Материал: Расчет автоматического регулятора скорости вращения вала двигателя

Внимание! Если размещение файла нарушает Ваши авторские права, то обязательно сообщите нам

Расчет автоматического регулятора скорости вращения вала двигателя

Министерство образования и науки Российской Федерации

Государственное образовательное учреждение высшего профессионального образования

Сибирская государственная автомобильно-дорожная академия (СибАДИ)

Кафедра «Автоматизация производственных процессов и электротехника»

Дисциплина «Автоматическое регулирование и управление двигателей внутреннего сгорания»






ПОЯСНИТЕЛЬНАЯ ЗАПИСКА

к курсовому проекту

Обозначение проекта КП 02068982 - 140501 - 15 -14

Тема проекта: Расчет автоматического регулятора скорости вращения вала двигателя


Студент  Юсипов Руслан





Омск - 2014

Оглавление

Введение

1. Основные сведения

2. Математическая модель регулятора

3. Математическая модель ДВС

Заключение

Список используемой литературы

Введение

Двигатели внутреннего сгорания занимают в энергетике ведущее место по количеству вырабатываемой энергии. Особо существенна роль двигателей в автомобильном, водном транспорте, в стационарной энергетике. Вследствие низкой устойчивости режимов дизелей чрезвычайно трудно обеспечивать их работу в эксплуатационных условиях и особенно в тех случаях, когда нагрузка оказывается переменной во времени или незначительна.

Именно поэтому двигатели внутреннего сгорания снабжают автоматическими регуляторами частоты вращения, а в некоторых случаях и другими устройствами.

Проблема регулирования дизелей с учетом эксплуатационных условий их работы имеет большое практическое значение. Система автоматического регулирования предназначена для обеспечения качественной работы как на стационарных режимах, так и на неустановившихся, когда изменения параметров процессов особо сильно влияют на эффективные показатели работы силовой установки в целом.

Исследование динамики регулирования дизелей показывает, что пока еще не решены такие вопросы, как обеспечение максимальной эксплуатационной надежности, оптимальное управление в условиях резко выраженной динамики изменения нагрузки, обеспечение качества переходных процессов дизеля при сбросах или набросах нагрузки и т. п.

При разработке новых или модернизации существующих двигателей, а также при доводке систем автоматического регулирования следует прежде всего обеспечить надежность и устойчивость работы их работы с максимально возможной производительностью и экономичностью.

Доводка систем автоматического регулирования производится на уровне экспериментальных исследований, когда знание происходящих в системе процессов позволяет ускорить доводку и обеспечить наибольшее качество создаваемой продукции.

двигатель регулятор автоматический скорость

1. Основные сведения

Единственным признаком появления в процессе работы двигателя неустановившихся режимов является: изменение во времени одного, нескольких или всех параметров.


При возникновении неустановившихся режимов нарушаются условия статического равновесия, в результате чего в двигателе оказывается неустойчивое равновесие.

Изменение параметров параметров двигателя во времени называют переходными процессами, они являются важнейшими динамическими характеристиками определяющими динамические свойства.

Рис. 1. Схема

 - установившийся режим

где  - приведённый к валу момент инерции вращающих частиц;  - угловая скорость коленчатого вала;  - момент коленчатого вала;  - момент сопротивления.


Если

Если  - увеличивается;

Если - уменьшается.


где  - нагрузка

По Тейлору


Момент зависит от положения рейки и частоты вращения и давления


Фактор устойчивости двигателя



где  - перемещение рейки насоса


Рис.2. Структурная схема регулятора

Момент на валу двигателя при заданной частоте вращения


Рис. 3.


. Математическая модель регулятора

Основное уравнение описывающие динамическую работу регулятора

Основное уравнение описывающие динамическую работу регулятора.

Это уравнение статистической муфты 5, которое заключается в равенстве поддерживающей силы  и восстанавливающей силы .


При нарушении статистического режима поддерживающая сила получает приращение  оно вызывает перемещение муфты  получило приращение

На точку А стала действовать сила  и сила гидравлического трения

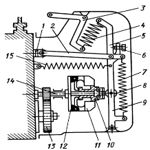
Рис. 4. Схема прецизионного механического регулятора 1 , 8 - тяги; 2, 7 - рычаги; 3 - тарелка; 4, 9 - пружины;  5 - муфта; 6 - груз; 10 - поршень; 11 - катаракт;  12 - игла; 13 - топливный насос; 14 - рейка;  15 - траверса; 16 - кулачковый валик.

Уравнение силы гидравлического трения


где  - коэффициент гидравлического трения;  - скорость перемещения муфты.


где  - угловая скорость вала регулятора;  - угловая скорость вала двигателя.


Рис. 5. Характеристики поддерживающей силы механического  чувствительного элемента, приведенной к оси движения муфты

-  

-5 -


где  - жёсткость пружины;  - передаточное отношение рычага;  - перемещение поршня


Динамические свойства регулятора с кататором

; ;

;

Рис. 6. Структурная схема регулятора

Уравнение движения поршня (механизм Катаракт)


;

Рис. 7. Структурная схема регулятора

Рис. 8. Структурная схема регулятора

; ; ; ; ; .

Рис. 9. Структурная схема регулятора

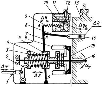
Рис. 10. Схема всережимного регулятора: 1 - рейка; 2 - тяга; 3, 5, 9 - рычаги; 4, 7, 15 - пружины; 6 - винт; 8 - ролик; 10 - муфта; 11 - груз; 12 - траверса; 13 - повышающая зубчатая передача; 14 - валик.

Рис. 11. Структурная схема комплекса «нагрузка-двигатель-регулятор»

. Математическая модель ДВС

Исходные данные:

Число оборотов коленчатого вала n0 = 1500 об/мин;

Мощность двигателя N0 = 240 кВт;

Нагрузка Е0 = 140 Н.


Таблица 1 - Зависимость момента на валу двигателя от частоты вращения


w

0,25M

0,5M

0,75M

M

Mc

0,2

31,41593

290,2986

580,5972

870,8958

61,1155

0,25

39,26991

310,3521

620,7043

931,0564

1241,409

95,49297

0,3

47,12389

328,4958

656,9916

985,4874

1313,983

137,5099

0,35

54,97787

344,7296

689,4592

1034,189

1378,918

187,1662

0,4

62,83185

359,0536

718,1071

1077,161

1436,214

244,462

0,45

70,68583

371,4676

742,9353

1114,403

1485,871

309,3972

0,5

78,53982

381,9719

763,9437

1145,916

1527,887

381,9719

0,55

86,3938

390,5662

781,1325

1171,699

1562,265

462,186

0,6

94,24778

397,2507

794,5015

1191,752

1589,003

550,0395

0,65

102,1018

402,0254

804,0508

1206,076

1608,102

645,5324

0,7

109,9557

404,8902

809,7804

1214,671

1619,561

0,75

117,8097

405,8451

811,6902

1217,535

1623,38

859,4367

0,8

125,6637

404,8902

809,7804

1214,671

1619,561

977,848

0,85

133,5177

402,0254

804,0508

1206,076

1608,102

1103,899

0,9

141,3717

397,2507

794,5015

1191,752

1589,003

1237,589

0,95

149,2257

390,5662

781,1325

1171,699

1562,265

1378,918

1

157,0796

381,9719

763,9437

1145,916

1527,887

1527,887

1,05

164,9336

371,4676

742,9353

1114,403

1485,871

1684,496

1,1

172,7876

359,0536

718,1071

1077,161

1436,214

1848,744


По полученным данным строим графики и определяем визуально точки пересечения графиков, занося их в таблицу 2.

Рис. 12. Зависимость момента на валу двигателя от частоты вращения

Соответственно. На касательных берем по две произвольные точки и опускаем перпендикуляры к осям. Вычитаем получившиеся значения и получаем конечный результат.

Таблица 2 - Зависимость момента двигателя от положения рейки (в %)

k

M

0,25

255.7847

0,5

544

0,75

829

1


Рис. 13. Зависимость момента двигателя от положения рейки (в %)


Расчитываем остальные недостающие данные:

тогда


Результаты моделирования

Рис. 14. Структурная схема системы автоматического регулирования угловой скорости двигателя внутреннего сгорания (дизеля) в обозначениях Simulink.

Таблица 3 - полученные результаты перерегулирования

м  н

0,01

0,02

0,03

0,04

0,05

0,1

118

118

118

118

118

0,2

118

118

118

118

118

0,3

118

118

118

118

118

0,4

118

118

118

118

118

0,5

118

118

118

118

118


Рис. 15. Время перерегулирования при м = 0,01

Заключение

В данной курсовой работе был выполнен расчет автоматического регулятора, предназначенного для поддержания скорости вращения вала ДВС на заданном уровне.

Для наиболее оптимальной работы двигателя необходимо учесть, что t (время переходного процесса) должно быть минимально. Из расчета видно, что время переходного процесса минимально при любом коэффициенте гидравлического трения в пределах от 0,1 до 0,5 и при массе шариков от 0,01 до 0,05 г.

Список используемой литературы

1. Крутов В.И. Автоматическое регулирование и управление двигателей внутреннего сгорания: Учебник для студентов ВУЗов, обучающихся по специальности «Двигатели внутреннего сгорания». - 5-е изд., перераб. и доп. М.: Машиностроение, 1989 г. - 416 с.

.   Лекции по дисциплине «Автоматическое регулирование и управление двигателей внутреннего сгорания».

.   Щербаков B.C., Руппель А.А., Лазута И.В., Милюшенко С.А. Автоматические системы управления в среде MATLAB-SIMULINK: Методические указания к выполнению лабораторных работ. - Омск: СибАДИ, 2010. - 49 с.