Материал: Проверка правильности теоремы Котельникова

Внимание! Если размещение файла нарушает Ваши авторские права, то обязательно сообщите нам

Проверка правильности теоремы Котельникова

Введение

Целью данной курсовой работы является количественное исследование влияния на погрешность восстановления реального сигнала частоты его дискретизации и характеристик реального восстанавливающего фильтра. В процессе выполнения работы необходимо осуществить дискретизацию заданного видеосигнала с последующим его восстановлением, а также проанализировать спектры сигнала на этапах дискретизации и восстановления. Кроме этого необходимо сделать выводы о влиянии на погрешность восстановления дискретизированного сигнала частоты дискретизации, длительности исходного сигнала и частоты среза фильтра, а так же определить значения вышеуказанных величин, при которых погрешность восстановления сигнала будет удовлетворять указанной в техническом задании.

При выполнении курсовой работы предполагается использовать математический пакет MathCAD 2001 для численных расчётов и построения графиков. Виртуальный эксперимент будет произведён в симуляторе Electronics Workbench 5.12 Pro.

1. Спектральный анализ дискретизированого сигнала

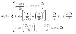
В данной курсовой работе сигнал S(t), является импульсом. Для анализа таких сигналов необходимо определить их амплитуду и длительность Тs.Чтобы использовать теорему Котельникова необходимо сигнал подвергнуть дискретизации.

Сигнал S(t), рассматриваемый в данной курсовой работе описывается формулой:

 (1)

Максимальное значение сигнала As=1 В, длительность сигнала Ts=1 мс.

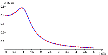
График исходного видеосигнала изображен на рисунке 1. Расчет этого графика, а также всех других зависимостей, производился с помощью специальной программы IKURA пакета MathCAD Professional 2001.

Рисунок 1 - Исходный видеосигнал S(t)

Так как исходный сигнал ограничен во времени в промежутке от 0 мс до 1 мс, следовательно, он имеет бесконечный спектр, определяющийся с помощью преобразования Фурье по формуле:

 (2)

График спектра исходного сигнала приведен на рисунке 2.

Рисунок 2 - Спектральная плотность исходного видеосигнала

Спектральная плотность, представленная на рисунке 2, не имеет конечной частоты про которой она обратиться в 0. Сигнал не удастся восстановить без погрешности, так как спектр бесконечен. Делаем вывод, что теорему Котельникова нельзя использовать для данного сигнала. Если взять спектральную плотность и ограничить её, так что практическая ширина спектра составила от 95% до 99% энергии, то дискретизировать сигнал удаться.

Для того чтобы продискретизировать такой сигнал нам нужно определить практическую ширину спектра, то есть частоту Fm, которая ограничивает участок спектра, в котором содержится 95% энергии. Эту частоту можно определить из равенства Парсеваля:

 (3)

Энергия Es определяется по формуле:

(4)

В результате вычислений получена зависимость граничной частоты Fm практической ширины спектра исходного сигнала, от величины q (q - доля полной энергии сигнала, приходящаяся на спектральные составляющие с частотами от 0 до Fm).

Затем, определим частоту дискретизации, руководствуясь критерием:

 (5)

Предварительно выберем частоту дискретизации равной удвоенному значению максимальной частоты спектра, т.е. 2.1 кГц.

. Расчет характеристик сигнала на выходе дискретизатора

Сигнал, описываемый непрерывной интегрируемой с квадратом функцией S(t), спектр которой ограничен частотой Fm, полностью и однозначно определяется своими дискретными отсчётами, взятыми через интервал времени T1/2Fm, и может быть представлен в виде:

(6)

Если дискретизацию производить идеальным дискретизатором (т.е. дискретизатором с нулевой длительностью отсчетных импульсов, по сути дельта- импульсами ), то сигнал на выходе его можно описать следующей зависимостью:

S(t)=(7)

На рисунке 3 представлены график исходной функции и дискретизированного сигнала при частоте дискретизации 2.1 кГц.

Рисунок 3 - Дискретизированный видеосигнал и исходный сигнал

При рассмотрение рисунка 3, мы можем убедиться, что дискретизированный сигнал полностью повторяет по огибающей исходный сигнал.

Спектральная плотность дискретизированного сигнала определяется по формуле:

 (8)

где N - число отсчетов.

На рисунке 4 приведен спектр дискретизированного сигнала при выбранной частоте дискретизации F=2.1 кГц.

Рисунок 4 - Спектральная плотность дискретизированного сигнала и исходного видеосигнала

Спектр дискретизированого сигнала не похож на спектр исходного. Видимо, частота дискретизации выбрана не верно. Это означает, что необходимо увеличить число отчётов до того когда спектры начнут совпадать по форме.

На следующем рисунке 5 представлен спектр фаз исходного и дискретизированного видеосигнала.

Рисунок 5 - Спектр фаз исходного и продискретизированного видеосигнала

Вывод: во-первых, мы выяснили, что спектр дискретизтрованного сигнала представляет собой похожую форму с частотой дискретизации копий спектра исходного сигнала; во-вторых, мы наблюдаем значительные искажения в спектре дискретизированого сигнала, вызванные тем, что мы ограничили спектр исходного сигнала.

3. Анализ частотных и временных характеристик восстанавливающего фильтра

Для восстановления непрерывного сигнала по дискретным отсчетам предполагается использовать фильтр низких частот Баттерворта-Томсона 4-го порядка. Передаточная функция фильтра представляется в виде:

 (9)

Где Ko - коэффициент усиления на нулевой частоте,

 - коэффициент, обеспечивающий при Ko=1 единичную передачу на нулевой частоте.


ФЧХ фильтра представлена формулой:

 (10)

Построение графиков производится для предварительно выбранной частоты срезы равной максимальной частоте среза 1 кГц.

Расчет частотной, импульсной характеристики, а также времени задержки фильтра приводится в приложении А.

АЧХ и ФЧХ фильтра имеет вид представленный на рисунках 6 и 7.

Рисунок 6 - АЧХ восстанавливающего фильтра нижних частот

АЧХ является фильтром Баттерворта-Томсона четвёртого порядка. ФНЧ очень сильно далёк от идеального, так как его полоса пропускания неравномерна, а полоса затухания плавно уходит в бесконечность. Это обусловлено небольшим порядком, а так же тем, что фильтры Баттерворта-Томсона имеют неравномерность в полосе пропускания.

Рисунок 7 - ФЧХ восстанавливающего фильтра нижних частот

Сигнал, проходя через фильтр Баттерворта-Томсона четвёртого порядка, как и при прохождении через любое электронное устройство, будет задерживаться на некоторое время. Эта задержка определяется по формуле:

(11)


График задержки представлен на рисунке 8.

Рисунок 8 - Зависимость времени задержки от частоты

Из рисунка 8 наблюдается не равномерность времени задержки от частоты. Это означает, что ФНЧ на разных частотах имеет разную задержку времени выхода со входом. Самая максимальная задержка будет на низких частотах, а с ростом частоты она стремиться к 0. Это обусловлено, реактивностью элементов фильтра.

В качестве конкретного значения времени задержки  сигнала, восстановленного фильтром по дискретным отсчетам, целесообразно взять задержку фильтра на нулевой частоте. После предварительных расчетов получим время задержки равное 0,39 мс.

Так же важной характеристикой фильтра является его импульсная характеристика, так как она позволяет рассчитать сигнал на выходе фильтра и определяется по формуле:

Импульсная характеристика фильтра представлена на рисунке 9.

Рисунок 9 - Импульсная характеристика восстанавливающего фильтра

Импульсная характеристика это есть отклик фильтра на дельта функцию, то есть на импульс бесконечно малый по времени и бесконечно большой по амплитуде. Из рисунка 9 видно, что в нулевой момент времени индуктивность представляет собой разрыв, поэтому и не наблюдается сигнал. Затем заряжается конденсатор, после чего он разряжается плавно из за того что нагрузка представляет собой резистор, который имеет не маленькое сопротивление. Колебание наблюдается из за того что ёмкость и индуктивность представляют собой колебательный контур.

. Расчет сигнала, восстановленного по дискретным отсчетам заданным ФНЧ

Непрерывный сигнал на выходе восстанавливающего ФНЧ с импульсной характеристикой при воздействии на его входе идеального дискретизированного сигнала Sk(t) определяется по формуле:

(13)

На рисунке 10 представлены зависимости исходного сигнала и восстановленного, смещенного на время задержки фильтра.

Рисунок 10 - Восстановленный и исходный сигналы

На рисунках 11 и 12 представлены спектральная плотность и спектр фаз исходного и восстановленного сигналов.

Рисунок 11 - Спектральная плотность исходного (залитая серым) и восстановленного сигналов

Рисунок 12 - Спектр фаз исходного и восстановленного сигналов

Разность спектральных плотностей исходного и восстановленного сигналов обусловлена тем, что после восстановления сигнала из-за перекрытия спектров и использования ФНЧ потеряна (захвачена) часть спектра дискретизированного сигнала.

Анализируя полученные зависимости, приходим к выводу, что восстановленный сигнал не удовлетворяет погрешности восстановления, требуется провести исследования по выбору оптимальных значений частоты дискретизации и частоты среза фильтра.

. Исследование влияния на погрешность восстановления сигнала частоты дискретизации и частоты среза ФНЧ

Из предыдущих пунктов видно, что восстановленный сигнал при тех частотах дискретизации и среза не удовлетворяет требованиям, поэтому проведем исследования по выбору оптимальных значений частот.

Сначала проведем расчет зависимости погрешности восстановления d, определяемой по формуле сигнала от величины частоты дискретизации F,изменяющейся в достаточно широких пределах и определяемой по формуле:

(14)

где Ev - энергия восстановленного сигнала, определяемая как и для исходного сигнала.

Из рисунке 13 можно легко определить погрешность восстановления от частоты дискретизации и частоты среза фильтра. Как видно из графика наибольший интерес для нас представляет кривая 3, так как она пересекает область 2% погрешность при восстановлении.

Рисунок 13 - Зависимость погрешности восстановления от частоты дискретизации и частоты среза фильтра

Рисунок 14 - Зависимость погрешности восстановления от частоты дискретизации

Из рисунке 14 можно легко определить погрешность восстановления от частоты дискретизации и частоты среза фильтра. Как видно из графика наибольший интерес для нас представляет кривая 1, так как она пересекает область 2% погрешность при восстановлении.

Таким образом, следует, что при 2% погрешности при восстановлении Fc = 0.81кГц, а F = 3кГц.

Рисунок 15 - Исходный и восстановленный реальным ФНЧ сигналы

. Сравнительный анализ качества восстановления сигнала заданным реальным ФНЧ с идеальным ФНЧ

Проведем исследование по восстановлению видеосигнала идеальным фильтром низких частот. Возьмем в качестве исходных данных частоты соответствующие оптимальному выбору, т.е. F=3 кГц, Fc=0,81 кГц. Расчет сигнала на выходе ИФНЧ проведем по формуле:

(15)

Исходный, восстановленный реальным ФНЧ и ИФНЧ сигналы при частотах дискретизации 3 кГц и частоте среза 0,81 кГц представлены на рисунке 16.

Погрешность восстановления при этих частотах ИФНЧ равна 7.45%, у реального 1.99%. Получается, что идеальный фильтр при данной частоте среза восстанавливает дискретизированный сигнал хуже (с большей погрешностью восстановления). Это вызвано тем, что практическая ширина спектра сигнала 1,5 кГц, а идеальный фильтр обрезает спектр на частоте 0.81 кГц, т.е. обрезается нужная часть спектра, а АЧХ реального фильтра не заканчивается на частоте среза и нужная часть спектра проходит через фильтр, хотя и с затуханием.

Рисунок 16 - Исходный (1), восстановленный реальным ФНЧ (2) и ИФНЧ сигналы

. Исследование качества восстановления сигнала при разных значениях длительности исходного сигнала

Для данного раздела необходимо менять длительность видео сигнала с фиксированным значением частоты среза фильтра и частоты дискретизации.

На рисунке 17 изброжен график зависимости погрешности восстановления сигнала от длительности сигнала при фиксированном значении частоты среза фильтра 0.81 кГц.

Рисунок 17 - Зависимость погрешности восстановления от длительности сигнала при фиксированной частоте среза ФНЧ

Проанализировав рисунок 17 можно сделать вывод, что с увеличением длительности погрешность восстановления резко уменьшается. Значит число отчетов становится больше, а копии спектральных плотностей амплитуд удаляются друг от друга. Именно по этому восстановление будет с меньшей погрешностью.