в опасный для его целостности неполнофазный режим работы.

Поэтому окончательно для коммутации цепей электродвигателя и защиты их от короткого замыкания выбираю более прогрессивный аппарат - автоматический выключатель с электромагнитным расцепителем. Выбор автоматического выключателя осуществлять по роду тока, номинальным напряжению и току, типу защитной характеристики.

Таблица № 15 Техническая характеристика автоматического выключателя серии ВА 201 :

Серия

ВА 201

Номинальное напряжение, В

400 В

Номинальный ток выключателя (расцепителя), А

50 А

Тип защитной характеристики

С

Число полюсов

3

Коммутационная износостойкость

Не менее 4000 циклов

Предельная коммутационная способность, А

6000

Степень защиты

IP 20

Номинальные площади подключения поперечных сечений подключаемых проводников,

2,5 … 50


5.2 Выбор устройства защитного отключения (УЗО)


Для отключения электропривода при повреждении изоляции, неисправности электрических цепей и появлении тока утечки на землю, в том числе и через тело человека, выбирают высокочувствительное устройство защитного отключения (УЗО).

Выбираем электромеханическое УЗО-01 с техническими данными представленных в таблице № 16.

Таблица № 16 Основные технические характеристики УЗО-01

Количество полюсов

4

Номинальное напряжение

415

Частота

50

Номинальные токи нагрузки

63

Номинальный отключающий дифференцирующий ток (уставка)

100

Номинальный неотключающий дифференциальный ток

50

Номинальная отключающая и включающая способность по току

1500

Номинальный условный ток короткого замыкания (КЗ)

3000

Время отключения (срабатывания) при

Не более 0,05

Механическая износостойкость:


Механических циклов

Не менее 10000

В том числе коммутационная износостойкость электрических циклов

Не менее 2500

Площадь сечения подключаемого провода,

1 … 35

Степень защиты

IP 20

Функциональное исполнение

АС*