Материал: Расчет электропривода вихревого насоса

Внимание! Если размещение файла нарушает Ваши авторские права, то обязательно сообщите нам

2.4.4 Определение коэффициентов перегрузок и номинальной потребной мощности электродвигателя длительного режима нагрузки

Двигатель, рассчитанный на длительный режим работы, при работе в режиме, отличном от длительного, из условия равенства средних потерь может быть в период работы перегружен. Степень перегрузки оценивается коэффициентом тепловой перегрузки , равным отношению потерь мощности в период кратковременной работы  к потерям мощности в номинальном (длительном) режиме). Так как в заданном варианте режим нагрузки проектируемого электропривода длительный, коэффициент тепловой перегрузки для длительного режима .

Определим коэффициент механической (токовой) перегрузки по формуле:


где - коэффициент потерь, равный отношению постоянных потерь мощности в двигателе  к номинальным переменным (электрическим) ( для асинхронных двигателей общего назначения  ).

Потребную номинальную мощность электродвигателя, рассчитанного на длительный режим работы, при работе его в фактическом режиме находим по формуле:


.4.5 Выбор марки электродвигателя по каталогу

Ввиду дискретности номинальных мощностей электродвигателей номинальную мощность электродвигателя по каталогу принимаем ближайшую большую из условия


Выберем для привода вихревого насоса общепромышленный унифицированный асинхронный двухполюсный электродвигатель АИР 90L трехфазного типа. Синхронная частота вращения 3000 об/мин.

Конструктивное исполнение и способ монтажа: электродвигатель с двумя подшипниковыми щитами на лапах, с одним цилиндрическим концом вала, может работать при любом направлении конца вала.

Условия эксплуатации электродвигателя АИР 90L-2 в стандартном исполнении:

·              Температура окружающей среды от минус 40°С до плюс 40°С.

·              Относительная влажность (при +25°С) - до 98% (в исполнении У1, У2).

·              Запыленность воздуха: IР44 - не более 10 мг/м3, IР23 - не более 2 мг/м3.

·              Окружающая среда не взрывоопасная, не содержащая токопроводящей пыли, агрессивных газов и паров в концентрациях, разрушающих металл и изоляцию (кроме электродвигателей химически стойкого исполнения).

·              Класс изоляции нагревостойкости «F».

Таблица № 2 Основные характеристики электродвигателя марки АИР90L2

Название параметра

Значение

Примечание

при номинальной нагрузке

скольжение, %

5



КПД, %

84.5



cos

0.88


2

отношение пускового момента к номинальному

2.2

отношение максимального крутящего момента к номинальному

1.6

отношение минимального крутящего момента к номинальному крутящему моменту

7

отношение пускового тока к номинальному

3

номинальная мощность (Киловатт)

6.1

ток статора (Ампер)

380

номинальное напряжение питания (Вольт)

20,6

масса двигателя

0,024

момент инерции


Таблица № 3 Установочные, габаритные и присоединительные размеры электродвигателя АИР 90L-2.

Размер

Значение

Чертеж

l1

50

l10

125


l30

337


l31

56


d10

(10/12)


d1

24

  

d30

210

h37

0


b10

140


d10

(10/12)


h

90


- расстояние от оси вала до опорной поверхности лап (основной размер),10 - расстояние между осями крепительных отверстий,10 - расстояние между осями крепительных отверстий (боковой вид),31 - расстояние от опорного торца свободного конца вала до оси ближайших крепительных отверстий в лапах.

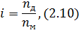
Определим передаточное отношение трансмиссии по формуле:


где номинальная частота вращения приводного вала (;номинальная частота вращения электродвигателя.


где  синхронная частота электродвигателя (таблица № 3); скольжение (таблица № 3)

3. Проверка выбранного электродвигателя по дополнительным условиям

.1 Проверка по условиям пуска

электропривод вихревой скважина коммутация

Определим потребную номинальную мощность электродвигателя по условию пуска:


где  приведённый к валу электродвигателя момент сопротивления рабочей машины при трогании с места (момент трогания), Нм;


избыточный момент минимальный, необходимый для обеспечения пуска, Нм,


 кратность пускового момента выбранного электродвигателя, равная отношению пускового момента электродвигателя к номинальному (таблица № 2); номинальное напряжение на зажимах пускаемого АД (; номинальная угловая скорость электродвигателя;

Как видно, потребная номинальная мощность электродвигателя по условию пуска меньше, чем номинальная мощность выбранного электродвигателя. Таким образов выбранный электродвигатель по условию пуска проходит

3.2 Проверка по условию статической устойчивости


Определим потребную номинальную мощность из условия статической устойчивости по формуле:


где максимальная мощность машины по нагрузочной диаграмме, Вт; относительная величина напряжения на зажимах проверяемого электродвигателя (с учётом того, что напряжения на зажимах электродвигателя может снизиться из-за пуска рядом расположенного другого электродвигателя, принимаем согласно ПУЭ ); кратность максимального (критического) вращающего момента электродвигателя с учетом возможного снижения напряжения питания, равная отношению максимального крутящего момента к номинальному (таблицы № 2)

Как видим, потребная номинальная мощность электродвигателя по условию статической устойчивости меньше, чем номинальная мощность выбранного электродвигателя. Таким образов выбранный электродвигатель по условию статической устойчивости проходит

.3 Проверка выбранного электродвигателя по допустимому нагреву при продолжительном пуске. Определение продолжительности пуска


.        Примем за номинальную мощность машины на её приводном валу мощность, которую она развивает при наибольшей производительности:


где -КПД механической передачи (для клиноременной 0,87…0,97).

Тогда номинальный момент машины на приводном валу:


где угловая частота вращения на приводном валу машины определяемая по формуле:


Механическая характеристика  заданной для проектирования электропривода рабочей машины описывается обобщённым уравнением:


где начальный момент статистической нагрузки от сил трения движения, равный ориентировочно моменту нагрузки на приводном валу при угловой скорости, близкой нулю, то есть из рассмотрения исключается момент сил трения-покоя (примем; момент статистической нагрузки при номинальной угловой скорости ; x - показатель степени, характеризующий изменение момента статической нагрузки  при изменении угловой скорости приводного вала механизма , равный для заданной машины 2.

Привожу механическую характеристику рабочей машины к валу электродвигателя:


где  угловая скорость вала электродвигателя, 1/с.

. Механическая характеристика асинхронного электродвигателя описывается по упрощенной формуле Клосса:


где скольжение (таблица № 3); максимальный (критический) вращающий момент электродвигателя:


критическое скольжение определяемое по формуле:


где кратность максимального (критического) вращающего момента электродвигателя с учетом возможного снижения напряжения питания, равная отношению максимального крутящего момента к номинальному (таблицы № 3)

. По полученным выражениям механических характеристик построить их графики.

Рисунок № 5 Механическая характеристика рабочей машины

Рисунок № 6 Механическая характеристика асинхронного электродвигателя

. Определим приведённый к валу электродвигателя момент инерции системы «электродвигатель - рабочая машина» по формуле:


где коэффициент, учитывающий момент инерции механической передачи (примем; соответственно момент инерции, , и масса кг,вращательно и поступательно движущихся частей рабочей машины; момент инерции электродвигателя,  (таблица № 2)

. Нахожу зависимость избыточного момента от угловой скорости:


Таблица № 4 Результаты расчета по формуле (3.14)

0

31.4

62.8

94.8

125.6

157

188.4

219.8

251.2

282.6

300

1

0.9

0.8

0.7

0.6

0.5

0.4

0.3

0.2

0.1

0

7.54

8.30

9.22

10.33

11.71

13.42

15.49

17.72

18.91

14.78

0

0.09

0.23

0.64

1.31

2.26

3.48

4.96

6.72

8.75

11.05

13.62

0.09

0.22

0.62

1.28

2.2

3.39

4.84

6.55

8.53

10.77

13.3

7,45

8,08

8,59

9,05

9,51

10,03

10,65

11,17

10,38

4,01

-13,3