Материал: ПЗ 29.05.20_Чирков

Внимание! Если размещение файла нарушает Ваши авторские права, то обязательно сообщите нам

ПЗ №9

Чирков Д.В., Д-413

Задача

По данным таблицы определить Чистый дисконтированный доход, Индекс доходности дисконтированных инвестиций, Дисконтированный срок окупаемости при реализации инвестиционного проекта за весь расчетный период. Норма дисконта 0,1. Капитальные вложения производятся с целью создания и последующего коммерческого использования основных производственных средств. Для осознанного упрощения расчетов, амортизацию начисляем за полный год. Средний срок полезного использования ОПС – 20 лет. Линейный метод. Ставка налога на прибыль – 20%

Показатели, млн.р.

Горизонт расчета, годы

0

1

2

3

4

Капитальные вложения

4

6

2

Доходы

58

62

63

64

66

Текущие расходы (с амортизацией)

56

58

60

60

60

Показатель

Горизонт расчета, годы

0

1

2

3

4

1

Приток: Доходные поступления

58

62

63

64

66

2

Приток: амортиз-ые отчисления

0,2

0,5

0,6

0,6

0,6

3

Отток с амортизацией: (Зt*)

56

58

60

60

60

4

Сальдо потока от операц. деят.=(Rt – Зt*), =(стр.1-стр3) + стр.2

2,2

4,5

3,6

4,6

6,6

5

Отток: Капитальные вложения (Кt)

4

6

2

-

-

6

Отток: Налог на приб.

0,44

0,9

0,72

0,92

1,32

7

Сальдо сумм. потока

(=стр.4 - стр.5- стр.6)

-2,24

-2,4

0,88

3,68

5,28

8

Сальдо накопленного потока (ЧД)

-2,24

-4,64

-3,76

-0,08

5,2

9

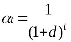
Коэффициент дисконтирования (норма дисконта 0,1)

1

0,9091

0,8264

0,7513

0,683

10

Дисконтированное сальдо потока (стр.7*стр.9)

-2,24

-2,182

0,727

2,765

3,606

11

Дисконтированное сальдо накопленного потока (ЧДД)

-2,24

-4,422

-3,695

-0,93

2,376

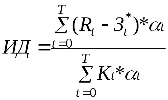
Индекс доходности дисконтированных инвестиций:

где Rt – поступления от реализации проекта на t-том шаге расчета; Зt затраты на реализацию проекта, включая капитальные вложения, на t-том шаге расчета; З*t - текущие затраты на реализацию проекта (без капитальных вложений), на t-том шаге расчета;Kt - капитальные вложения в проект на t-том шаге расчета; t – номер временного интервала реализации проекта;T- срок реализации проекта;αt норма дисконтирования на t-том шаге расчета.

ИД=

ИД , значит проект эффективен

Дисконтированный срок окупаемости:

года

Приток: Амортизационные поступления –

4/20=0,2

(4+6)/20=0,65

(4+6+2)/20=0,6

Отток: налог на прибыль:

0) 2,2*0,2=0,44 млн.р

1) 4,5*0,2=0,9 млн.р

2) 3,6*0,2=0,72 млн.р

3) 4,6*0,2=0,92 млн.р

4) 6,6*0,2=1,32 млн.р

Сальдо накопленного потока (ЧД):

0) -2,24

1) -2,24 – 2,4= -4,64 млн.р

2) -4,64 + 0,88= -3,76 млн.р

3) -3,76 + 3,-0,08 млн.р

4) -0,08 + 5,28= 5,2 млн.р

Коэффициент дисконтирования (норма дисконта 0,1):

0)

1)

2)

3)

4)

Дисконтированное сальдо накопленного потока (ЧДД):

0) -2,24 млн.р

1) -2,24 - 2,182= -4,422 млн.р

2) -4,422 + 0,727= -3,695 млн.р

3) -3,695 + 2,765= -0,93 млн.р

4) -0,93 + 3,606= 2,676 млн.р