Материал: Проведение технико-экономического обоснования предпринимательского проекта

Внимание! Если размещение файла нарушает Ваши авторские права, то обязательно сообщите нам

ИП называются взаимовлияющими, если при их совместной реализации возникают дополнительные эффекты, не проявляющиеся при реализации каждого из проектов в отдельности. Целесообразность осуществления взаимовлияющих проектов, один из которых связан с внедрением принципиально нового оборудования, а другой - с подготовкой кадров, способных его эффективно использовать. Действительно, если попытаться реализовать эти проекты изолированно друг от друга, то на позитивный результат рассчитывать не приходится. В первом случае (когда есть новое оборудование, но нет кадров) сделанные инвестиции окажутся замороженными и не дадут планируемой отдачи, а во втором случае (когда есть квалифицированные кадры, но нет соответствующего оборудования) можно ожидать, что наиболее дефицитные специалисты просто покинут предприятие, поскольку их квалификация окажется невостребованной.

Из приведенных примеров виден принцип разграничения взаимодополняющих и взаимовлияющих проектов. Если взаимодополняющие проекты не могут быть реализованы изолированно друг от друга в принципе (по разным причинам), то раздельное осуществление взаимовлияющих проектов возможно, хотя и не даст того эффекта, который может быть получен при их совместном выполнении.

3)      Тип поддерживаемой проектами инвестиционной стратегии и соответствующий им уровень рисков.

Из экономической теории известно, что предприятие может следовать либо пассивной, либо активной инвестиционной стратегии. Пассивная стратегия направлена на сохранение достигнутого уровня эффективности производства путем замены (простого воспроизводства) физически изношенного оборудования, подготовки нового персонала взамен уволившегося, повышение прибыльности за счет снижения издержек производства традиционной продукции путем совершенствования применяемых технологий. Характерные черты пассивной инвестиционной стратегии - отсутствие целевой установки на увеличение контролируемой доли рынка и минимизация рисков, свойственных смене технологий производства.

Соответственно активная инвестиционная стратегия связана с повышением конкурентоспособности компании по сравнению с достигнутым ранее уровнем за счет применения наукоемких и ресурсосберегающих технологий, освоения производства новых пользующихся платежеспособным спросом товаров и услуг, выхода на новые рынки и т.д. Такая стратегия, как правило, предполагает ориентацию на применение технико-технологических инноваций, увеличение объемов продаж и доли рынка.

Практическая реализация каждой из этих стратегий требует разработки определенных ИП, существенно различающихся как по целям, так и по уровню риска их реализации. Классификация ИП по этим признакам, представленная в таблице, требует определенных пояснений. Так, отсутствие риска при осуществлении так называемых обязательных инвестиций следует понимать в том смысле, что этот риск просто нет смысла учитывать. Действительно, если сельскохозяйственное предприятие приобретает новый трактор точно такой же модификации взамен полностью износившегося, то не происходит никаких изменений в технологии, организации и объемах производства. Поэтому и соответствующий инвестиционный риск равен нулю.

Классификация инвестиционных проектов по типу поддерживаемой инвестиционной стратегии и уровню риска представлена в таблице 1.

Заслуживает внимания и выявление причин более высокого риска проектов расширения производства по сравнению с проектами снижения себестоимости производства товаров и услуг. Дело в том, что при реализации проектов, обеспечивающих снижение себестоимости, но не изменяющих объемы производства и реализации продукции, предприятие работает внутри сложившейся собственной рыночной ниши и не претендует не своеобразный предел рынка за счет увеличения своей доли. В этом случае риски намного меньше, чем в случае попытки вытеснения конкурентов путем увеличения объемов продаж.

Таблица 1 - Классификация инвестиционных проектов по типу поддерживаемой инвестиционной стратегии и уровню риска

Тип инвестиционной стратегии, поддерживаемый ИП

Цели ИП

Сравнительная оценка уровня риска

Пассивная инвестиционная стратегия

Обязательные инвестиции

Отсутствует


Вложения в обновление существующего производства

Незначительный


Проекты снижения себестоимости производства товаров и услуг за счет совершенствования традиционных технологий производства

Ниже среднего

Активная инвестиционная стратегия

Проекты снижения себестоимости производства товаров и услуг за счет применения инновационных технологий

Средний


Проекты расширения производства

Выше среднего


Проекты освоения новых товаров или рынков

Значительно выше среднего


Исследования и разработки

Наивысший


К наиболее рискованным относятся ИП по освоению новых товаров или рынков и вложения в научно-исследовательские и опытно-конструкторские работы (НИОКР). Тем не менее, несмотря на то что, как правило, коммерческий успех имеют не более 10 % подобных проектов, высокий уровень доходности их реализации компенсирует убытки, понесенные из-за вложений в проекты, не обеспечившие никакого экономического эффекта. Повышенный риск инвестора, финансирующего такой, по сути дела, венчурный проект, заключается в том, что практически единственным обеспечением его вложений является качество бизнес-идеи, положенной в основу проекта.

Рассмотренная классификация ИП по таким признакам, как тип поддерживаемой инвестиционной стратегии, цели реализации и уровень риска, является своеобразным прологом к пониманию экономического смысла «золотого правила инвестирования», заключающемуся в том, что чем выше ожидаемый инвестиционный риск, тем выше должна быть компенсирующая этот риск доходность реализации ИП. Поэтому при прочих равных условиях, чем более амбициозны цели инвестирования, тем выше риски и соответственно выше должна быть отдача от инвестиций.

В современных условиях, характеризующихся обострением конкуренции на большинстве рынков товаров и услуг, быстрыми и часто слабопредсказуемыми изменениями внешней среды, ориентация на пассивные инвестиционные стратегии не гарантирует бизнесу не только динамичного развития, но даже и сохранения достигнутого уровня конкурентоспособности. Поэтому будущее за активными инвестиционными стратегиями и поддерживающими их ИП. Соответственно это предъявляет повышенные требования к участникам инвестиционного процесса как с точки зрения обоснования эффективности инвестиционных решений, так и в частности объективной оценки сопутствующих им рисков. [3, с.49]

По мнению Б.Т. Кузнецова инвестиционные проекты классифицируются по следующим признакам:

) размер проекта;

) срок реализации;

) ресурсы;

) условия реализации.

Размер проекта, как правило, определяется по количеству инвестиций.

Инвестиции в малые проекты не превышают 300 млн. руб. К таким проектам можно отнести модернизацию действующих производств, создание небольших предприятий.

В противоположность малым проектам выделяют мегапроекты. Инвестиции в такие проекты достигают миллиарда и более долларов. Обычно мегапроекты включают в себя несколько проектов, связанных общей целью и общими ресурсами. Примерами мегапроектов могут служить проекты нефтегазовых комплексов.

По срокам реализации проекты делятся на краткосрочные и долгосрочные. Сроки создания инвестиционных объектов краткосрочных проектов составляют менее года. Особенности таких проектов заключаются в том, что из-за срочности выполнения работ обычно идут на увеличение инвестиций. Это связано с тем, что инвестор заинтересован в скором выполнении работ.

К долгосрочным проектам относятся, например, мегапроекты. Инвестиционные объекты таких проектов вводятся, как правило, по частям. Например, строительство газовых трубопроводов может занимать до семи лет. Сооружение отдельных очередей газопровода составляет 2-3 года.

По ресурсам проекты подразделяют на мультипроекты, монопроекты и модульные проекты.

Мультипроект - это множество проектов, в рамках программы предприятия, ограниченной его ресурсными возможностями. К таким возможностям относят производственные, финансовые, временные ресурсы.

В отличие от мультипроектов выступают монопроекты. Здесь производственные, финансовые и временные ресурсы четко определены.

Модульные проекты включают в себя, прежде всего модульное строительство. Модульное строительство служит также примером классификационного признака, связанного с условиями реализации. Суть этих проектов состоит в том, что большая часть инвестиционного объекта изготавливается на специализированных заводах, а не на месте создания этого объекта. Это характерно для объектов, создаваемых в отдаленных, труднодоступных районах. [5, с.80]

Г.С. Староверова, А.Ю. Медведев, И.В. Сорокина отмечают, что инвестиционные проекты классифицируются по различным признакам (таблица 2): по масштабам, срокам реализации, качеству исполнения, ограниченности ресурсов, участникам и т.п. Рассмотрим основные типы инвестиционных проектов подробно.

Таблица 2 - Классификация инвестиционных проектов

Признак классификации

Тип проекта

По уровню проекта

Проект

Программа

Система

По масштабу (размеру)

Малый

Средний

Мегапроект

По сложности

Простой

Организационно сложный

Технически сложный

Ресурсно-сложный

Комплексно-сложный

По срокам реализации

Краткосрочный

Средний

Долгосрочный

По требованиям к качеству и способам его обеспечения

Бездефектный

Модульный

Стандартный

По ограниченности ресурсов

Мультипроект

Монопроект

По характеру проекта (уровню участников)

Международный (совместный)

Отечественный (государственный, территориальный, местный)

По характеру цели проекта

Антикризисный

Реформирование/реструктуризация


Маркетинговый

Инновационный


Образовательный

Чрезвычайный

По объекту инвестиционной деятельности

Финансовый

Реальный

По главной причине возникновения проекта

Открывшиеся возможности

Необходимость структурно-функциональных преобразований

Реорганизация




Реструктуризация


Чрезвычайная ситуация


Реинжиниринг


Малые проекты невелики по масштабу, просты и ограничены объемами. В американской практике величина капиталовложений таких проектов до 10-15 млн. дол., трудозатраты до 40-50 тыс. чел.-ч. Мегапроекты - это целевые программы, содержащие множество взаимосвязанных проектов, объединенных общей целью, выделенными ресурсами и отпущенным на их выполнение временем. Мегапроекты характеризуются высокой стоимостью (порядка 1 млрд. дол. и более), трудоемкостью (15-20 млн. чел.-ч.), длительностью реализации (5-7 и более лет).

Сложные проекты подразумевают наличие технических, организационных или ресурсных задач, решение которых предполагает нетривиальные подходы и повышенные затраты на их решение.

Бездефектные проекты в качестве доминирующего фактора используют повышенное качество. Обычно стоимость таких проектов весьма высока и измеряется сотнями миллионов и даже миллиардами долларов (например, проекты атомных электростанций).

Мультипроекты включают изменение существующих или создание новых организаций и фирм. Мультипроектом считается выполнение множества заказов (проектов) и услуг в рамках производственной программы фирмы, ограниченной ее производственными, финансовыми, временными возможностями и требованиями заказчиков. В качестве альтернативных мультипроектам выступают монопроекты, имеющие четко очерченные ресурсные, временные и другие рамки, реализуемые единой проектной командой и представляющие собой отдельные инвестиционные, социальные и другие проекты.

Основные виды инвестиционных проектов:

1)  Социальные проекты ориентированы:

- на обеспечение безопасных условий жизнедеятельности;

на поддержку социально незащищенных слоев населения;

на поддержание общественной безопасности;

на развитие социальной сферы;

на охрану окружающей среды и др.

) Научно-технические (инновационные) проекты направлены:

на развитие научных исследований и разработок;

на создание новой техники и технологии;

на разработку новой продукции, потребительских товаров и услуг и т.п.

) Производственно-технологические проекты связаны:

с поддержанием и обновлением производства;

с использованием новых технологий;

с развитием производственного потенциала и др.

) Проекты повышения качества и эффективности работы ставят своей целью:

снижение издержек производства и обращений;

повышение производительности труда;

экономию ресурсов;

улучшение качества продукции и т. п.

) Торговые проекты представляют собой систему мер, направленных:

на сохранение позиций на рынке;

на создание или завоевание новых секторов рынка (проникновение на рынок);

на обеспечение эффективной, прибыльной продажи товаров.

) Организационные проекты связаны:

с совершенствованием организации и управления объектами производственной и социальной сферы;

с использованием прогрессивных форм и методов организации производства и обращения;

с применением современных средств организационной и управленческой техники и др.

) Информационные проекты направлены на использование современных методов и средств хранения, передачи, обработки информации.

В рамках каждого из перечисленных видов инвестиционных проектов могут существовать многочисленные разновидности данного вида; возможны и специфические проекты, не вписывающиеся в эти виды. Одновременно в каждом реальном инвестиционном проекте сочетаются разные виды, так что вид проекта отражает только его главную цель, целевую ориентацию, т. е. в каждом реальном инвестиционном проекте содержатся отдельные мероприятия, которые могут быть отнесены к другим видам проектов. Это свойство вытекает из комплексного характера инвестиционных проектов, представляющих совокупность разнохарактерных действий, подчиненных единой целевой задаче.

Рекомендуется в состав инвестиционного проекта включать следующие разделы:

) Краткая характеристика проекта (резюме). Характеризуются основные аспекты проекта, по которым инвестор должен сделать заключение о том, отвечает ли проект его требованиям по уровню доходности и риска, объему инвестиционных ресурсов, срокам реализации и другим параметрам.

) Предпосылки и основная идея проекта. Приводятся наиболее важные для реализации проекта параметры, характеризуются регион расположения, его ресурсная и рыночная среда, даются график реализации проекта, его инициатор.

) Анализ рынка и концепция маркетинга. Излагаются результаты маркетинговых исследований, обосновываются концепция маркетинга и его бюджет.

) Сырье и поставки. Приводятся виды используемых сырья и материалов, их потребность, наличие в регионе, основные поставщики, график поставок и связанные с ними затраты.

) Месторасположение, строительный участок и окружающая среда. Описываются месторасположение проекта, характер естественной окружающей среды и степень воздействия на нее проекта, инвестиционный климат региона и его социально-экономические условия, состояние региональной инфраструктуры, обосновываются выбор строительного участка и затраты по его освоению.

) Проектирование и технология. Обосновывается производственная программа и оценивается требуемая производственная мощность, выбираются технология и способы ее приобретения, определяется перечень необходимых машин и оборудования и разрабатывается планировка предприятия, оцениваются инвестиционные затраты.

) Организация управления. Приводятся организационная схема и система управления предприятием, обосновывается организационная структура управления, составляется смета накладных расходов по управлению.

) Трудовые ресурсы. Даются требования по профессионально-квалификационному составу работников, оценка возможностей их привлечения в рамках региона, организация набора и план обучения работников и связанные с этим затраты.

) Планирование реализации проекта. Обосновываются стадии и мероприятия реализации проекта, составляется график его реализации, разрабатывается бюджет реализации проекта.

) Финансовый план и оценка эффективности инвестиций. Содержится финансовый прогноз и основные виды финансовых планов, рассчитывается общий объем инвестиционных затрат, приводятся методы и результаты оценки эффективности инвестиций, выполняется оценка инвестиционных рисков. [1, с.93]

С позиции управленческого персонала компании инвестиционные проекты могут быть классифицированы по различным основаниям (рисунок 3). [6, с.23]:

Безусловно, некоторые из приведенных характеристик при классификации проектов не являются абсолютными и, в определенном смысле, достаточно условны. В частности, подразделение по объему требуемых инвестиций чаще всего зависит от размеров самой компании, поскольку очевидно, что в солидной финансово-промышленной группе и небольшом заводе по производству мебели используемые критерии отнесения анализируемого проекта к крупному или мелкому существенно разнятся.

Цели, которые ставятся при оценке проектов, могут быть различными, а результаты, получаемые в ходе их реализации, - не обязательно носят характер очевидной прибыли. Могут быть проекты, сами по себе убыточные в экономическом смысле, но приносящие косвенный доход за счет обретения стабильности в обеспечении сырьем и полуфабрикатами, выхода на новые рынки сырья и сбыта продукции, достижения некоторого социального эффекта, снижения затрат по другим проектам и производствам и др. Так, во многих экономически развитых странах очень остро ставится вопрос об охране окружающей среды и обеспечении безопасности продукции компаний для пользователей и природы (нередко крупные компании включают в аналитические разделы годовых отчетов соответствующую информацию о капитальных и эксплуатационных затратах в этом направлении). В этом случае традиционные критерии оценки целесообразности принятия проекта, основанные на формализованных алгоритмах, могут уступать место неким неформализованным критериям.

Рисунок 3 - Виды классификации инвестиционных проектов

Весьма важным в анализе инвестиционных проектов является выделение различных отношений взаимозависимости. Два анализируемых проекта называются независимыми, если решение о принятии одного из них не влияет на решение о принятии другого. Если два и более анализируемых проекта не могут быть реализованы одновременно, т.е. принятие одного из них автоматически означает, что оставшиеся проекты должны быть отвергнуты, то такие проекты называются альтернативными, или взаимоисключающими. Подразделение проектов на независимые и альтернативные имеет особо важное значение при комплектовании инвестиционного портфеля в условиях ограничений на суммарный объем капиталовложений. Величина верхнего предела объема выделяемых средств может быть в момент планирования неопределенной, зависящей от различных факторов, например, суммы прибыли текущего и будущих периодов. В этом случае обычно приходится ранжировать независимые проекты по степени их приоритетности.

Проекты связаны между собой отношениями комплементарности, если принятие нового проекта способствует росту доходов по одному или нескольким другим проектам. Выявление отношений комплементарности подразумевает приоритетность рассмотрения проектов в комплексе, а не изолированно. Это имеет особое значение, когда принятие проекта по выбранному основному критерию не является очевидным - в этом случае должны использоваться дополнительные критерии, в том числе и наличие, и степень комплементарности.

Проекты связаны между собой отношениями замещения, если принятие нового проекта приводит к некоторому снижению доходов по одному или нескольким действующим проектам. В качестве примера можно привести проект, предусматривающий открытие шиноремонтного производства на заводе, производящем шины. Не исключено, что принятие проекта снизит спрос на новые изделия.

Поток называется ординарным, если он состоит из исходной инвестиции, сделанной единовременно или в течение нескольких последовательных базовых периодов, и последующих притоков денежных средств; если притоки денежных средств чередуются в любой последовательности с их оттоками, поток называется неординарным. Выделение ординарных и неординарных потоков чрезвычайно важно при выборе того или иного критерия оценки, поскольку не все критерии справляются с ситуацией, когда приходится анализировать проекты с неординарными денежными потоками.

Инвестиционные проекты различаются по степени риска: наименее рискованные проекты, выполняемые по государственному заказу; наиболее рискованные проекты, связанные с созданием новых производств и технологий.

В зависимости от значимости (масштаба) Е.Г. Непомнящий проекты подразделяет на:

глобальные, реализация которых существенно влияет на экономическую, социальную или экологическую ситуацию на Земле;

народнохозяйственные, реализация которых существенно влияет на экономическую, социальную или экологическую ситуацию в стране;

крупномасштабные, реализация которых существенно влияет на экономическую, социальную или экологическую ситуацию в отдельных регионах или отраслях страны;

локальные, реализация которых не оказывает существенного влияния на экономическую ситуацию в регионе и не изменяет уровень и структуру цен на товарных рынках. [7, с.23]

.2 Этапы инвестиционного проекта

Процесс проектирования объектов, по мнению А. С. Нешитого, подразделяется на 3 этапа.

Проектирование предприятий осуществляется поэтапно. Примерная схема организации проектирования показана в таблице 3.

В первый этап - предпроектные работы - входят: разработка технико-экономического обоснования (ТЭО) необходимости, целесообразности и эффективности проектирования и строительства предприятий или подготовка технико-экономического расчета (ТЭР). Для этих целей проводится предварительно работа по сбору и подготовке исходных данных. Этап включает также заключение договора на проектирование.

Таблица 3 - Схема организации проектных работ по этапам

Этапы работ

Основание

Исполнители

Этап 1. Предпроектные работы

1.1 Разработка технико-экономического обоснования (ТЭО) или технико-экономического расчета (ТЭР)

План капитальных вложений. Постановление (приказ организации-застройщика)

Заказчик или по его поручению проектная или научно-исследовательская организация

1.2 Заключение договора на проектирование

Предложения заказчика

Заказчик и проектная организация

Этап 2. Проектные работы

2.1 Изыскания

Заказ и договор

Проектная организация

2.2 Разработка проекта по стадиям

Задание (заказ) на проектирование, инструкции по разработке проектов и договоров

Проектная организация

Этап 3. Экспертиза и утверждение проекта

3.1 Экспертиза проекта

Инструкции о порядке разработки проектов и инструкции по экспертизе проектов

Проектная организация. Отдел экспертизы проектов

3.2 Утверждение проекта

Инструкция о порядке разработки проектов

Проектная организация. Утверждение проекта соответствующей организацией


Основным документом, регулирующим финансовые и правовые отношения между заказчиком и разработчиком проектной документации, является договор, заключаемый заказчиком с проектной организацией или другим подрядчиком, получившим в установленном порядке право (лицензию) на выполнение проектных работ. К договору должно быть приложено задание на проектировании.

Третий этап - экспертиза и утверждение проекта. Все разработанные проекты и сметы на строительство предприятий и зданий независимо от стадийности проектирования подвергаются экспертизе до их утверждения. [2, с.233]

Создание и реализация проекта включает следующие этапы: формирование инвестиционного замысла (идеи); исследование инвестиционных возможностей; технико-экономическое обоснование проекта; подготовка контрактной документации; подготовка проектной документации; строительно-монтажные работы; эксплуатация объекта; мониторинг экономических показателей.

На этапе формирования инвестиционной идеи определяются субъекты и объекты инвестиций, их формы и источники. [8, с.65]

А.М. Марголин отмечает, что каким бы ни было целевое назначение ИП (освоение производства новой продукции, расширение производства традиционного ассортимента, снижение себестоимости и т.д.), разработка каждого из них связана с анализом финансовых потоков на четырех основных фазах (стадиях) - предынвестиционной, инвестиционной, эксплуатационной и ликвидационной.

) предынвестиционная фаза включает такие этапы, как исследование инвестиционных возможностей (или opportunity studies); предпроектные исследования (или pre-feasibility studies); оценка осуществимости проекта (feasibility studies). Как правило, отмеченные этапы строго выдерживаются лишь для крупных проектов, требующих привлечения внешних инвесторов.

Независимо от продолжительности и особенностей разграничения этапов предынвестиционной стадии ее осуществление предполагает решение следующих важнейших задач:

диагностика качества первоначальной идеи проекта, реалистичности концепции его реализации с учетом имеющихся альтернатив;

разработка бизнес-плана проекта;

получение экспертного заключения о целесообразности реализации проекта;

выбор местоположения объекта;

финансовое обеспечение проектно-изыскательских работ и выбор проектной организации;

разработка и утверждение проектно-сметной документации (ПСД);

отвод земли и получение разрешения на строительство;

подготовка рабочей документации и заключение договора подряда (возможно, с проведением конкурса среди строительных организаций);

подготовка инвестиционного предложения и привлечение инвестиций, необходимых для осуществления проекта (в случае, если проект полностью финансируется из собственных средств, отмеченная задача теряет актуальность);

формирование организационно-экономического механизма реализации проекта.

Следует отметить, что именно формирование организационно-экономического механизма реализации проекта является одним из важнейших результатов предынвестиционной стадии в случае ее успешного прохождения.

Организационно-экономический механизм реализации проекта - форма взаимодействия участников проекта, фиксируемая в проектных материалах в целях обеспечения реализуемости проекта и возможности учета интересов каждого участника ИП.

Этот механизм включает:

нормативные документы, на основании которых осуществляется взаимодействие участников;

обязательства, принимаемые участниками в связи с осуществлением ими совместных действий по реализации проекта, гарантии таких обязательств и санкции за их нарушение;

условия финансирования инвестиций, в частности основные условия кредитных соглашений (сроки кредита, процентные ставки, периодичность уплаты процентов и т.д.);

особые условия оборота продукции и ресурсов между участниками (использование бартера; трансфертных цен; льготных кредитов и т.д.);

систему управления реализацией проекта, обеспечивающую должную синхронизацию деятельности отдельных участников, защиту интересов каждого из них;

меры по взаимной финансовой, организационной и иной поддержке, включая государственную;

основные особенности учетной политики каждого участника проекта.

По данным ЮНИДО, затраты на предынвестиционной стадии исследований составляют примерно 1% общего объема инвестиций по проекту для крупных проектов и достигают 5% для некапиталоемких проектов. Однако, несмотря на столь незначительную долю в суммарных инвестициях, недостаточно ответственное отношение к рассматриваемой стадии является достаточно серьезной и, к сожалению, весьма распространенной ошибкой. Допущенные здесь просчеты неминуемо приводят к значительным финансовым потерям на последующих стадиях реализации инвестиционного проекта.

Нельзя не отметить, что в современных российских условиях роль предынвестиционной стадии проекта еще выше, поскольку именно на этой стадии особенно остро стоит проблема преодоления административных барьеров инвестиционной деятельности, связанных с избыточным государственным регулированием процессов выбора местоположения объекта инвестирования, получения разрешения на строительство, согласования условий энергоснабжения, водоснабжения и канализации и т. д. Преодоление этих барьеров требует времени и дополнительных финансовых затрат (т.е. трансакционных издержек), удорожающих проект и снижающих его привлекательность для инвесторов.

Подобные барьеры представляют собой мощный фактор удорожания инвестиционных проектов и соответственно снижения эффективности их реализации. Весьма показательно, что структура трансакционных издержек принципиальным образом отличается от структуры капиталовложений инвестора. Если затраты инвестора на предынвестиционной стадии соотносятся с затратами на инвестиционной стадии примерно как 1:20, то на долю предынвестиционной стадии, как правило, приходится до 70 % общего объема трансакционных издержек. Отмеченное обстоятельство подтверждает значимость предынвестиционной стадии реализации ИП, которая зачастую совершенно незаслуженно недооценивается.

) на инвестиционной фазе выполняются следующие виды работ:

строительство объектов, предусмотренных проектно-сметной документацией;

приобретение и монтаж оборудования, проведение пусконаладочных работ;

заключение и выполнение контрактов на поставку сырья и комплектующих (т. е. формирование оборотного капитала, необходимого для обеспечения ритмичной работы построенного объекта сразу после его пуска в эксплуатацию);

организация предпроизводственного маркетинга, набор и обучение персонала, сдача и пуск объекта в эксплуатацию.

) эксплуатационная фаза, предопределяющая фактическую эффективность реализации проекта в неразрывной взаимосвязи с качеством выполнения работ на предынвестиционной и инвестиционной стадиях.

) виды работ, выполняемые на ликвидационной фазе, определяются спецификой ИП. Например, при разработке месторождений полезных ископаемых на ликвидационной фазе может проводиться рекультивация земель с целью их последующего вовлечения в хозяйственный оборот, а при завершении эксплуатации экологически опасного объекта - его консервация и т.д. [3, с.53]

Создание и реализация проекта включает в себя следующие этапы, представленные на рисунке 4 [4, с.3]:

Рисунок 4 - Этапы инвестиционного проекта

Основными фазами развития инвестиционного проекта, по мнению Б.Т. Кузнецова, являются: предынвестиционная, инвестиционная и эксплуатационная фазы.

На предынвестиционной фазе разрабатывается основной документ - технико-экономическое обоснование (бизнес-план), в котором, в частности, приведен план реализации проекта. Именно на этом этапе принимается окончательное решение о реализации проекта.

На инвестиционной фазе создается объект инвестиционного проекта, при этом решаются основные юридические, финансовые и технические вопросы, вопросы, связанные с созданием этого объекта.

Эксплуатационная фаза посвящена выпуску продукции, внедрению инноваций, замене оборудования и получению прибыли. [5, с.80]

Период времени от начала вложения инвестиций до получения конечного эффекта от их вложений называется жизненным (или инвестиционным) циклом инвестиционного проекта.

Согласно сложившейся практике состояния, через которые проходит проект в течение его жизненного цикла, называют фазами (этапами, стадиями). В свою очередь каждая фаза (этап) может делиться на фазы (этапы) следующего уровня (подфазы, подэтапы) и т.д. Универсального подхода к разделению процесса разработки и реализации инвестиционного проекта на фазы не существует, а потому деление инвестиционного проекта на фазы может быть самым разнообразным. Рассмотрим некоторые варианты такого деления [1, с.93]:

) Двухстадийное деление, при котором различают разработку и реализацию проекта:

разработка проекта - создание модели, образа действий по достижению целей проекта, осуществление расчетов, выбор вариантов, обоснование проектных решений;

реализация проекта - его практическое осуществление, превращение в реальность, экономическую действительность.

) Во всемирном банке (World Bank) и UNIDO (подразделение ООН по промышленному развитию) принято следующее деление на фазы:

предынвестиционная фаза: анализ инвестиционных возможностей, предварительное технико-экономическое обоснование, технико-экономическое обоснование, доклад об инвестиционных возможностях;

инвестиционная фаза: переговоры и заключение контрактов, проектирование, строительство, маркетинг, обучение;

эксплуатационная фаза: приемка и запуск, замена оборудования, расширение, инновации.

) Методические рекомендации выделяют следующие этапы создания и реализации инвестиционного проекта:

формирование инвестиционного замысла (идеи): выбор и предварительное обоснование замысла, инновационный, патентный и экологический анализ технических решений, предварительный отбор предприятий для реализации;

исследование инвестиционных возможностей: изучение спроса на продукцию, оценка уровня цен, организационно-правовая форма реализации и состав участников, оценка объема инвестиций, исходно-разрешительная документация;

технико-экономическое обоснование проекта (строительства): маркетинговые исследования, подготовка программы выпуска продукции, описание организации строительства, экономическая оценка инвестиций, риски и т. п.;

подготовка контрактной документации: переговоры с потенциальными инвесторами, тендерные торги;

подготовка проектной документации;

строительно-монтажные работы;

эксплуатация объекта, мониторинг экономических показателей: сертификация продукции, создание дилерской сети, центры сервисного обслуживания (ремонта), текущий мониторинг (детальный анализ) экономических показателей проекта.

) С точки зрения управления проектами (менеджеров) стадии жизненного цикла проекта выделяются следующим образом:

замысел;

анализ проблемы (цели, требования, задачи);

разработка концепции (анализ выполнимости, альтернативные концепции);

детальная проработка (спецификации, чертежи, детальные планы);

выполнение проекта (рабочая документация, испытания, приемка);

использование (внедрение, техобслуживание, эксплуатация);

ликвидация (демонтаж, утилизация, продажа, задание на развитие).

) По экономическому содержанию жизненный цикл инвестиционного проекта делится на четыре фазы (рисунок 5).

Рисунок 5 - Изменение инвестиционных затрат и дохода на разных стадиях инвестиционного проекта

Инвестиционная фаза:

предынвестиционная фаза (1а) - включает несколько стадий: формирование инвестиционного замысла, исследование инвестиционных возможностей, формирование инвестиционного предложения, предпроектные исследования, разработку технико-экономического обоснования и бизнес-плана, окончательную формулировку проекта и принятие по нему решения;

собственно инвестиционная фаза - практическая реализация инвестиционного проекта: разработка организационно-экономического механизма взаимодействия участников проекта, проведение проектных работ, приобретение (аренда) земли, возведение объектов, приобретение и монтаж оборудования, создание производственной инфраструктуры. Это самая затратная фаза, поглощающая основной (или весь) объем инвестиций. Она заканчивается моментом ввода объекта в эксплуатацию, т.е. Тв.

Период возврата инвестиций - период эксплуатации, в который происходит возврат первоначальных инвестиций за счет получения дохода от реализации продукции. Заканчивается, когда все инвестиции компенсируются доходами (И - ∑Д), т.е.

Ток:

эксплуатационная фаза - в этот период могут быть и инвестиционные затраты (рост производства, износ оборудования), но доходы от реализации продукции намного их превышают. Затем проект начинает постепенно устаревать, спрос на продукцию падает, доходность проекта снижается. В то же время основные фонды проекта устаревают морально и физически, т. е. жизненный цикл инвестиционного проекта завершается, и во избежание превращения его в убыточный целесообразно проект свернуть и к этому времени подготовить новый инвестиционный проект;

ликвидация проекта может быть дополнительным источником денежных поступлений или дополнительными расходами.

Взаимосвязь между инвестиционной и эксплуатационной фазами инвестиционного проекта приведена на рисунке 6. Эти фазы связаны денежными потоками, которые обеспечивают формирование и использование капитала, возврат инвестиций, воспроизводство капитала (простое или расширенное).

Денежные потоки имеют два круга движения:

) обеспечение воспроизводства основного и нематериального капиталов. Основные фонды служат в течение нескольких производственных циклов, изнашиваясь постепенно. Их износ приводит к уменьшению основного капитала, которое компенсируется через амортизационные отчисления, закладываемые в себестоимость продукции или услуг. Амортизационные отчисления являются источником простого воспроизводства капитала, т.е. одним из источников инвестиций. Затраты нематериального капитала возмещаются аналогично основному, но период их использования меньше;

Рисунок 6 - Взаимосвязь инвестиционной и эксплуатационной фаз инвестиционного проекта

) воспроизводство оборотного капитала. Оборотные средства расходуются в каждом производственном цикле на сырье и материалы, топливо и энергию; оплату труда и социальные нужды и др. Затраченный оборотный капитал воспроизводится в каждом производственном цикле за счет части выручки от реализации и эквивалентен издержкам на производство товара. Оборотные средства возвращаются собственнику при ликвидации бизнеса как часть выручки от реализации последней партии товаров.

В.В. Ковалев в книге «Методы оценки инвестиционных проектов» стадии реализации проекта подразделяет на три фазы: инвестирование, исполнение проекта (производство, сбыт, затраты, текущее финансирование), ликвидация его последствий. На каждой из этих фаз осуществляются процедуры контроля и регулирования. [6, с.23]

.3 Роль технико-экономического обоснования

Как принято в международной практике, становление промышленного инвестиционного проекта, начиная с общей идеи и заканчивая производством продукции, реализовывается путем прохождения трех фаз: предынвестиционной, инвестиционной и производственной.

Интенсивность интеллектуальной деятельности по продвижению проекта максимальная на этапе «Предварительного технико-экономического анализа» и на этапе «Технико-экономического обоснования» и снижается по мере продвижения проекта. Максимальные темпы освоения инвестиций на этапе строительства (или реконструкции, или перевооружения).

Содержание предынвестиционной фазы зависит от ряда факторов, важнейшими из которых, как показал анализ, являются: форма собственности предприятия, характеристика продукции, которая планируется к производству, наличие госзаказа на продукцию, масштаб инвестиционного проекта. В общем случае, предынвестиционная фаза состоит из трех стадий:

)        определение (исследование) благоприятных условий (рисунок 7);

)        предварительный технико-экономический анализ (анализ альтернативных вариантов и выбор направления проекта, формулировка проекта) (рисунок 8);

Рисунок 7 - Определение благоприятных условий

Рисунок 8 - Предварительные технико-экономические исследования

)        технико-экономическое обоснование проекта (детальная оценка проекта) (рисунок 9).

Рисунок 9 - Технико-экономическое обоснование проекта

Для разных проектов детальность проработки по разным пунктам должна быть различна.

Исследование благоприятных условий.

Как показывает изучение практики реализации предынвестиционной фазы, определение благоприятных условий для инвестирования является отправной точкой при реализации проекта. В странах с развитой рыночной экономикой проводятся значительные исследования в этом направлении государственными организациями. При этом анализируется, и предоставляется потенциальным инвесторам информация:

природные ресурсы региона, пригодные для использования;

климатические условия и структура сельского хозяйства (для пищевой и перерабатывающей промышленности);

будущий спрос на потребительские товары, потребление которых растет;

импорт товаров, с точки зрения импортозамещения;

характеристика окружающей среды;

характеристика производственных секторов, успешно функционирующих в других регионах и странах, со сходной экономической базой и уровнем развития трудовых и природных ресурсов;

эффективные связи с другими производителями, национальными и транснациональными;

эффективное расширение существующих производств путем горизонтальной или вертикальной интеграции;

эффективная диверсификация предприятий региона;

расширение имеющихся производств до уровня, когда возможна «экономия на масштабе»;

общий инвестиционный климат региона;

промышленная политика;

факторы качества и стоимости производства;

экспортные возможности.

Если таких исследований государственные организации не ведут, то их необходимо проводить при разработке конкретного проекта.

Результат «Исследований благоприятных условий» не должен содержать расчета, каких-либо затрат. Он определяет принципиальные аспекты целесообразности инвестирования. Цель исследований быстро и без больших издержек оценить эффективные направления инвестирования.

Предварительный технико-экономический анализ (ПТЭА).

Задачей этапа является детализация и конкретизация проектной идеи. ПТЭА является переходным этапом от исследования благоприятных условий к ТЭО. Для государственных предприятий, которые должны выполнять государственный заказ, этот этап является начальным. Для проведения этапа ПТЭА требуется определенная степень детализации исходной информации и тщательность проверки проектных альтернатив. Структура предварительного технико-экономического анализа сходна со структурой ТЭО.

Этап включает в себя выполнение следующих работ (рисунок 10):

) Проведение вспомогательных и функциональных исследований (обзор рынка, лабораторное тестирование, тестирование на опытном производстве) и критическая оценка результатов:

исследование рынка производимого товара, включающее проектирование спроса и методы рыночного проникновения;

исследование каналов снабжения сырьем и материалами, охватывающее анализ возможности доступа к сырью и продукции для производственного потребления, а так же тенденции изменения цен;

лабораторные и испытательные тесты конкретного сырья, материалов, полуфабрикатов, комплектующих изделий;

исследование месторасположения производства и оценка транспортных издержек;

экологические исследования, включающие оценку существующей экологической ситуации на месте предполагаемого размещения производства (выбросы отходов и пути их транспортировки), возможности внедрения низкоотходных технологий защиты окружающей среды, альтернативных вариантов размещения и использования альтернативных видов сырья и материалов, воздействие на экологическую обстановку производственного процесса в соответствии с национальными стандартами;

анализ экономических масштабов проекта;

анализ оборудования, которое может использоваться при реализации проекта (затраты на приобретение, установку и наладку, а так же производительность и производственные издержки в рамках конкретного проекта);

) Разработка и оценка всех проектных альтернатив, при этом каждый альтернативный вариант оценивается по пунктам:

проектные и корпоративные стратегии и сфера проекта;

рыночная концепция и концепция маркетинга;

снабжение сырьем и материалами;

место расположения и экологическая обстановка;

инженерный и технологический комплекс;

организация и расходы по ней;

трудовые ресурсы, в частности управленческие кадры, затраты на лабораторные исследования и испытания;

график реализации проекта и бюджет проекта.

)        Проведение детализированного анализа эффективности концепции проекта.

)        Оценка проектной идеи как нежизнеспособной или как привлекательной для потенциального инвестора.

Технико-экономическое обоснование (ТЭО).

Цель исследования инвестиционных возможностей - подготовка инвестиционного предложения для потенциального инвестора. Если потребности в инвесторах нет, и все работы производятся за счет собственных средств, тогда принимается решение о финансировании работ по подготовке ТЭО проекта.

Этап - ТЭО проекта - в полном объеме предусматривает:

) Проведение полномасштабного маркетингового исследования

) Подготовку программы выпуска продукции (реализации услуг)

) Подготовку исходно-разрешительной документации

) Разработку технических решений, в том числе генерального плана

) Градостроительные, архитектурно-планировочные и строительные решения

) Инженерное обеспечение

) Мероприятия по охране окружающей среды и гражданской обороне

) Описание организации строительства

) Данные о необходимом жилищно-гражданском строительстве

) Описание системы управления предприятием, организации труда рабочих и служащих

) Формирование сметно-финансовой документации: оценку издержек производства, расчет капитальных издержек, расчет годовых поступлений от деятельности предприятий, расчет потребности в оборотном капитале, проектируемые и рекомендуемые источники финансирования проекта (расчет), предполагаемые потребности в иностранной валюте, условиях инвестирования, выбор конкретного инвестора, оформление соглашения.

) Оценку рисков, связанных с осуществлением проекта

) Планирование сроков осуществления проекта

) Оценку коммерческой эффективности проекта (при использовании бюджетных инвестиций)

) Формирование условий прекращения реализации проекта

ТЭО является заключительной стадией предынвестиционной фазы и дает всю необходимую информацию для принятия решения об участии в инвестировании. Окончательная оценка инвестиционных затрат, а также расчет прибыльности производится только, тогда, когда определено направление и масштаб проекта.

Расчет и последующая оценка всех показателей ТЭО должна производиться с учетом всех исходных данных и с жесткой увязкой их друг с другом.

На основе анализа требований крупных инвесторов, международных организаций и банков были сформированы требования к содержанию ТЭО инвестиционного проекта:

) Краткое сводное изложение проекта.

) Предпосылки и основная идея проекта.

) Анализ рынка и концепция маркетинга.

) Сырье и материалы.

) Местонахождение, строительный участок, окружающая среда.

) Техника и технология.

) Организация и накладные расходы.

) Трудовые ресурсы.

) Планирование и бюджетное ассигнование реализации проекта.

) Финансовый анализ и оценка инвестиций.

Для технико-экономического обоснования инвестиционных проектов традиционно применяются методы расчета коммерческой эффективности, базирующиеся на принципах, рекомендованных UNIDO (ООН). Но этих методов, как правило, недостаточно для принятия обоснованных решений по бюджетному финансированию строительства (модернизации) инфраструктурных, социальных, оборонно-промышленных и природоохранных объектов (которые, собственно, и формируют сегодня инвестиционную госпрограмму). Сугубо коммерческий подход к определению эффективности учитывает только прямые («внутренние») доходы и расходы по проекту, оставляя без внимания последствия его реализации для сопряженных производств, пользователей продукции (услугами) создаваемого объекта. Из-за возможной недооценки действительного (совокупного) эффекта, это чревато ошибочным выбором объекта вложения государственных средств. [9, с.78]

В.Г. Ухтомский отметил исходные данные для технико-экономического анализа инвестиционного проекта и результаты расчета основных его показателей, определяемых для проекта и базового варианта:

1)  Годовая программа производства продукции, работ, услуг:

- в натуральном выражении

по себестоимости, млн. руб.

в оптовых ценах предприятия без НДС, млн. руб.

в оптовых ценах предприятия с НДС, млн. руб.

) Затраты капитального характера (инвестиции в материальные активы), тыс. руб.

) Численность работающих, чел.

) Численность производственных (основных) рабочих, чел.

) Производительность труда, натур. ед./чел.:

выработка на одного работника

выработка на одного производственного (основного) рабочего

) Цеховая (полная) себестоимость единицы продукции, работ, услуг

) Оптовая цена продукции, работ, услуг

) Плановая прибыль

) Рентабельность продукции, работ, услуг

) Срок окупаемости реальных инвестиций

) Чистый приведенный доход

) Внутренняя норма доходности

) Индекс рентабельности [10, с.33]

Решения о проектировании объектов строительства принимаются на основании ТЭО строительства.

ТЭО - это документ, который обосновывает хозяйственную необходимость и экономическую целесообразность проектирования и строительства крупных и сложных объектов, а также объектов с импортным оборудованием.

Обоснование - подкрепление технико-экономическими расчетами решений, принятых в проекте. При проектировании крупных предприятий технико-экономическое обоснование является документом, подкрепляющим доказательства целесообразности проектирования строительства предприятий определенной мощности в конкретном районе.

Основным методическим документом по разработке ТЭО проектирования и строительства объектов являются Указания о порядке разработки и утверждения технико-экономических обоснований строительства крупных и сложных предприятий и сооружений. [2, с.235]

Основной итог технико-экономического обоснования (ТЭО) выражается, как это принято в мировой практике, в оценке ряда обобщающих показателей, позволяющих подготовить решение о целесообразности (нецелесообразности) инвестиций для реализации предлагаемого проекта. К ним относятся:

чистая текущая стоимость;

рентабельность;

внутренний коэффициент эффективности;

период возврата капитальных вложений (срок окупаемости);

максимальный денежный отток (сумма инвестиций);

точка безубыточности. [11, с.86]

2. Методы ТЭО предпринимательского проекта

.1 Общие положения по проведению технико-экономического обоснования предпринимательского проекта

Технико-экономическое обоснование является основным документом инвестиционного проекта, на основе которого принимается окончательное решение о реализации проекта и его финансировании. Управление инвестиционным проектом проводится на основе анализа выполнения плана, представленного в технико-экономическом обосновании.

Основная цель инвестиционного проектирования состоит в том, чтобы показать предпринимателю, как окупятся его расходы, и определить методы преобразования расходов в доходы.

Технико-экономическое обоснование разрабатывается на первой предынвестиционной фазе.

Универсальных рецептов, применимых во всех технико-экономических обоснованиях, нет. Вместе с тем существуют методики, позволяющие структурировать и унифицировать процесс проведения обоснования проекта. Пособие по подготовке промышленных технико-экономических исследований, разработанное Организацией Объединенных Наций по промышленному развитию (ЮНИДО), представляет собой один из наиболее полных документов, содержащих описание порядка проведения технико-экономического обоснования. Понятно, что в процессе технико-экономического обоснования могут использоваться и другие методические документы, в том числе отраслевые и ведомственные. Выбор методики сбора информации и проведения расчетов - задача, решение которой зависит от конкретных особенностей проекта и условий его реализации.

Разработчик определяет структуру и содержание отдельных частей обоснования с учетом специфики проекта, наличия необходимой информации, степени проработанности разделов будущего проекта. Для крупных предпринимательских проектов характерно проведение технико-экономического обоснования в несколько этапов, каждому из которых соответствует некоторая форма отчетного документа, обобщающего результаты расчетов и оценок.

Для крупных предпринимательских проектов характерно проведение расчетов технико-экономических показателей проекта (ТЭПП) в несколько этапов, каждому из которых соответствует форма отчетного документа, обобщающего результаты расчетов и оценок.

) Этап выявления возможностей

Готовится относительно краткое описание идеи проекта, носящее общий характер и базирующееся на обобщенных оценках, аналогиях, экспертных оценках и т.п.

) Этап предварительного выбора

Если после первого этапа идея проекта представляется перспективной - производится предварительный (грубый) расчет ТЭПП. Затраты на его проведение составляют до 1 % от стоимости всего проекта, а точность получаемых оценок находится в пределах ± 20 %.

) Этап проектирования

Разрабатываются полные ТЭПП. Здесь затраты могут составлять 2-3 % от стоимости проекта, а точность достигает ± 10 %. Ясно, что требования к достоверности используемой информации на этом этапе возрастают. Расчеты должны быть максимально объективными. С учетом возможных изменений условий и содержания проекта следует предусматривать «запас прочности» в значениях обобщающих показателей. Расчет полных ТЭПП служит базой для принятия предпринимательского решения.

) Этап оценки и принятия решения

На этом этапе составляется технико-экономический доклад (ТЭД), обобщающий основные результаты технико-экономического обоснования (на основе ТЭПП).

2.2 Методы ТЭО проекта

Разные авторы предлагают различные этапы по проведению технико-экономического обоснования, следовательно, существует и несколько методик. Для их сравнения составим таблицу 4, в которой приведем разделы ТЭО.

Таблица 4 - Методы технико-экономического обоснования проекта

Автор

Разделы ТЭО

Нешитой А.С. «Инвестиции»

1) основания для разработки ТЭО и исходные данные, принятые при разработке ТЭО: ссылка на постановления, решения и другие документы, являющиеся основанием для разработки ТЭО; 2) мощность (объем производства продукции), номенклатура продукции, специализация и кооперирование предприятия; 3) обеспечение предприятия сырьем, материалами и полуфабрикатами, энергией, топливом, водой и трудовыми ресурсами; 4) основные технологические решения, состав предприятия, организация производства и управления; обоснование рекомендуемой технологии производства (технологической схемы), обоснование выбора основного технологического оборудования; 5) выбор района, пункта, площадки (трассы) для строительства и их характеристика; 6) основные строительные решения, организация строительства; объемно-планировочные и конструктивные решения и их основные параметры; 7) охрана окружающей среды: характеристика и объем сточных вод и вредных выбросов; мероприятия по предупреждению загрязнения окружающей среды; 8) расчетная стоимость строительства; 9) основные технико-экономические показатели экономической эффективности и сроков окупаемости капитальных вложений, удельных капитальных вложений; 10) выводы и предложения. Приложения: схема ситуационного плана; схема генерального плана; сводный расчет стоимости строительства.

Кольцова А.В. «Эффективность инвестиционных проектов»

1) проведение маркетингового исследования (спрос и предложение, сегментация рынка, цены, эластичность спроса, основные конкуренты, маркетинговая стратегия и т. д.); 2) подготовку программы выпуска продукции; 3) подготовку пояснительной записки, включающей в себя данные предварительного обоснования инвестиционных возможностей; 4) подготовку исходно-разрешительной документации;


5) разработку технических решений, в том числе: генерального плана технологических решений (анализ состояния технологии, состава оборудования, загрузка действующих производственных мощностей; предложения по модернизации производства; закупка зарубежных технологий; расширение производств; производственный процесс, сырье и материалы и т. д.); 6) градостроительные, архитектурно-планировочные и строительные решения; 7) инженерное обеспечение; 8) мероприятия по охране окружающей среды; 9) основание организации строительства; 10) данные о необходимом жилищно-гражданском строительстве; 11) описание системы управления предприятием, организации труда рабочих и служащих; 12) сметно-финансовую документацию, в том числе: оценку издержек производства; расчет капитальных издержек; расчет годовых поступлений от деятельности предприятий; расчет потребности в оборотном капитале; проектируемые и рекомендуемые источники финансирования проекта (расчет); предполагаемые потребности в иностранной валюте; условия инвестирования, выбор конкретного инвестора; оформление соглашения; 13) оценку рисков, связанных с осуществлением проекта; 14) планирование сроков осуществления проекта; 15) оценку коммерческой эффективности проекта; 16) анализ бюджетной и/или экономической эффективности проекта (при использовании бюджетных инвестиций); 17) формулирование условий прекращения реализации проекта.

Непомнящий Е.Г. «Инвестиционное проектирование»

1) Общие исходные данные и условия, идея проекта; 2) Рынок и мощность организации; 3) Проектная документация, основные фонды; 4) Месторасположение организации, стоимость земельного участка; 5) Материальные факторы производства; 6) Структура предприятия и накладные расходы; 7) Трудовые ресурсы; 8) Планирование сроков осуществления проекта; 9) Финансово-экономическая оценка проекта.

Кузнецов Б.Т. «Инвестиции»

1) Титульный лист и резюме; 2) Методы финансирования; 3) Цели и стратегии предприятия; 4) План маркетинга; 5) Продукты; 6) Налоги и инфляция; 7) Инвестиционный план; 8) План сбыта; 9) Производственный план; 10) Финансовый план; 11) Финансовые коэффициенты; 12) Показатели качества инвестиционного проекта; 13) Компьютерные системы создания проектов.

Беренс В. «Руководство по оценке эффективности инвестиций»

1) Проведение маркетингового исследования; 2) Подготовку программы выпуска продукции; 3) Подготовку исходно-разрешительной документации; 4) Разработку технических решений, в том числе генерального плана; 5) Градостроительные, архитектурно-планировочные и строительные решения; 6) Инженерное обеспечение; 7) Мероприятия по охране окружающей среды и гражданской обороне; 8) Описание организации строительства; 9) Данные о необходимом жилищно-гражданском строительстве; 10) Описание системы управления предприятием, организации труда рабочих и служащих; 11) Формирование сметно-финансовой документации: оценку издержек производства, расчет капитальных издержек, расчет годовых поступлений от деятельности предприятий, расчет потребности в оборотном капитале, проектируемые и рекомендуемые источники финансирования проекта (расчет), предполагаемые потребности в иностранной валюте, условиях инвестирования, выбор конкретного инвестора, оформление соглашения; 12) Оценку рисков, связанных с осуществлением проекта; 13) Планирование сроков осуществления проекта; 14) Оценку коммерческой эффективности проекта (при использовании бюджетных инвестиций); 15) Формирование условий прекращения реализации проекта.


Все представленные методы, хотя и состоят из разных этапов, несут в себе однотипную информацию и отличаются друг от друга лишь небольшим набором данных. Но самые важные и значимые пункты содержатся во всех предложенных методиках. Кто-то более подробно разделяет этапы в методах, например А.В. Кольцова и В. Беренс. А А.С. Нешитой и Е.Г. Непомнящий объединяют некоторые предложенные разделы ТЭО Кольцовой и Беренсом в один. Методика, предложенная Б.Т. Кузнецовым, больше похожа на бизнес-план, а это немного другое, включающее в себя и последующий сбыт продукции.

Следовательно, из представленных методов для оценки эффективности строительства многоэтажного гаражного комплекса выберем метод, предложенный Е.Г. Непомнящим. Он наиболее полно отражает все затраты, связанные с реализацией проекта и содержит расчет комплекса обобщающих технико-экономических показателей проекта.

.3 Содержание разделов технико-экономического обоснования

Рекомендуется следующая примерная последовательность проведения технико-экономического обоснования предпринимательского проекта при предварительном и полном ТЭО (рисунок 12):

) Общие исходные данные и условия, идея проекта.

) Рынок и мощность организации.

) Проектная документация, основные фонды.

) Месторасположение организации, стоимость земельного участка.

) Материальные факторы производства.

) Структура предприятия и накладные расходы.

) Трудовые ресурсы.

) Планирование сроков осуществления проекта.

) Финансово-экономическая оценка проекта.

Раздел 1. Исходные данные и условия

В этом разделе отражаются собственно идея проекта, основной замысел организации, географические аспекты, отраслевая направленность.

Рисунок 10 - Расчет технико-экономических показателей проекта (ТЭПП)

Раздел 2. Оценка рынков и мощности организации.

Примерная последовательность выполнения и содержание работ:

1) Анализ полученной маркетинговой информации

Маркетинговая информация делится на внутреннюю и внешнюю. К внутренней относится та информация, которая собирается самой фирмой или по ее заказу. Внешняя информация собирается за пределами фирмы, но используется ей в маркетинговых целях. В свою очередь внутренняя информация делится на первичную и вторичную. Первичная информация собирается в соответствии с целями данного исследования. Процесс сбора первичной маркетинговой информации носит название полевых исследований. Вторичная информация - это информация, собранная ранее для других целей. Процесс сбора вторичной информации носит название кабинетных исследований.

А) Клиентура:

рынки (потребителей, производителей, промежуточных продавцов, госучреждений, международный);

размеры рынков, их рост, географическое расположение;

виды потребителей (что пользуется спросом);

периоды потребности (когда есть спрос);

перспективы роста спроса.

Б) Поставщики (доступность и перспективы бесперебойного снабжения ресурсами для нужд производства, доступность и цены капитального имущества).

В) Конкуренты:

основные конкуренты;

их задачи и стратегии;

сильные и слабые стороны;

размеры и показатели занимаемых долей рынка;

качество и цены товаров;

степень конкуренции;

возможная реакция на сбытовую политику фирмы.

Г) Посредники:

доступность и цены транспортных услуг;

доступность и цены складских услуг;

доступность и цены финансирования;

доступность и цены рекламных агентств.

Д) Экономические, социальные и законодательные факторы.

Е) Демографические факторы.

Ж) Научно-техническая обстановка и тенденции развития отрасли.

З) Вопросы экологии.

) Отбор целевых рынков

А) Сегментирование рынка и выбор целевых сегментов.

Сегментирование рынка - процесс разбивки рынка на группы по какому-либо признаку. Сегмент - группа потребителей, которая одинаково реагирует на предложение предприятия. Требования, предъявляемые к сегменту рынка:

поведение в сегменте должно быть как можно более единообразным;

сегмент должен быть достаточно большим;

конкуренция должна быть как можно меньше.

Б) Позиционирование товара в выбранных сегментах.

Позиционирование - разработка и создание имиджа товара таким образом, чтобы он занял в сознании потребителя достойное место, отличающееся от положения товаров-конкурентов.

В) Объем спроса и предполагаемая доля рынка фирмы в выбранных сегментах.

) Комплекс маркетинга

А) Решения по товару.

Товар в маркетинге - все, что может способствовать удовлетворению потребностей потребителя. Это продукт и продвижение.

Б) Установление цен на товар.

Цена может изменяться в пределах: низкая цена (на уровне себестоимости) до высокой цены (определяется уникальными свойствами товара).

Средние цены определяются ценами товаров-конкурентов. Цена выполняет следующие функции:

способствует закреплению фирмы на товарном рынке;

способствует получению оптимального объема прибыли предприятия;

способствует повышению качества товара;

обеспечение необходимого уровня послепродажного обслуживания.

В) Методы распределения товара.

Г) Методы стимулирования сбыта.

Стимулирование сбыта - использование многообразных средств стимулирующего воздействия, призванных ускорить и/или усилить ответную реакцию рынка. К ним относятся:

стимулирование потребителей (распространение образцов, купоны, предложения о возврате денег, упаковки, продаваемые по льготной цене, премии, конкурсы, зачетные талоны, демонстрации);

стимулирование сферы торговли (зачеты за закупку, предоставление товаров бесплатно, зачеты дилерам за включение товара в номенклатуру, проведение совместной рекламы);

стимулирование собственного торгового персонала фирмы (премии, конкурсы, конференции продавцов).

) Стратегия и планирование маркетинга

Основной итог раздела:

предполагаемый жизненный цикл предприятия;

предполагаемая производственная программа (в стратегическом и тактическом аспектах);

предполагаемый жизненный цикл продукции фирмы;

политика цен фирмы и предполагаемая рыночная цена продукции;

предполагаемые затраты на сбыт и стимулирование сбыта продукции.

Раздел 3. Проектная документация, основные фонды

При проектировании предприятий, зданий и сооружений производственного назначения учитываются решения, принятые в схемах и проектах районной планировки, генеральных планах городов, поселков и сельских поселений, проектах планировки жилых, промышленных и других функциональных зон.

Проект на строительство промышленных предприятий, зданий и сооружений производственного назначения состоит из следующих разделов:

) Общая пояснительная записка;

) Генеральный план и транспорт;

) Технологические решения;

) Организация и условия труда работников;

) Управление производством и предприятием;

) Архитектурно-строительные решения;

) Инженерное оборудование, сети и системы;

) Организация строительства;

) Охрана окружающей среды;

) Инженерно-технические мероприятия гражданской обороны;

) Мероприятия по предупреждению чрезвычайных ситуаций;

) Сметная документация;

) Эффективность инвестиций.

Раздел включает в себя расчет издержек на выполнение примерно следующих работ и на приобретение капитального имущества (основных фондов):

) Разработка товара (продукции) фирмы:

А) НИР и ОКР;

Б) Функциональные испытания;

В) Конструкторская подготовка производства;

Г) Изготовление опытной партии;

Д) Рыночные испытания продукции.

) Технологическая и организационная подготовка производства:

А) Технологическая и проектная документация (в том числе строительно-монтажная);

Б) Капитальное имущество (основные фонды) для основного, вспомогательного и обслуживающего производств и общефирменных функциональных служб (здания, сооружения, оборудование и средства технологического оснащения, энергетическое оборудование и коммуникации, транспортные средства, инвентарь и прочее капитальное имущество).

По перечисленным выше разделам производится отбор наилучших технологических решений. Производится сравнительная оценка потенциальных поставщиков необходимого капитального имущества. Разрабатывается план размещения объектов строительства и реконструкции, и определяются необходимые производственные и общие площади.

Основной итог раздела:

расчет стоимости проектной документации (конструкторской, технологической, строительной и др. или лицензий «ноу-хау», патентов и т. д.);

стоимость капитального имущества, в том числе строительно-монтажных работ;

стоимость капиталовложений по вариантам проекта.

В помощь проектанту, при выполнении разделов 3,6,7 проекта, предлагается примерная функциональная структура производственной фирмы, на основе которой можно разработать производственную и организационную структуры фирмы (рисунок 13).

Рисунок 11- Функциональная структура производственной фирмы

Раздел 4. Месторасположение организации, стоимость земельного участка

Этот раздел особенно важен, если проект предусматривает создание нового объекта, организации канала сбыта, лаборатории и т.д. Когда содержанием технико-экономического обоснования служит проект, осуществляемый действующим предприятием, оценивается необходимость выделения и расширения площадей, возможность их перераспределения и т.д. Производится отбор района и конкретной площадки для размещения объекта. Проблема эффективного месторасположения организации состоит в удобном в течение длительного времени (и прибыльном) пространственном размещении деятельности фирмы. Причиной проблемы месторасположения являются экономическая неоднородность пространства или площадей, в силу чего каждое месторасположение оказывает специфическое влияние на предпринимательский успех (затраты и выгоды), связанное с выбором и использованием данного места. Основная цель выбора месторасположения - максимизация разницы между выгодой и затратами.

Кроме этой экономической цели, могут решаться и другие, неэкономические - престиж, надежность и т.п.

Основные факторы выбора месторасположения:

) Заготовительно-ориентированные факторы:

сырье, вспомогательные и производственные материалы (цены, транспортные издержки);

трудовые ресурсы (потенциал, цены, социально-культурная инфраструктура);

) Факторы, ориентированные на производство:

естественные характеристики (структура почвы, климата и т. д.);

технические характеристики и инфраструктура (близость к партнерам по кооперации, наличие коммуникаций и (или) удобство их сооружения).

) Факторы, ориентированные на сбыт:

потенциал рынка (структура населения, структура потребления, покупательная способность, конкуренция в регионе, репутация местности);

сообщения (магистральные связи, транспортные издержки);

торговая инфраструктура и деловые контакты (наличие посредников, ярмарок, рекламных агентств).

) Факторы, установленные государством:

экономическая система страны и ее правовая основа;

регулирование во внешней торговле (импортно-экспортные ограничения);

законодательство и ограничения по защите окружающей среды;

налоговая система и льготы;

государственная политика по приоритетным направлениям и в отношении регионов страны.

К этим общим факторам месторасположения могут добавляться и другие показатели, обусловленные спецификой соответствующего производства или услуг.

Основной итог раздела: расчет стоимости земельного участка или арендной платы по вариантам размещения.

Раздел 5. Материальные факторы производства

Оцениваются потребности в сырье, материалах, полуфабрикатах, комплектующих изделиях, энергии.

Определяется количественная потребность и выявляется возможность взаимодействия с потенциальными поставщиками.

Основной итог раздела: расчет годовых издержек на материальные факторы производства.

Раздел 6. Организационная структура организации и накладные расходы

В этом разделе формируется организационная структура организации:

) производственная:

основное производство;

вспомогательное производство;

обслуживающее производство;

) сбытовая - каналы сбыта;

) управленческая;

) социально-бытовая.

Основной итог раздела: расчет сметы накладных расходов.

Раздел 7. Трудовые ресурсы

Здесь оценивается потребность в трудовых ресурсах с разбивкой по категориям (рабочие, служащие) и основным специальностям.

Весь персонал делят на две группы:

) промышленно-производственный персонал. Связан с основной деятельностью предприятия:

рабочие: основные и вспомогательные;

служащие: руководители, специалисты, служащие.

) непромышленный персонал. Не связан с деятельностью предприятия.

Основной итог раздела: расчет ежегодных расходов на трудовые ресурсы.

Раздел 8. Планирование сроков осуществления проекта

Этот раздел включает примерный график осуществления проекта:

) НИР;

) ОКР;

) подготовка производства;

) строительство (реконструкция) предприятия;

) монтаж оборудования, пуско-наладка;

) освоение производства;

) план производства по годам.

Раздел 9. Финансово-экономическая оценка проекта

Это - завершающий раздел определения ТЭПП, служащий предпосылкой для принятия окончательного решения о реализации проекта или отказа от него. Он лежит в основе вырабатываемых условий соглашения с поставщиками, потребителями, партнерами, акционерами, банками и т. д.

Раздел носит комплексный характер и обычно состоит из следующих частей:

) общие инвестиции;

) финансирование проекта;

) производственные издержки;

) таблица денежных потоков;

) финансово-экономические показатели проекта.

Таким образом, раздел содержит расчет комплекса обобщающих технико-экономических показателей проекта.

Технико-экономические показатели проекта.

Международная практика обоснования проектов использует несколько показателей, позволяющих подготовить решение о целесообразности (нецелесообразности) вложения средств. В их числе:

чистая текущая стоимость;

индекс доходности;

рентабельность;

внутренний коэффициент эффективности;

период возврата капитальных вложений;

максимальный денежный отток;

неразрывность денежного потока;

норма безубыточности.

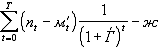
Показатель чистой текущей стоимости (ЧТС) (Net Present Value of Discounted Cash Flow - NPV), называемый в отечественных источниках «интегральным экономическим эффектом», определяется как сумма текущих эффектов за весь расчетный период, приведенная к начальному шагу, или как превышение интегрального притока денег (П) над интегральными затратами (оттоком) (О):

Эинт = ЧТС = , (1)

где Пt - приток денежных средств на t - м шаге расчета;

Оt - отток денежных средств на том же шаге;

Т - горизонт расчета (равный номеру последнего шага расчета).

Еще этот показатель называют: чистый дисконтированный доход (ЧДД), чистая приведенная стоимость.

Примечание. В конце Т-го (последнего) шага должна учитываться (условная) реализация активов.

- эффект, достигаемый на t-м шаге (чистый денежный поток).

На практике часто пользуются модифицированной формулой для определения ЧТС. Для этого из состава Оt исключают капитальные вложения и обозначают Кt - капиталовложения на t-м шаге; К - сумму дисконтированных капиталовложений, то есть

,(2)

а  - затраты на t-м шаге при условии, что в них не входят капиталовложения.

Тогда формула (1) для ЧТС записывается в виде:

ЧТС =  (3)

Показатель ЧТС рассчитывается аналитически, а также отражается в таблице денежных потоков. Максимум чистой текущей стоимости выступает как один из важнейших критериев при обосновании проекта. Он обеспечивает максимизацию доходов собственников капитала в долгосрочном плане (за экономический срок жизни инвестиций).

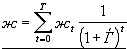
Индекс доходности (ИД) представляет собой отношение суммы приведенных эффектов (ЧТС) к сумме дисконтированных капиталовложений:

(4)

Индекс доходности тесно связан с ЧТС: если ЧТС положительна, то ИД>1, и наоборот.

Если ИД>1, проект эффективен, если ИД<1 - неэффективен.

Рентабельность (Simple Rate of Return - SRR), понимаемая как отношение прибыли к капитальным вложениям, а также по отношению к акционерному капиталу, рассчитывается аналитически для каждого года реализации предпринимательского проекта и как среднегодовая величина (в том числе с учетом налогообложения). Внутренний коэффициент эффективности (Internal Rate of Return - IRR).

Внутренний коэффициент эффективности (ВКЭ) - это такая норма дисконта (Евн), при которой интегральный экономический эффект за экономический срок жизни инвестиций равен нулю, т.е.

(5)

На практике часто пользуются модифицированной формулой

 (6)

т. е. ВКЭ - норма дисконта (Евн), при которой величина приведенных эффектов равна приведенным капиталовложениям.

Для определения Евн необходимо решать уравнение (5) или (6).

В случае, когда ВКЭ равен или больше требуемой инвестором нормы дохода на капитал, инвестиции в данный проект оправданы, и может рассматриваться вопрос о его принятии.

В противном случае инвестиции в данный проект нецелесообразны.

Период возврата капитальных вложений (Pay-Back Period - PBP), иногда называемый сроком окупаемости, представляет собой количество лет, в течение которых доход от продаж за вычетом функционально-административных издержек возмещает основные капитальные вложения. Этот показатель может быть рассчитан аналитически, указан в таблице денежных потоков или выделен на графике, изображающем финансовый профиль проекта. Остается дискуссионным вопрос, должен ли период возврата рассчитываться с дисконтированием или без такового.

Максимальный денежный отток (Cash Outflow) - это наибольшее отрицательное значение чистой текущей стоимости, рассчитанной нарастающим итогом. Этот показатель отражает необходимые размеры финансирования проекта и должен быть увязан с источниками покрытия всех затрат. Он отражается в таблице денежных потоков и может быть выделен на графике финансового профиля проекта.

Неразрывность денежного потока. Основным условием осуществления проекта являются положительные значения кумулятивной (накопленной) кассовой наличности на любом шаге расчета. Если на некотором шаге сальдо реальных денег становится отрицательным, это означает, что проект в данном виде не может быть осуществлен независимо от значений интегральных показателей эффективности.

В этом случае необходимо привлечение дополнительных собственных или заемных средств или изменения других показателей проекта.

Норма безубыточности (Break-Even Point - BEP) - это минимальный размер партии выпускаемой продукции, при котором обеспечивается «нулевая прибыль» (доход от продаж равен издержкам производства). Определяется аналитически по формуле


или графическим методом, как правило, для условий полного освоения проектной мощности предприятия (рисунок 14).

Рисунок 12 - Расчет точки безубыточности

Оценки эффективности инвестиций, используемые при обосновании проектов, могут базироваться на различных подходах и, соответственно, рассчитываться методом приведенной стоимости, методом аннуитета (Fnnuity), методом рентабельности или методом ликвидности (таблица 5).

Выбор метода обоснования решения является прерогативой предпринимателя (с учетом, разумеется, позиции собственника капитала).

Таблица денежных потоков.

Таблица денежных потоков (Cash Flow) или, иначе, таблица потоков наличностей, содержит сводные данные об объемах продаж, инвестициях и производственных издержках по каждому году осуществления проекта. Данная таблица позволяет рассчитать чистую текущую стоимость, оценить максимальный денежный отток, выявить период возврата капитальных вложений. Она отражает не только финансово-экономические показатели, но и их динамику. Соответствующий пример для проекта без внешнего финансирования приведен в таблице 6.

Таблица 5 - Методы определения обобщающих финансово-экономических показателей

Абсолютные показатели (разность)

Относительные показатели («отдача»)

Временные показатели

Метод приведенной стоимости

Метод аннуитета

Метод рентабельности

Метод ликвидности

Способы, учитывающие динамичность параметров проекта

Расчет показателя интегрального экономического эффекта (чистой текущей стоимости)

Расчет показателя дисконтированного годового экономического эффекта

Расчет показателя внутреннего коэффициента эффективности (внутренней ренты)

Расчет показателя периода возврата капитальных вложений (с дисконтированием или без такового)


Рутинные (упрощенные) способы


Расчет показателя приблизительного аннуитета с использованием приведенных затрат

Расчет показателя простой (расчетной) рентабельности

Расчет показателя приблизительного периода возврата капитальных вложений (как величины, обратной показателю простой рентабельности)


Таблица 6 - Таблица потоков наличностей

Стадия

Строительство

Освоение

Производство

 Год

1

2

3

4

5

...

Производственная программа Показатели

0

0

50 %

75 %

100 %


А. Приток наличностей

1. Доход от продаж 2. Ликвидационная стоимость предприятия







Б. Отток наличностей

1. Инвестиции в основной капитал (-) 2. Вложения в оборотный капитал (-) 3. Производственно-сбытовые издержки 4. Налоги (-)







В. Чистый денежный поток (Net Cash  Flow - NCF) = приток наличностей - отток наличностей







Г. Кумулятивный чистый денежный поток (Cumulative Cash Flow), то есть нарастающим итогом







Д. Чистая текущая стоимость (NPV), то есть дисконтированный чистый денежный поток








Финансовый профиль проекта.

Графическое отображение динамики показателя дисконтированного чистого денежного потока, рассчитанного нарастающим итогом, представляет собой так называемый финансовый профиль проекта (Cumulative Cash Flow Diagram). Как правило, он имеет форму, представленную на рисунке 13.

Такие обобщающие показатели, как интегральный экономический эффект, максимальный денежный отток, период возврата капитальных вложений, получают с помощью финансового профиля проекта наглядную графическую интерпретацию.

Рисунок 13 - Финансовый профиль предпринимательского проекта

Внутренний коэффициент эффективности, как отмечалось, может находиться методом подбора, при этом интегральный экономический эффект равен нулю.

3. ТЭО строительства гаража

.1 Идея проекта

Когда говорят о многоэтажных гаражах, имеют в виду узкоспециализированные сооружения, предназначенные для вмещения в минимальном объеме как можно большего числа автомобилей. Для этой цели используются расположенные один над другим ярусы, въездные и выездные рампы, заправочные колонки и резервуары для топлива, мастерские технического обслуживания. Каждый из названных элементов имеет свое назначение, определенные размеры и влияет на внешний вид всего сооружения. Однако назначение еще не определяет форму сооружения, как и сумма важнейших частей гаража (его внешний вид, наличие рассмотренных элементов) образует лишь основу сооружения; все остальное зависит от фантазии архитектора, выбирающего пропорции и внешний вид здания, его членения, а также наружную и внутреннюю отделку. Как и в любом техническом сооружении, в здании гаража должно быть достигнуто единство формы и содержания; в функциональных, сугубо утилитарных зданиях такого единства обычно не возникает.

Функции многоэтажных гаражей определяются рядом признаков. Пользователи гаражей делятся на две большие группы: нуждающихся в кратковременном или длительном хранении автомобилей. Места для кратковременного хранения используются теми, кто приезжает за покупками или для недолгого посещения государственных учреждений, адвокатов или врачей. Их требования к стоянкам связаны с относительно небольшой длительностью ожидания и короткими расстояниями для подхода к цели пешком. Поэтому для таких пользователей не годится въездная рампа для подъема на шестой этаж гаража - они будут искать нужные им места на улицах или уедут вообще. Потребности таких посетителей могут удовлетворить гаражи высотой от одного до четырех этажей; в более высоких гаражах места стоянки следует выделять на нижних этажах. Обычно первый этаж служит для технического обслуживания посетителей и размещения заправочных колонок и резервуаров топлива.

Многоэтажные гаражи играют все большую роль в наших городах. Можно сказать, что эти новые для наших улиц объекты придают современной городской архитектуре новые черты. Поэтому становится правомерным вопрос о том, как должен меняться облик города под влиянием потребностей хранения автотранспорта. Нет сомнений, что число и размеры гаражей будут возрастать.

Преобладание определенных точек зрения на архитектуру гаражей зависит от многих обстоятельств, в том числе от городских традиций, климатических и экономических условий. Можно ожидать, что в результате новых разработок должны проявиться новые архитектурные формы. Это относится не только к архитектурному облику отдельных многоэтажных гаражей, но и к пространственной структуре всего города.

Проектируемый объект - гараж на 249 автомобилей. Здание гаража - 4-х этажное. Функциональным назначением гаража на 249 автомобилей является хранение и техническое обслуживание автомобилей. Архитектурные и объемно-планировочные решения здания гаража приняты в соответствии с требованиями заказчика.

Компоновка проектируемого объекта решена по принципу размещения в одном здании производственных, складских и административно-бытовых помещений с использованием схемы внутреннего зонирования.

Объект предназначен для оказания комплекса разнообразных услуг сервисного (технического) обслуживания и временного хранения легковых автомобилей индивидуального пользования.

Компоновочные решения комплексного здания:

Вместимость гаража - 249 машиномест;

Этаж на отм. 0.000:

гараж на 42 машиноместа;

пункт технического обслуживания на 2 машиноместа;

пункт мойки легковых автомобилей;

магазин автозапчастей;

зона работы с клиентами: клиентская, касса;

служебно-бытовые помещения: комната мастера, гардероб персонала с душевой, комната приема пищи, санузел.

Этаж на отм. +3.550:

гараж на 65 машиномест.

Этаж на отм. +6.350:

гараж на 71 машиноместо.

Этаж на отм. +9.150:

гараж на 71 машиноместо.

Компоновка здания по функциональному зонированию полностью отвечает технологическим требованиям в плане обеспечения оптимальных функциональных связей между службами. Принятая схема удобна как для посетителей и клиентов, так и для сотрудников комплекса.

Принятая блокировка схожих служб позволяет рационально решить разводку инженерных коммуникаций и обеспечить требуемые санитарные нормы.

Назначение: в соответствии с заданием на проектирование гараж предназначается для временного размещения легковых автомобилей.

Тип и вместимость гаража - гараж для хранения автомобилей предусматривается на площадях четырех этажей здания. Вместимость автостоянки составляет 249 машиномест. Габариты машиномест обеспечивают размещение легковых автомобилей среднего класса. Гараж рассчитан на хранение автомобилей, работающих на жидком топливе (бензиновом или дизельном).

Возможно использование гаража для размещения легковых автомобилей иностранного производства с геометрическими параметрами аналогичными отечественным автомобилям среднего класса.

Четырехуровневый гараж предусмотрен манежного типа. Схема движения автомобилей внутри помещений организована с возможными встречными потоками. Около ворот размещаются контрольно-пропускной пункт, служба охраны.

Высота этажей гаража колеблется от 2,50 м до 3,50 м от пола до потолка.

В соответствии с назначением автостоянки принят следующий режим работы:

количество рабочих дней в году - 365;

количество смен в сутки - 2.

Обслуживание и ремонт технологического и инженерного оборудования сетей и коммуникаций (отопление, водопровод, освещение и т.д.) выполняются специализированными предприятиями на договорной основе.

Основные положения организации технологического процесса

Автомобили, прибывающие на хранение, поступают на контрольно-пропускной пункт на отм. 0.000, где производится регистрация прибытия автомобиля. При регистрации проверяется наличие документов на прибывший автомобиль, производится его внешний осмотр проверки повреждений кузова.

При наличии повреждений необходимы соответствующим образом оформленные Госавтоинспекцией документы.

В гараже организован колесоотбой, предусмотренный вдоль стен, к которым автомобиль устанавливается торцевой стороной, на расстоянии 1500 мм от стены и 400 мм от продольной стороны.

Принятый способ хранения обеспечивает независимую расстановку автомобилей с учетом свободного маневрирования при въезде и выезде с соблюдением нормативных требований ОНТП 01-91.

В гараже предусматривается схема движения автомобилей встречных потоков в направлении от въезда к выезду. Схема движения автомобилей регламентируется дорожными знаками и указателями. Места хранения автомобилей обозначаются соответствующей разметкой и нанесением порядковых номеров на полу гаража.

Сервисный центр

Основное назначение проектируемого объекта - временное хранение легковых автомобилей, оказание сервисных услуг, автомойка. Основные виды работ:

уборочно-моечные;

контрольно-диагностические;

крепежные;

регулировочные;

электротехнические;

смазочные;

техническое обслуживание.

В проектируемом пункте проводятся сервисные услуги по техническому обслуживанию, мойке и ремонту легковых автомобилей. Автомобили, поступающие на ремонт, также проходят через посты мойки.

Предоставление услуг и перечень работ по ТО и TP легковых автомобилей, а также организация технологического процесса осуществляется в соответствии с «Положением о техническом обслуживании и ремонте легковых автомобилей, принадлежащих гражданам», Минавтопром РФ и требованиями технического задания Заказчика.

По целевому назначению и характеру производственной деятельности проектируемый пункт является предприятием комплексного обслуживания (различные виды ТО и TP).

Для обеспечения сервисного обслуживания автомашин по заданной программе запроектирован пункт на 2 поста ТО и TP и 1 моечный пост.

Виды сервисных услуг и работ:

уборочно-моечные: ручная мойка автомашин - 1 пост;

срочное техобслуживание (регулировка механизмов и мелкий ремонт);

контрольно-диагностические;

проверка сход-развал;

текущий ремонт.

Взаимное размещение участков выбрано с учетом рационального обеспечения процесса ремонта и удобства технологической взаимосвязи производственных участков.

Для обеспечения доступа к агрегатам, узлам и деталям, расположенным снизу подвижного состава, в процессе выполнения работ ТО и TP используются напольные механизированные устройства.

Посты технического осмотра и ремонта оборудованы стоечными подъемниками и другими необходимыми устройствами для техосмотра и ремонта, обеспечивающими возможность проведения ремонта механизмов, подузлов и узлов и их замену.

На постах технического обслуживания предусмотрены такие виды подъемников, которые позволяют проводить различные виды работ для различных типов автомобилей.

Общее и углубленное диагностирование автомашин проводится на специализированных постах с использованием высокоэффективного диагностического комплекта и стендов для проверки установки управляемых колес автомобиля (компьютерный стенд «сход-развал», диагностическая линия).

Все посты технического обслуживания оборудованы установками для вытяжки отработанных газов автомобилей. Хранение сменной потребности двигателей, агрегатов, узлов, деталей, материалов (за исключением ЛВЖ и ГЖ) и инструмента - организовано непосредственно в помещении постов ТО и ТР.

Прием отработавших аккумуляторных батарей и их хранение на проектируемом пункте не предусматривается.

Заправки автомобилей топливом после ремонта на территории проектируемого объекта не производится.

Здание отапливаемое на +18 °С. Въездные ворота на посты технического обслуживания приняты размером: 3,0 х 3,0 (п) м - для легковых машин.

Габариты помещений определены размерами обслуживаемой техники, видами проводимых обслуживаний, примененным оборудованием и минимальными нормативными разрывами до строительных конструкций.

Для обеспечения сервисного обслуживания клиентов выделена изолированная зона в составе: зона для размещения сотрудников, оформляющих заказы и выполняющих денежные операции, зона отдыха (клиентская), санузел.

Для сотрудников сервиса предусмотрены необходимые служебно-бытовые помещения в составе: комната мастера, гардероб персонала с душевой.

.2 Материальные факторы производства

Основанием для расчета необходимого количества сырья, материалов, топлива, энергии являются производственная мощность и нормы расходов сырья, материалов, топлива и энергии на единицу продукции. Цены на сырьё, материалы, топливо и энергию рассчитывают исходя из цен поставщиков, транспортных расходов на перевозку и доставку до склада .

Таблица 7 - Расчет затрат на сырье

Наименование вида сырья

Сумма на весь гаражный комплекс, руб.

Сумма на 1 гараж, руб.

материалы

50 350 975

202212,75

заготовительно-складские расходы

148 979

598,31

Итого

50 350 975

202 213

Таблица 8 - Расчет затрат на вспомогательные материалы

Наименование нормируемого материала

Доля вспомогательных материалов от стоимости сырья, %

Сумма на весь гаражный комплекс, руб.

Сумма на 1 гараж, руб.

Вспомогательные материалы

5

2 517 548,75

10 111

Итого


2 517 548,75

10 111


Расчет затрат на энергоресурсы, воду и канализацию

Обоснование потребности в энергоресурсах

В темное время суток для производства строительно-монтажных работ необходима установка временных прожекторов и переносных светильников.

Количество прожекторов марки ПКН-1000, необходимых для освещения строительной площадки в темное время суток (2 лк по ГОСТ 12.1.046-85)

 шт.

Количество прожекторов марки ПКН-1000, необходимых для освещения мест погрузо-разгрузочных работ в темное время суток (10 лк по ГОСТ 12.1.046-85)

 шт.

Количество прожекторов марки ПКН-1000, необходимых для освещения рабочих мест в темное время суток (30 лк по ГОСТ 12.1.046-85)

 шт.

где m - коэффициент, учитывающий световую отдачу источников света, КПД прожекторов и коэффициент использования светового потока;

К - коэффициент запаса;н - нормируемая освещенность;- освещаемая площадь;

Рл - мощность прожектора марки ПКН 1500.

Прожектора расположить на мачтах или деревянных столбах. При этом нижняя точка должна находиться не ниже (по СНиП 12-03-2001 п. 6.4.3):

3,5 м над существующими проходами;

2,5 м над рабочими местами;

6,0 м над проездами.

Потребная мощность источника электроэнергии определена по формуле (пособие к СНиП 3.01.01-85):

,

где Pс, Pт, Pов, Pон - соответственно мощность силовых потребителей на технологические нужды, внутреннее и наружное освещение;с, k2с, k3с - коэффициенты спроса;ц1 cosц2 - коэффициенты мощности.

Таблица 9 - Потребность в электроэнергии на работы основного периода

Наименование оборудования

Кол-во

Установочная мощность ед., кВт

Коэффициент спроса

cosцi

Потребляемая мощность, кВт

1

Сварочный пост

1

30,0

0,8

-

24,0

2

Электроинструмент

8

1,0

0,4

0,8

4,0

3

Прожектор освещения

24

1,0

0,9

-

21,6

4

Бытовое помещение

8

2,5

0,8

-

12,8

5

Трансформатор прогрева бетона

2

63,0

0,5

0,8

63,0

Сумма:

125,4

Итого с учетом коэффициента 1,05

131,7


Потребность в воде, топливе и сжатом воздухе

Потребность составлена и определена исходя из принятых методов производства работ, объемов, стоимости СМР, сроков строительства на основании «Расчетных нормативов для составления проектов организации строительства. Часть I».

Объемы СМР приведены в цены 1969 г. и к I территориальному коэффициенту путем деления стоимости СМР в ценах 1984 г. на коэффициент 1,205Ч1,0.

Ориентировочная сметная стоимость СМР объекта в текущих ценах составляет 175 000 тыс. руб. Стоимость СМР в ценах 1984 г. путем деления на инфляционный индекс будет равна 1,7 млн. руб. В ценах 1969 г. составляет 1 700 / (1,205Ч1,0) = 1 410 тыс. руб. = 1,4 млн. руб.

В расчете принимаем сметную стоимость СМР за один год: 1,41 х 1,04 х 12/13,5 = 1,3 млн. руб/год. Также включаем в расчет коэффициент К1 = 1,04 (номер территориального пояса - III, группа Г).

Таблица 10 - Потребность в воде, топливе и сжатом воздухе

Наименование энергоресурсов

Ед. изм.

Нормативный показатель на 1 млн. руб./год

Объем СМР (в млн. руб.) в год

Годовая потребность

Электроэнергия

kВА

140

1,3

182,0

Топливо

т

52

1,3

67,6

Пар

кг/ч

160

1,3

208,0

Вода на производственные нужды

л/с

0,2

1,3

Вода на пожаротушение

л/с

См. примечание

20,0

Сжатый воздух (передвижные компрессоры)

шт

3,2

1,3

4,0

Кислород

м3

4400

1,3

5720,0


Примечание: расход воды на пожаротушение при площади застраиваемой территории до 50 га принимаем 20 л/с.

Таблица 11 - Расчет затрат на энергоресурсы, воду и канализацию

Наименование энергоресурса

Единица измерения

Кол-во на 1 гараж

Кол-во на весь гаражный комплекс

Тариф на ресурс, руб.

Сумма на весь гаражный комплекс c НДС, руб.

Сумма на весь гаражный комплекс, руб.

Сумма на 1 гараж, руб.

Электроэнергия

КВт/ч

3,386

843

1,89

1 593

1 328

5

Топливо

т

0,271

67,6

17 000,00

1 149 200

957 667

3 846

Кислород

мі

32,850

8179,6

11,00

89 976

74 980

301

Вода

л/с

0,081

20,26

0,01

0

0

0

Сжатый воздух

шт


4

63 580,00

254 320

211 933

851

Итого:

-

-

-

-

-

1 245 908

5 004


.3 Организационная структура организации и накладные расходы

Накладные расходы, как часть сметной себестоимости строительно-монтажных работ, представляют собой совокупность затрат, связанных с созданием необходимых условий для выполнения строительных, ремонтно-строительных и пусконаладочных работ, а также их организацией, управлением и обслуживанием.

Перечень статей затрат накладных расходов в строительстве:

) Расходы на оплату труда административно-хозяйственного персонала;

) Сумма уплаты единого социального налога (взноса) в соответствии с законодательством Российской Федерации, исчисляемая от расходов на оплату труда работников административно-хозяйственного персонала;

) Расходы на содержание и эксплуатацию зданий, сооружений, помещений, занимаемых и используемых административно-хозяйственным персоналом

) Расходы на приобретение канцелярских принадлежностей, бланков учета, отчетности и других документов, периодических изданий, необходимых для целей производства и управления им, на приобретение технической литературы, переплетные работы;

) Расходы на проведение всех видов ремонта (отчисления в ремонтный фонд или резерв на ремонт) основных фондов, используемых административно-хозяйственным персоналом;

) Амортизационные отчисления (арендная плата) по основным фондам, предназначенным для обслуживания аппарата управления.

Сумма накладных расходов по строительству многоэтажного гаража составляет: 5 243 619 руб.

В связи со строительством гаражного комплекса у предприятия возникнут новые накладные расходы, связанные с содержанием и обслуживанием данного производства. Накладные расходы - это затраты, не связанные прямо с производством отдельного изделия или вида работы и относимые на весь выпуск продукции. К ним относятся: расходы на содержание, эксплуатацию и текущий ремонт зданий, сооружений и оборудования; отчисления на социальное страхование и другие обязательные платежи; содержание и заработную плату административно-управленческого персонала; расходы, связанные с потерями от брака и простоев и др. Включаются в себестоимость изготовленной продукции, но не прямо, а косвенно, т. е. пропорционально сумме заработной платы, стоимости сырья и материалов и т. д.

В состав накладных расходов входят общепроизводственные и общехозяйственные расходы (таблица 12).

Таблица 12 - Накладные расходы

Наименование статьи затрат

Затраты


на весь гаражный комплекс, руб.

на 1 гараж, руб.

РСЭО

415 854

1 670

Амортизационные отчисления

993 603

3 990

Общехозяйственные расходы, в том числе:

4 901 291

22 720

 зарплата ИТР с отчислениями

4 725 756

22 015

 затраты на охрану труда

173 535

697

 канцелярия

2 000

8,03

Итого:

6 310 748

28 380


Накладные расходы на весь гаражный комплекс составят 6 310 748 руб., накладные расходы на 1 гараж - 28 380 руб.

.4 Трудовые ресурсы

Потребность рабочих определена исходя из стоимости СМР (1,7 млн. руб. в ценах 1984 г.), среднегодовой выработки рабочего (32 437 руб./год) и продолжительности строительства - 13,5 месяцев.

 чел.

Таблица 13 - Удельный вес отдельных категорий работающих

Вид строительства

Удельный вес категории рабочих


Рабочие

ИТР

Служащие

МОП и охрана

Жилищно-гражданское

84,5

11

3,2

1,3


Таблица 14 - Численность работающих по категориям

№ п/п

Наименование

Ед. изм.

Кол-во

1

рабочие 84,5%

чел.

38

2

ИТР 11,0 %

чел.

4

3

служащие 3,2 %

чел.

2

4

МОП и охрана 1,3 %

чел.

2

В соответствии с назначением автостоянки принят следующий режим работы:

количество рабочих дней в году - 365;

количество смен в сутки - 2.

Режим работы. Штатная численность персонала (для сервисного центра)

Режим работы:

пункт автомойки и ТО - 1 смена, 8 часов;

техническая служба гаража - круглосуточно;

служба безопасности гаража - круглосуточно.

Общая численность производственных рабочих определена, исходя из рекомендуемой численности одновременно работающих на одном посту, количества постов, с учетом коэффициента неравномерности загрузки постов и коэффициента использования рабочего времени поста.

Штатная численность сотрудников. Всего - 19 человек, в том числе:

администрация гаражного комплекса (бухгалтер, начальник гаража, менеджер по продажам) - 3 чел.;

работников пункта автомойки и ТО - 9 чел.;

технических работников гаража - 3 чел.;

сотрудников службы безопасности - 3 чел.;

работников торговли - 1 чел.

Таблица 15 - Штатная численность сотрудников сервисного центра

Кат. работников

Всего

Пол

2 чел.

Женщины

12 чел.

Мужчины

5 чел.

Мужчины

Итого:

19 чел.



Для сервисного центра:

Количество дней в году - 365.

в том числе:

рабочих - 232;

выходных и праздничных - 111;

на ремонт оборудования - 22.

Заработная плата каждого из трех членов администрации гаражного комплекса (бухгалтер, начальник гаража, менеджер по продажам) - 20 000 руб.

Заработная плата 1 работника пункта автомойки и ТО - 20 000 руб.

Заработная плата 1 технического работника гаража - 15 000 руб.

Заработная плата 1 сотрудника службы безопасности - 8 000 руб.

Заработная плата 1 работника торговли - 12 000 руб.

Таблица 16 - Расчет годового фонда основной заработной платы руководителей, специалистов, служащих, технических исполнителей

Категория работников

Кол-во

Месячный должностной оклад, руб.

Премия

Сумма на весь гаражный комплекс, руб.

Сумма на 1 гараж, руб.




%

руб.

Основная з/п на 1 работника

Основная з/п на всех работников

Отчисления (Ед. соц. налог, 26%) на всех работников

Осн. з/п на всех работников

Отчисления (Ед. соц. налог, 26%) на всех работников

Администрация гаражного комплекса (бухгалтер, начальник гаража, менеджер по продажам)

3

20000

5

1000

252000

756000

196560

3036

789

Технический работник гараж

3

15000

15

2250

207000

621000

161460

2494

648

Сотрудник службы безопасности

3

8000

15

1200

110400

331200

86112

1330

346

Работник торговли

1

12000

10

1200

158400

158400

41184

636

165

Работник пункта автомойки и ТО

9

20000

15

3000

276000

2484000

645840

9976

2594

Итого

19

-

-

7650

751800

3594600

934596

14436,14458

3753,39759


.5 Планирование сроков осуществления проекта

План реализации проекта состоит из 3-х основных этапов (рисунок 14).

Рисунок 14 - Этапы реализации проекта

На первом этапе выполняются следующие работы:

подготовительные работы;

подготовка технико-экономического обоснования;

получение финансирования.

На втором этапе выполняются следующие работы:

строительно-монтажные работы (СМР) по строительству здания, по устройству фундаментов, площадок, кабельных каналов, трубопроводов и другие СМР (подготовка к монтажу оборудования);

СМР по устройству сетей (электрических, водопроводных, тепловых, канализационных и др.);

строительные работы по ограждению промзоны, устройству автодорог, благоустройству территории.

На третьем этапе выполняются следующие работы:

реализация гаражей;

процесс технического обслуживания.

Строительно-монтажные работы будут происходить с 01.10.2009 г. по 15.11.2010 г. Реализация гаражей будет завершена в 2012 году.

.6 Определение финансово-экономических показателей проекта

) Калькуляция издержек производства и сбыта продукции

Определяем:

производственную себестоимость;

полную себестоимость;

постоянные затраты;

переменные затраты;

маржинальную и чистую прибыль.

Таблица 17 - Расчет себестоимости и прибыли

Наименование показателей

на весь гаражный комплекс

на 1 гараж

Выпуск (шт.)

249

1

Цена реализации (руб./шт.)

440 562,25

440 562,25

Выручка от реализации (руб.)

109 700 000,00

440 562,25

Стоимость сырья (руб.)

50 350 975,00

202 212,75

Стоимость материалов (руб.)

2 517 548,75

10 110,64

Транспортно-заготовительные расходы (руб.)

148 979,00

598,31

Энергия на технологические цели (руб.)

1 245 907,59

5 003,64

Основная заработная плата производственных рабочих (руб.)

9 621 103,00

38 638,97

Дополнительная заработная плата производственных рабочих (руб.)

400 879,29

1 609,96

Отчисления от зарплаты (руб.)

2 605 715,40

10 464,72

РСЭО (руб.)

84 509,50

339,40

Амортизация (руб.)

993 602,90

3 990,37

Общехозяйственные расходы (руб.)

4 901 290,54

22 720,04

Производственная себестоимость (руб.)

72 870 510,96

295 688,80

Коммерческие расходы (руб.)

364 352,55

1 478,44

Полная себестоимость (руб.)

73 234 863,52

297 167,24

Прибыль от производственной себестоимости (руб.)

36 829 489,04

144 873,45

Рентабельность от производственной себестоимости (%)

50,54

49,00

Прибыль от полной себестоимости (руб.)

36 465 136,48

143 395,01

Рентабельность от полной себестоимости (%)

49,79

48,25

Затраты на 1 руб. от производственной себестоимости (коп)

Затраты на 1 руб. от полной себестоимости (коп)

0,67


Рентабельность от производственной себестоимости и от полной себестоимости соответственно равны 50,54 % и 49,79 %. Это значит, что с каждого рубля производственной и полной себестоимости мы получаем 0,51 и 0,50 рублей прибыли соответственно.

Затраты на 1 рубль от производственной и полной себестоимости означают, что в каждый рубль цены реализации входит 0,67 и 0,67 рублей производственной и полной себестоимости соответственно.

Данные показатели говорят о положительной тенденции в развитии предприятия.

Таблица 18 - Структура постоянных и переменных затрат

Наименование статьи затрат

Затраты, тыс. руб.

Структура затрат, %


на весь гаражный комплекс, руб.

на 1 гараж, руб.


Сырьё

50 350 975

202 213

68,05

Вспомогательные материалы

2 517 549

10 111

3,40

Энергия на технологические цели

1 245 908

5 004

1,68

Коммерческие расходы

364 353

1 478

0,50

Итого переменные расходы

54 478 784

218 805

73,63

Заработная плата осн. производственных рабочих

10 021 982

40 249

13,54

Отчисления от заработной платы основных рабочих 26 %

2 605 715

10 465

3,52

РСЭО (руб.)

84 510

339

0,11

Амортизационные отчисления

993 603

3 990

1,34

Транспортно-заготовительные расходы

148 979

598

0,20

Общехозяйственные расходы

4 901 291

22 720

7,65

Итого постоянные расходы

18 756 080

78 362

26,37

Итого

73 234 864

297 167

100,00

Суммарные затраты на весь гаражный комплекс составят 73 234 864 руб. Суммарные затраты на один гараж составят 297 167 руб.

Больший удельный вес в структуре затрат занимают переменные расходы. Они составляют более 50 % всех затрат и равны 73,63 % (переменные расходы на весь гаражный комплекс - 54 478 784 руб., на 1 гараж - 218 805 руб.). Это означает, что есть возможность продать только фиксированное количество гаражей, а прибыль увеличивать только за счет автосервиса. Постоянные расходы составляют 26,37 % всех затрат (постоянные расходы на весь гаражный комплекс - 18 756 080 руб., на 1 гараж - 78 362 руб.).

Таблица 19 - Расчет маржинальной прибыли

Наименование показателей

Ед. измер.

Расчет



на весь гаражный комплекс, руб.

на 1 гараж, руб.





Выручка

руб.

109 700 000

440 562

 Затраты на сырьё

руб.

50 350 975

202 213

 Затраты на материалы

руб.

2 517 549

10 111

 Затраты на энергетику

руб.

1 245 908

5 004

 Транспортно-заготовительные расходы

руб.

148 979

598

 Коммерческие затраты

руб.

364 353

1 478

Итого переменные затраты

руб.

54 627 763

219 404

Маржинальная прибыль

руб.

55 072 237

221 158

Объем выпуска

шт.

249

1

Маржинальная прибыль на 1 гараж

руб.

221 174

221 158


Маржинальная прибыль на 1 гараж составляет 221 174 руб., на весь гаражный комплекс - 55 072 237 руб. Маржинальной прибыли в точки безубыточности в точности хватит на покрытие постоянных затрат. Еще маржинальную прибыль называют суммой покрытия.

Таблица 20 - Расчет чистой прибыли

Наименование показателей

Ед. измер.

Расчет



на весь гаражный комплекс, руб.

на 1 гараж, руб.

Выручка от реализации

т. руб.

109 700,000

440,562

Полная себестоимость

т. руб.

73 234,864

297,167

Прибыль от реализации

т. руб.

36 465,136

143,395

Налог на прибыль

т. руб.

8 751,633

34,415

Чистая прибыль

т. руб.

27 713,504

108,980

Рентабельность производства (%)


25,26

24,74


Чистая прибыль от всего гаражного комплекса составит 27 713 504 руб., от 1 гаража - 108 980 руб.

Рентабельность производства составит 25,26 %, это значит, что от каждого рубля выручки мы получим 25 коп. чистой прибыли. Данный показатель говорит о благоприятном развитии предприятия.

Таким образом, для строительства гаражного комплекса необходимо будет произвести следующие затраты, которые составят структуру себестоимости гаражного комплекса (таблица 21).

Таблица 21 - Структура себестоимости

Наименование статей

на весь гаражный комплекс

на 1 гараж


руб.

%

руб.

%

Сырьё и материалы для работ

52 868 524

72,19

212 323

71,45

Транспортно-заготовительные расходы

148 979

0,20

598

0,20

Энергия на технологические цели

1 245 908

1,70

5 004

1,68

Зарплата осн. производственных рабочих с отчислениями

12 627 698

17,24

50 714

17,07

РСЭО

84 510

0,12

339

0,11

Амортизация

993 603

1,36

3 990

1,34

Общехозяйственные расходы

4 901 291

6,69

22 720

7,65

Коммерческие расходы

364 353

0,50

1 478

0,50

Полная себестоимость

73 234 864

100,00

297 167

100,00

Переменные расходы

54 478 784

74,39

218 805

73,63

Постоянные расходы

18 756 080

25,61

78 362

26,37

Полная себестоимость

73 234 864

100,00

297 167

100,00


Наибольший удельный вес в структуре себестоимости занимают сырье и материалы для работ - 72,19 % и зарплата основных производственных рабочих с отчислениями - 17,24 %. Наименьший удельный вес занимают: транспортно-заготовительные расходы - 0,2%; РСЭО - 0,12%; коммерческие расходы - 0,5%.

Результаты работы по строительству гаражного комплекса представлены в таблице 22.

Таблица 22 - Основные показатели производственно-хозяйственной деятельности

Наименование показателей производственно-хозяйственной деятельности

Ед. измер.

Расчет



на весь гаражный комплекс

на 1 гараж

1. Выпуск

шт.

249

1

2. Выручка от реализации

тыс. руб.

109 700,000

440,562

3. Себестоимость производственная

тыс. руб.

72 870,511

295,689

4. Себестоимость полная

тыс. руб.

73 234,864

297,167

5. Оптовая цена

тыс. руб.

440,562

6. Цена отпускная (с НДС 18%)

тыс. руб.

519,863

7. Затраты на охрану труда

тыс. руб.

173,535

0,697

8. Маржинальная прибыль на 1 гараж

тыс. руб.

221,174

9. Выручка в точке безубыточности

тыс. руб.

37 262,540

10. Объем реализации в точке безубыточности

шт.

85

11. Рентабельность от производственной себестоимости

%

50,54

12. Рентабельность от полной себестоимости

%

49,79

13. Рентабельность производства

%

25,26

14. Удельный вес переменных затрат в полной себестоимости

%

73,63

15. Удельный вес постоянных затрат в полной себестоимости

%

26,37

16. Чистый доход

тыс. руб.

28 707,107

112,971

 в т.ч. амортизация

тыс. руб.

993,603

3,990

 чистая прибыль

тыс. руб.

27 713,504

108,980

17. Среднесписочная численность

чел.

19

18. Чистый доход на 1 человека

тыс. руб.

1 511

19. Объём выручки от реализации на 1 чел.

тыс. руб.

5 774

20. Материалоёмкость (коэффициент)


0,48

21. Энергоёмкость (коэффициент)


0,01


Объем реализации в точке безубыточности равен 85 гаражам. Это значит, чтобы предприятие не было в убытке ему необходимо продать более 85 гаражей.

Чистая прибыль предприятия составит 108 980 рублей с реализации одного гаража.

Коэффициент материалоемкости составляет 0,48, что означает, что каждый рубль выручки содержит в себе 0,48 рубля затрат на материалы и сырье, необходимые для строительства гаражного комплекса. Это говорит о том, что строительство гаражного комплекса является материалоемким.

Далее в работе предлагается провести оценку проекта по двум сценариям развития проекта: оптимистическому и пессимистическому. Разница между ними заключается в исходных данных.

Рассчитаем издержки на 4 года реализации проекта.

Далее представлен расчет прямых издержек и общих издержек.

Таблица 23 - Продажи и прямые издержки (пессимистический план)

Годы

2009

2010

2011

2012

Объем продаж парковочных мест, шт.

21

70

80

28

Арендуемые парковочные места, шт.



78

50

Доход от реализации с НДС (за единицу продукции)





 продажа парковочных мест

519 863

519 863

519 863

519 863

 сдача в аренду



7 440 000,00

6 600 000,00

Стоимость материалов (за ед. продукции)

250 542

263 069

0

0


Объем проданных гаражей в 2009 году равен 21 единице, так как в этот год на нулевом этапе строительства 21 человек пожелали приобрести гараж. Уже в 2010 году будет продано еще 70 гаражей. В 2011 году будет продано 80 гаражей, а оставшиеся 78 будут сданы в аренду. В 2012 году будет продано еще 28 гаражей, а оставшиеся непроданными 50 гаражей будут сданы в аренду.

Таблица 24 - Продажи и прямые издержки (оптимистический план)

Годы

2009

2010

2011

2012

Объем продаж парковочных мест, шт.

21

90

100

38

Арендуемые парковочные места, шт.



38


Доход от реализации с НДС (за единицу продукции)





 продажа парковочных мест

519 863

519 863

519 863

519 863

 сдача в аренду

5 100 000,00

Стоимость материалов (за ед. продукции)

250 542

263 069

0

0


Объем проданных гаражей в 2009 году равен 21 единице. Уже в 2010 году будет продано еще 90 гаражей. В 2011 году будет продано 100 гаражей, а оставшиеся 38 будут сданы в аренду. В 2012 году будут проданы оставшиеся 38 гаражей.

Стоимость сырья и материалов имеет темп роста 5% годовых.

Таблица 25 - Общие издержки

Годы

2009

2010

2011

2012

Производственные издержки, руб.





 транспортно-заготовительные расходы

148 979

153 448

0

0

 энергоресурсы

105 077

472 844

0

0

 РЭСО

84 510

84 510

0

0

 брак

22 294

100 323

0

0

Административные издержки, руб.





 затраты на охрану труда

76 861

174 739

51 855

55 485

 канцтовары

2 000

2 060

2 122

2 185

Маркетинговые издержки, руб.





 коммерческие расходы

67 891

197 600

31 165

32 999

Суммарные издержки, руб.





 производственные издержки

360 859

811 125

0

0

 административные и офисные издержки

78 861

176 799

53 977

57 670

 маркетинговые издержки

67 891

197 600

31 165

32 999

ИТОГО

507 611

1 185 525

85 142

90 669


Темп роста на энергию на технологические цели составляет 5%. Брак, потери при производстве составляют 0,5 % от стоимости сырья и материалов. Затраты на охрану труда составляют 1 % от заработной платы производственных рабочих и административного персонала. В свою очередь темп роста заработной платы составляет 7 % в год. Темп роста затрат на канцтовары составляет 3 %. Коммерческие расходы составляют 0,5 % от всех затрат на обслуживание техники.

Расчет затрат на персонал на 4 года представлен в таблице 26.

Таблица 26 - Затраты на персонал

Годы


2009

2010

2011

2012

Производственный персонал, руб.

Кол-во





 рабочие для строительства

46

54 467

217 869

0

0

Административный персонал

Кол-во





 администрация гаражного комплекса (бухгалтер, начальник гаража, менеджер по продажам)

3

63 000

252 000

277 200

304 920

 технический работник гаража

3

0

0

207 000

227 700

 сотрудник службы безопасности

3

0

0

110 400

121 440

 работник торговли

1

0

0

158 400

174 240

 работник пункта автомойки и ТО

9

0

0

276 000

303 600

Суммарные затраты на персонал, руб.






 производственный персонал


2 505 496

10 021 982

0

0

 административный персонал


189 000

756 000

4 426 200

4 868 820

ИТОГО


2 694 496

10 777 982

4 426 200

4 868 820


В 2009-2010 г. г. присутствуют затраты на производственный персонал, так как 2009-2010 г. г. - годы строительства гаражного комплекса.

Постоянные и переменные расходы, связанные с функционированием гаражного комплекса, а также их темпы роста представлены в таблице 27

Таблица 27 - Расходы предприятия

Структура затрат


2009

2010

2011

2012

Постоянные расходы, руб/год

темп роста





Транспортно-заготовительные расходы (руб.)

3 %

148 979

153 448

-

-

Зарплата производственных рабочих (руб.)

7 %

2 505 496

10 021 982

-

-

Отчисления от зарплаты основных рабочих (руб.)


651 429

2 605 715

-

-

РСЭО (руб.)


84 510

84 510


-

Амортизация (руб.)


993 603

993 603

993 603

993 603

Зарплата вспомогательного персонала (руб.)

7 %

3 594 600

3 846 222

4 115 458

4 403 540

Отчисления от адм. и вспомогательного персонала (руб.)


934 596

1 000 018

1 070 019

1 144 920

Затраты на Охрану труда (руб.)


76 861

174 739

51 855

55 485

Канцелярия (руб.)

3 %

2 000

2 060

2 122

2 185

Итого


8 992 073

18 882 298

6 233 056

6 599 733

Переменные расходы на 1 гараж, руб.

темп роста





Стоимость сырья (руб.)

5 %

202213

212 323

-

-

Стоимость материалов (руб.)

5 %

10111

10 616

-

-

Брак, потери при производстве (руб.)

0,5 %

1 062

1 115

-

-

Энергия на технологические цели (руб.)

5 %

5 004

5 254

-

-

Коммерческие расходы (руб.)

0,5 %

3 233

2 196

312

868

Итого


221 622

231 504

312

868


Показатели деятельности гаражного комплекса за 4 года функционирования представлены в таблицах 28, 29.

Таблица 28 - Показатели деятельности предприятия (пессимистический план)

Наименование показателей

2009

2010

2011

2012

Выпуск (шт)

21

70

80

28

Цена реализации (руб./шт)

440 562

440 562

440 562

440 562

Выручка от реализации (руб.)

9 251 807

30 839 357

42 684 980

18 935 743

Стоимость сырья (руб.)

4 246 468

14 862 637

-

-

Стоимость материалов (руб.)

212 323

743 132

-

-

Брак, потери при производстве (руб.)

22 294

78 029

-

-

Энергия на технологические цели (руб.)

105 077

367 768

-

-

Транспортно-заготовительные расходы (руб.)

148 979

153 448

-

-

Зарплата производственных рабочих (руб.)

2 505 496

10 021 982

-

-

Отчисления от зарплаты основных рабочих (руб.)

651 429

2 605 715

-

-

РСЭО (руб.)

84 510

84 510

-

-

Амортизация (руб.)

993 603

993 603

993 603

993 603

Общехозяйственные расходы (руб.)

4 608 057

5 023 039

5 239 453

5 606 130

Производственная себестоимость (руб.)

13 578 235

34 933 863

6 233 056

6 599 733

Коммерческие расходы (руб.)

67 891

174 669

31 165

32 999

Полная себестоимость (руб.)

13 646 126

35 108 533

6 264 221

6 632 731

Прибыль от производственной себестоимости (руб.)

-4 326 427

-4 094 506

36 451 924

12 336 010

Рентабельность от производственной себестоимости (%)

-32 %

-12 %

585 %

187 %

Прибыль от полной себестоимости (руб.)

-4 394 319

-4 269 175

36 420 759

12 303 012

Рентабельность от полной себестоимости (%)

-32 %

-12 %

581 %

185 %

Затраты на 1 руб. от производственной себестоимости (коп)

1,47

1,13

0,15

0,35

Затраты на 1 руб. от полной себестоимости (коп)

1,14

0,15

0,35


Таблица 29 - Показатели деятельности предприятия (оптимистический план)

Наименование показателей

2009

2010

2011

2012

Выпуск (шт)

21

90

100

38

Цена реализации (руб./шт)

440 562

440 562

440 562

440 562

Выручка от реализации (руб.)

9 251 807

39 650 602

50 296 225

21 841 365

Стоимость сырья (руб.)

4 246 468

19 109 105

-

-

Стоимость материалов (руб.)

212 323

955 455

-

-

Брак, потери при производстве (руб.)

22 294

100 323

-

-

Энергия на технологические цели (руб.)

105 077

472 844

-

-

Транспортно-заготовительные расходы (руб.)

148 979

153 448

-

-

Зарплата производственных рабочих (руб.)

2 505 496

10 021 982

-

-

Отчисления от зарплаты основных рабочих (руб.)

651 429

2 605 715

-

-

РСЭО (руб.)

84 510

84 510

-

-

Амортизация (руб.)

993 603

993 603

993 603

993 603

Общехозяйственные расходы (руб.)

4 608 057

5 023 039

5 239 453

5 606 130

Производственная себестоимость (руб.)

13 578 235

39 520 025

6 233 056

6 599 733

Коммерческие расходы (руб.)

67 891

197 600

31 165

32 999

Полная себестоимость (руб.)

13 646 126

39 717 625

6 264 221

6 632 731

Прибыль от производственной себестоимости (руб.)

-4 326 427

130 577

44 063 169

15 241 633

Рентабельность от производственной себестоимости (%)

-32 %

0 %

707 %

231 %

Прибыль от полной себестоимости (руб.)

-4 394 319

-67 023

44 032 004

15 208 634

Рентабельность от полной себестоимости (%)

-32 %

0 %

703 %

229 %

Затраты на 1 руб. от производственной себестоимости (коп)

1,47

1,00

0,12

0,30

Затраты на 1 руб. от полной себестоимости (коп)

1,47

1,00

0,12

0,30


Прибыль с каждым годом будет увеличиваться, что благоприятно скажется на функционировании гаражного комплекса.

Рентабельность от производственной себестоимости и рентабельность от полной себестоимости с каждым годом будет расти, это означает что темпы роста прибыли (от производственной себестоимости и от полной себестоимости) больше темпа роста полной себестоимости. С каждого рубля производственной и полной себестоимости мы с каждым годом будем получать все большую прибыль. Это является положительной тенденцией в развитии предприятия.

Затраты на 1 рубль производственной и полной себестоимости с каждым годом будут уменьшаться, это свидетельствует о том, что в каждый рубль цены реализации входит все меньшее количество рублей производственной и полной себестоимости. Это является положительной тенденцией в работе предприятия.

Расчет маржинальной прибыли представлен в таблицах 30, 31.

Таблица 30 - Расчет маржинальной прибыли (пессимистический план)

Наименование показателей

Ед. измер.

2009

2010

2011

2012

Выручка

руб.

9 251 807

30 839 357

42 684 980

18 935 743

Переменные затраты

руб.

4 654 053

16 226 235

31 165

32 999

Маржинальная прибыль

руб.

4 597 754

14 613 122

42 653 815

18 902 744

Объем выпуска

шт.

21

70

80

28

Маржинальная прибыль на 1 гараж

руб.

218 941

208 759

533 173

675 098


Таблица 31 - Расчет маржинальной прибыли (оптимистический план)

Наименование показателей

Ед. измер.

2009

2010

2011

2012

Выручка

руб.

9 251 807

39 650 602

50 296 225

21 841 365

Переменные затраты

руб.

4 654 053

20 835 328

31 165

32 999

Маржинальная прибыль

руб.

4 597 754

18 815 275

50 265 060

21 808 367

Объем выпуска

шт.

21

90

100

38

Маржинальная прибыль на 1 гараж

руб.

218 941

209 059

502 651

573 904


Ежегодный рост маржинальной прибыли положительно сказывается на деятельности предприятия. Ожидаемые темпы роста выручки будут больше темпов роста переменных затрат. Так как маржинальной прибыли в точке безубыточности хватает для покрытия постоянных затрат, объем реализации гаражей будет стабилен в течение четырех лет, следовательно работа гаражного комплекса с каждым годом будет менее рискованной.

Строительство гаражного комплекса будет вестись за счет собственных средств предприятия.

Но, на момент начала осуществления проекта у предприятия существует задолженность в сумме 30 000 тыс. рублей. Данный долг будет выплачиваться в течение восьми лет равными долями по 3 750 тыс. рублей (таблица 32). Процент по кредиту составляет 13% годовых.

Таблица 32 - Выплата кредита


руб.

2009

2010

2011

2012

Непогашенная сумма кредита

30 000 000

26 250 000

22 500 000

18 750 000

15 000 000

Выплата основного долга


3 750 000

3 750 000

3 750 000

3 750 000

Годовая процентная ставка

13,0 %

13,0 %

13,0 %

13,0 %

13,0 %

Сумма по процентам


3 412 500

2 925 000

2 437 500

1 950 000

Итого Сумма по процентам


3 412 500

2 925 000

2 437 500

1 950 000

Итого Выплата основного долга


3 750 000

3 750 000

3 750 000

3 750 000

Итого Непогашенная сумма по кредитам


26 250 000

22 500 000

18 750 000

15 000 000


Ежегодно предприятие будет уплачивать налоговые платежи в государственный бюджет.

Таблица 33 - Налоги

Налоги

%

Налог на прибыль

20,0 %

Налог на добавленную стоимость

18,0 %

Налог на имущество (в год)

2,2 %

Социальные отчисления с зарплаты

26,0 %


Таблица 34 - Расчеты с бюджетом (пессимистический план)

Доходы бюджета

2009

2010

2011

2012

Налог на прибыль

 

 

6 502 719

1 766 227

Налог на добавленную стоимость

 

270 354

7 361 138

3 567 699

Налог на имущество

 

348 465

334 938

321 411

Социальные отчисления с зарплаты

700 569

2 802 275

1 150 812

1 265 893

Суммарные налоговые поступления

700 569

3 421 094

15 349 607

6 921 230

Дисконтированные налоговые поступления

625 508

2 727 276

10 925 548

4 398 568


Ставка дисконтирования доходов бюджета составляет 12%. Суммарный дисконтированный доход бюджета за рассматриваемый период составит 18 676 900 рублей.

Таблица 35 - Расчеты с бюджетом (оптимистический план)

Доходы бюджета

2009

2010

2011

2012

Налог на прибыль

 

222 554

8 061 578

2 393 114

Налог на добавленную стоимость

 

960 008

9 407 711

4 201 795

Налог на имущество

 

348 465

334 938

321 411

Социальные отчисления с зарплаты

700 569

2 802 275

1 150 812

1 265 893

Суммарные налоговые поступления

700 569

4 333 303

18 955 039

8 182 213

Дисконтированные налоговые поступления

625 508

3 454 483

13 491 824

5 199 946


Ставка дисконтирования доходов бюджета составляет 12%. Суммарный дисконтированный доход бюджета за рассматриваемый период составит 22 771 760 рублей.

Таблица 36 - Продажи парковочных мест (пессимистический план)


2009

2010

2011

2012

Кол-во проданных парковочных мест, шт.

21

70

80

28

Затраты на материалы (с учетом НДС), руб.

5 261 374

18 414 807

 

 

Продажи (с учетом НДС), руб.

10 917 133

36 390 442

49 029 076

21 156 177

Списание материалов (с учетом НДС), руб.

18 414 807

 

 


Таблица 37 - Суммарные показатели (пессимистический план)

Доходы и расходы по продажам

Доходы, руб.

Прям. изд., руб.

Продажи парковочных мест

117 492 827

23 676 181

ИТОГО

117 492 827

23 676 181


За первые четыре года работы гаражного комплекса по пессимистическому плану предполагается получить суммарный доход в размере 117 492 827 руб., суммарные прямые издержки за четыре года составят 23 676 181 руб.

Таблица 38 - Продажи парковочных мест (оптимистический план)


2009

2010

2011

2012

Кол-во проданных парковочных мест, шт.

21

90

100

38

Затраты на материалы (с учетом НДС), руб.

5 261 374

23 676 181

 

 

Продажи (с учетом НДС), руб.

10 917 133

46 787 711

58 226 345

24 854 811

Списание материалов (с учетом НДС), руб.

5 261 374

23 676 181

 

 


Таблица 39 - Суммарные показатели (оптимистический план)

Доходы и расходы по продажам

Доходы, руб.

Прям. изд., руб.

Продажи парковочных мест

140 786 000

28 937 555

ИТОГО

140 786 000

28 937 555


За первые четыре года работы гаражного комплекса по оптимистическому плану предполагается получить суммарный доход в размере 140 786 000 руб., суммарные прямые издержки за четыре года составят 28 937 555 руб.

Таблица 40 - Отчет о прибылях и убытках (пессимистический план)

ОТЧЕТ О ПРИБЫЛЯХ И УБЫТКАХ

2009

2010

2011

2012

Выручка (без НДС)

9 251 807

30 839 357

41 550 065

17 928 963

Себестоимость продукции

4 458 791

15 605 769

 

 

 материалы, комплектующие, товары

4 458 791

15 605 769

 

 

ВАЛОВАЯ ПРИБЫЛЬ

4 793 016

15 233 588

41 550 065

17 928 963

Налог на имущество

 

348 465

334 938

321 411

Зарплата

3 395 064

13 580 258

5 577 012

6 134 713

 производственный персонал

2 505 496

10 021 982

 

 

 административный персонал

189 000

756 000

4 426 200

4 868 820

 соц. начисления

700 569

2 802 275

1 150 812

1 265 893

Общие издержки:

430 179

877 308

72 154

76 838

 производственные издержки

305 813

579 453

 

 

 административные и офисные издержки

66 832

149 830

45 743

48 873

 маркетинговые издержки

57 535

148 025

26 411

27 965

ОПЕРАЦИОННАЯ ПРИБЫЛЬ

967 773

427 558

35 565 961

11 396 002

Амортизация

 

614 867

614 867

614 867

 здания и сооружения

 

118 066

118 066

118 066

 оборудование

 

496 801

496 801

496 801

Проценты по кредитам

3 412 500

2 925 000

2 437 500

1 950 000

ПРИБЫЛЬ ДО НАЛОГООБЛОЖЕНИЯ

-2 444 727

-3 112 309

32 513 594

8 831 134

Налог на прибыль

 

 

6 502 719

1 766 227

ЧИСТАЯ ПРИБЫЛЬ

-2 444 727

-3 112 309

26 010 875

7 064 908

Таблица 41 - Отчет о прибылях и убытках (оптимистический план)

ОТЧЕТ О ПРИБЫЛЯХ И УБЫТКАХ

2009

2010

2011

2012

Выручка (без НДС)

9 251 807

39 650 602

49 344 360

21 063 399

Себестоимость продукции

4 458 791

20 064 560

 

 

 материалы, комплектующие, товары

4 458 791

20 064 560

 

 

ВАЛОВАЯ ПРИБЫЛЬ

4 793 016

19 586 042

49 344 360

21 063 399

Налог на имущество

 

348 465

334 938

321 411

Зарплата

3 395 064

13 580 258

5 577 012

6 134 713

 производственный персонал

2 505 496

10 021 982

 

 

 административный персонал

189 000

756 000

4 426 200

4 868 820

 соц. начисления

700 569

2 802 275

1 150 812

1 265 893

Общие издержки:

430 179

1 004 682

72 154

76 838

 производственные издержки

305 813

687 394

 

 

 административные и офисные издержки

66 832

149 830

45 743

48 873

 маркетинговые издержки

57 535

167 458

26 411

27 965

ОПЕРАЦИОННАЯ ПРИБЫЛЬ

967 773

4 652 638

43 360 257

14 530 438

Амортизация

 

614 867

614 867

614 867

 здания и сооружения

 

118 066

118 066

118 066

 оборудование

 

496 801

496 801

496 801

Проценты по кредитам

3 412 500

2 925 000

2 437 500

1 950 000

ПРИБЫЛЬ ДО НАЛОГООБЛОЖЕНИЯ

-2 444 727

1 112 771

40 307 890

11 965 571

Налог на прибыль

 

222 554

8 061 578

2 393 114

ЧИСТАЯ ПРИБЫЛЬ

-2 444 727

890 217

32 246 312

9 572 456


Отчет о прибылях и убытках отражает операционную деятельность фирмы на протяжении жизни инвестиционного проекта.

Как видно из таблиц 42, 43 все виды прибыли с каждым годом имеют тенденцию к росту. Что говорит о стабильном и уверенном развитии предприятия (рисунок 15, 16).

Рисунок 15 - Операционная деятельность (пессимистический план)

Рисунок 16 - Операционная деятельность (оптимистический план)

В 2009 году валовая прибыль положительна, несмотря на то, что это год начала строительства. Причина тому продажа двух десятков гаражей на нулевом этапе строительства. В 2010 году показатели не только валовой, но и чистой прибыли оказываются положительными, в связи с продажей еще большего количества гаражей. Это свидетельствует о благоприятном развитии предприятия. В 2011 году показатели всех видов прибыли достигают максимального значения в связи с наибольшими продажами гаражей и началом эксплуатации автосервиса. В 2012 году происходит спад показателей прибыли и выход ее на более стабильные значения. Это свидетельствует об окончании продажи гаражей и стабильной работе автосервиса.

Баланс отражает финансовое состояние предприятия на конец рассчитанного периода времени (таблица 42).

Таблица 42 - Баланс

БАЛАНС

2009

2010

2011

2012

Денежные средства

18 592 801

7 197 538

33 008 186

41 802 256

Дебиторы

461 400 984

463 934 217

464 742 030

462 385 283

Запасы

1 672 047

 

 

 

Прочие оборотные активы

43 315 026

41 913 879

42 598 000

42 598 000

Суммарные оборотные активы

524 980 857

513 045 635

540 348 216

546 785 540

Основные средства

 

15 839 310

15 224 443

14 609 576

 здания и сооружения

 

5 903 281

5 785 216

5 667 150

 оборудование

 

9 936 029

9 439 228

8 942 426

Незавершенное строительство

5 903 281

 

 

 

Прочие активы

3 552 000

3 552 000

3 552 000

3 552 000

Суммарные внеоборотные активы

9 455 281

19 391 310

18 776 443

18 161 576

ИТОГО АКТИВОВ

534 436 138

532 436 945

559 124 659

564 947 116

Кредиторская задолженность

596 722 866

597 928 597

596 120 000

Текущая часть кредитов

3 750 000

3 750 000

3 750 000

 

Суммарные краткосрочные обязательства

600 472 866

601 678 597

599 870 000

596 120 000

Долгосрочные обязательства

22 500 000

18 750 000

15 000 000

15 000 000

Уставной капитал

43 215 000

43 215 000

43 215 000

43 215 000

Нераспределенная прибыль (убыток)

2 839 273

3 729 489

35 975 801

45 548 257

Суммарный капитал

46 054 273

46 944 489

79 190 801

88 763 257

ИТОГО ОБЯЗАТЕЛЬСТВА И КАПИТАЛ

669 027 138

667 373 086

694 060 801

699 883 257


Ожидается, что денежные средства на счетах предприятия будут ежегодно увеличиваться, так же ожидается рост дебиторской задолженности. В результате проведенного анализа предполагается ежегодное снижение стоимости основных средств. Также ожидается увеличение кредиторской задолженности, нераспределенной прибыли и суммарного капитала и уменьшение текущей части кредитов и долгосрочных обязательств. Изменение данных показателей положительно скажется на деятельности предприятия.

Денежные потоки для финансового планирования

Таблица 43 - Таблица денежных потоков (пессимистический план)

ДВИЖЕНИЕ ДЕНЕЖНЫХ СРЕДСТВ

2009

2010

2011

2012

Поступления от продаж

10 007 371

34 267 666

47 975 857

23 478 918

Затраты на материалы и комплектующие

6 229 612

16 039 882

1 406 687

 

Постоянные издержки

507 611

1 035 223

85 142

90 669

Зарплата и социальные взносы

3 395 064

13 580 258

5 577 012

6 134 713

Налоги

 

618 819

14 198 795

5 655 337

Кэш-фло от операционной деятельности

-124 917

2 993 484

26 708 222

11 598 200

Приобретение основных средств

1 062 591

11 724 514

 

 

Строительство

5 903 281

 

 

 

Кэш-фло от инвестиционной деятельности

-6 965 872

-11 724 514

 

 

Возврат займов

3 750 000

3 750 000

3 750 000

3 750 000

Расходы по процентам

3 412 500

2 925 000

2 437 500

1 950 000

Кэш-фло от финансовой деятельности

-7 162 500

-6 675 000

-6 187 500

-5 700 000

СУММАРНЫЙ ДЕНЕЖНЫЙ ПОТОК

-14 253 289

-15 406 030

20 520 722

5 898 200

Денежные средства на начало периода

33 248 000

18 994 711

3 588 681

24 109 403

Денежные средства на конец периода

18 994 711

3 588 681

24 109 403

30 007 602


Таблица 44 - Таблица денежных потоков (оптимистический план)

ДВИЖЕНИЕ ДЕНЕЖНЫХ СРЕДСТВ

2009

2010

2011

2012

Поступления от продаж

10 007 371

43 798 496

57 273 126

27 635 772

Затраты на материалы и комплектующие

6 631 523

20 497 435

1 808 597

 

Постоянные издержки

507 611

1 185 525

85 142

90 669

Зарплата и социальные взносы

3 395 064

13 580 258

5 577 012

6 134 713

Налоги

 

1 531 027

17 804 227

6 916 320

Кэш-фло от операционной деятельности

-526 827

7 004 252

31 998 148

14 494 070

Приобретение основных средств

1 062 591

11 724 514

 

 

Строительство

5 903 281

 

 

 

Кэш-фло от инвестиционной деятельности

-6 965 872

-11 724 514

 

 

Возврат займов

3 750 000

3 750 000

3 750 000

3 750 000

Расходы по процентам

3 412 500

2 925 000

2 437 500

1 950 000

Кэш-фло от финансовой деятельности

-7 162 500

-6 675 000

-6 187 500

-5 700 000

СУММАРНЫЙ ДЕНЕЖНЫЙ ПОТОК

-14 655 199

-11 395 262

25 810 648

8 794 070

Денежные средства на начало периода

33 248 000

18 592 801

7 197 538

33 008 186

Денежные средства на конец периода

18 592 801

7 197 538

33 008 186

41 802 256


Отчет о движении денежных средств позволяет корректно определить потребность в денежных средствах в каждый конкретный период времени.

В первые два года реализации проекта (в 2009 и 2010 годах) суммарный денежный поток будет иметь отрицательное значение, так как предприятие будет строить гаражный комплекс в 2009-2010 г.г. В последующие периоды реализации проекта планируется положительное значение суммарного денежного потока, так как гаражи будут проданы, автосервис будет работать на полную мощность и расходы будут связаны с обслуживанием комплекса и выплатой кредита.

В 2009 году предприятие имеет тенденцию к расширению (строительство гаражного комплекса) за счет привлечения дополнительных заемных источников. Возникают некоторые проблемы, связанные с расширением производства. В последующие годы предприятие использует полученные от основной деятельности средства для выплаты процентов по задолженности и инвестирует в собственный бизнес.

Денежные средства на счету предприятия, как на начало, так и на конец периода имеют положительное значение на всех шагах расчета. Это подтверждает осуществимость проекта и стабильное развитие предприятия.

Модель дисконтированных денежных потоков

Ставка дисконтирования - 12 %

Норма дисконта - Е=0,12

Таблица 45 - Модель дисконтированных денежных потоков (пессимистический план)

Годы

2009

2010

2011

2012

Кэш-фло от операционной деятельности

-124 917

2 993 484

26 708 222

11 598 200

Кэш-фло от инвестиционной деятельности

-6 965 872

-11 724 514

 

 

Расходы по процентам

3 412 500

2 925 000

2 437 500

1 950 000

Чистый денежный поток (ЧДП)

-10 503 289

-11 656 030

24 270 722

9 648 200

ЧДП нарастающим итогом

-10 503 289

-22 159 319

2 111 403

11 759 603

Дисконтированный ЧДП

-9377937

-9292117

17275423

6131606

График окупаемости (аккумулированный ДЧДП)

-9377937

-18670054

-1394631

4736975


Таблица 46 - Модель дисконтированных денежных потоков (оптимистический план)

Годы

2009

2010

2011

2012

Кэш-фло от операционной деятельности

-526 827

7 004 252

31 998 148

14 494 070

Кэш-фло от инвестиционной деятельности

-6 965 872

-11 724 514

 

 

Расходы по процентам

3 412 500

2 925 000

2 437 500

1 950 000

Чистый денежный поток (ЧДП)

-10 905 199

-7 645 262

29 560 648

12 544 070

ЧДП нарастающим итогом

-10 905 199

-18 550 461

11 010 187

23 554 257

Дисконтированный ЧДП

-9736785

-6094757

21040688

7971985

График окупаемости (аккумулированный ДЧДП)

-9736785

-15831542

5209146

13181131


Чистый денежный поток будет иметь отрицательное значение в 2009-2010 годах. В последующие периоды ожидается его положительное значение, увеличивающееся значительно в 2011 году, а к 2012 году снижающееся по объективным причинам. Это является положительной тенденцией в развитии предприятия. Чистый денежный поток нарастающим итогом будет иметь отрицательное значение лишь первые два года, а, уже, начиная с 2011 года, - положительное значение. Следовательно, срок окупаемости данного проекта без дисконтирования составит два года. Аккумулированный дисконтированный чистый денежный поток будет иметь отрицательное значение в течение трех лет при пессимистическом сценарии развития, следовательно, срок окупаемости проекта будет равен трем годам. При оптимистическом сценарии развития аккумулированный дисконтированный чистый денежный поток будет иметь отрицательное значение в течение двух лет, следовательно, срок окупаемости проекта будет равен двум годам. Основные показатели реализации данного проекта представлены в таблицах 47, 48.

Таблица 47 - Основные показатели (пессимистический план)

Чистая приведенная стоимость: NPV =

4 736 975

руб.

Внутренняя норма доходности: IRR =

27

%

Период окупаемости: PBP =

36

мес.


Основные результаты расчета при пессимистическом сценарии развития:

максимальный денежный отток - 22 159 319 руб.

интегральный экономический эффект - 4 736 975 руб.

период возврата инвестиций с дисконтированием - 36 месяцев.

Таблица 48 - Основные показатели (оптимистический план)

Чистая приведенная стоимость: NPV =

13 181 131

руб.

Внутренняя норма доходности: IRR =

54

%

Период окупаемости: PBP =

24

мес.


Основные результаты расчета при оптимистическом сценарии развития:

максимальный денежный отток - 18 550 461 руб.

интегральный экономический эффект - 13 181 131 руб.

период возврата инвестиций с дисконтированием - 24 месяца.

Если:> 0, то проект следует принять;< 0, то проект следует отвергнуть;= 0, то проект ни прибыльный, ни убыточный.

Следовательно, проект следует принять, так как чистая приведенная стоимость даже при пессимистическом сценарии развития будет равна 4 736 975 руб.

Внутренняя норма доходности это такая ставка дисконта, при которой значение чистого приведенного дохода равно нулю. IRR показывает максимально допустимый относительный уровень расходов, которые могут быть ассоциированы с данным проектом. Внутренняя норма доходности будет равна 54 % при оптимистическом плане и 27 % при пессимистическом плане, что больше принятой нормы дисконта. Следовательно, инвестиции в данный проект будут оправданы. Все данные показатели говорят о том, что реализация данного проекта благоприятно скажется на деятельности всего предприятия и будет приносить прибыль.

Рисунок 17 - Чистый денежный поток (пессимистический план)

Рисунок 18 - Чистый денежный поток (оптимистический план)

По данному графику видно, что в 2009 году чистый денежный поток предприятия будет иметь отрицательное значение, так как будут значительные затраты, но не будет достаточно доходов, чтобы покрыть данные затраты. Но, уже, начиная с 2010 года, его значение станет положительным и будет наблюдаться увеличение данного показателя. Это является положительной тенденцией в деятельности предприятия.

Рисунок 19 - График окупаемости проекта (пессимистический план)

Рисунок 20 - График окупаемости проекта (оптимистический план)

График окупаемости проекта показывает, что при оптимистическом сценарии развития уже в 2010 году аккумулированный дисконтированный чистый денежный поток на предприятии будет иметь положительное значение. Также из него следует, что строительство гаражного комплекса окупится через 2 года. Даже при пессимистическом сценарии развития проект окупиться через три года.

Точка безубыточности реализации проекта

 (7)

где F - постоянные издержки на годовой выпуск;

P - цена за единицу;

V - переменные издержки на калькуляционную единицу.

 (8)

где Q1 - объем продаж по плану

Q2 - объем продаж в точке безубыточности

Произведем расчет точки безубыточности реализации проекта (таблица 50).

Таблица 49 - Расчет точки безубыточности и уровня безопасности

Показатели

Значение

Постоянные расходы, руб./год

18 756 080

Переменные расходы на 1 гараж, руб.

218 805

Оптовая цена за 1 гараж, руб.

440 562,249

Объем продаж в точке безубыточности, шт.

85

37 262 540

Плановый объем продаж, шт.

249

Уровень безопасности, %

66,03


Построим график безубыточности продажи гаражей (рисунок 21)

Рисунок 21 - График безубыточности продаж гаражей

Расчет точки безубыточности показывает, что минимально необходимое количество проданных гаражей составляет 85 единиц. Выручка в этом случае будет составлять 37 262 540 руб.

Сумма постоянных издержек на 249 гаражей составит 18,8 млн. руб., сумма переменных издержек - 54,5 млн. руб. Полная себестоимость обслуживания всего гаражного комплекса будет равна 73,3 млн. руб. Выручка при этом составит 109,7 млн. руб., а прибыль - 34,6 млн. руб.

Произведем анализ безубыточности реализации проекта (таблицы 50, 51) и построим график уровня безопасности (рисунок 25, 26).

Таблица 50 - Анализ безубыточности (пессимистический план)

Анализ безубыточности

2009

2010

2011

2012

Постоянные расходы, руб./год

8 992 073

18 882 298

6 233 056

6 599 733

Переменные расходы на 1 гараж, руб.

221 622

231 803

390

1 179

Доходы от сдачи в аренду



7 440 000

6 600 000

Оптовая цена за 1 гараж, руб. (без НДС)

440 562

440 562

440 562

440 562

Объем продаж в точке безубыточности, шт.

41

90

1

1

Выручка в точке безубыточности, руб. (без НДС)

18 094 252

39 848 973

348 476

413 047

Плановый объем продаж гаражей, шт.

21

70

80

28

Уровень безопасности, %

-96 %

-29,2 %

99,0 %

96,7 %


Таблица 51 - Анализ безубыточности (оптимистический план)

Анализ безубыточности

2009

2010

2011

2012

Постоянные расходы, руб./год

8 992 073

18 882 298

6 233 056

6 599 733

Переменные расходы на 1 гараж, руб.

221 622

231 504

312

868

Доходы от сдачи в аренду



6 240 000

5 100 000

Оптовая цена за 1 гараж, руб. (без НДС)

440 562

440 562

440 562

440 562

Объем продаж в точке безубыточности, шт.

41

90

1

1

Выручка в точке безубыточности, руб. (без НДС)

18 094 252

39 791 844

411 070

524 865

Плановый объем продаж гаражей, шт.

21

90

100

38

Уровень безопасности, %

-96 %

-0,4 %

99,1 %

96,9 %


Рисунок 22 - Уровень безопасности реализации проекта (пессимистический план)

Рисунок 23 - Уровень безопасности реализации проекта (оптимистический план)

Уровень безопасности реализации проекта (запас безопасности, зона безубыточности, запас прочности) является показателем риска реализации проекта. Чем выше этот показатель, тем безопаснее чувствует себя предприятие перед угрозой негативных изменений (снижение выручки или увеличение издержек). Если в 2011 году уровень безопасности равен 99 %, то это значит, что предприятие может уменьшить выручку от реализации на 99 % и только тогда оно войдет в точку безубыточности. Предприятие считается устойчиво развивающимся, если этот показатель больше или равен 35 %. При реализации данного проекта уровень безопасности имеет тенденцию к ежегодному росту и самое минимальное его значение равно -96 % на нулевом этапе строительства. Данный показатель характеризует устойчивое развитие предприятия на протяжении всего срока реализации проекта.

Финансовые показатели реализации проекта (таблицы 52, 53)

Таблица 52 - Финансовые показатели (пессимистический план)

ФИНАНСОВЫЕ ПОКАЗАТЕЛИ

2009

2010

2011

2012

Коэффициенты ликвидности

 

 

 

 

Коэффициент абсолютной ликвидности

0,03

0,01

0,04

0,05

Коэффициент срочной ликвидности

0,80

0,78

0,81

0,83

Коэффициент текущей ликвидности

0,87

0,85

0,88

0,90

Чистый оборотный капитал

-75 492 009

-91 945 834

-69 070 092

-61 390 317

Показатели структуры капитала

 

 

 

 

Коэффициент финансовой независимости

0,07

0,06

0,10

0,11

Сумм. обязательства к сумм. активам

0,93

0,94

0,90

0,89

Долгосрочные обязательства к активам

0,03

0,03

0,02

0,02

Сумм. обязательства к собств. капиталу

13,53

14,44

8,92

8,04

Долгоср. обязательства к внеобор. активам

2,38

0,97

0,80

0,83

Коэффициент покрытия процентов

0,28

0,15

14,59

5,84

Коэффициенты рентабельности

 

 

 

 

Рентабельность продаж

-26,4%

-10,1%

62,6%

39,4%

Рентабельность собственного капитала

-5,3%

-7,2%

37,7%

9,3%

Рентабельность оборотных активов

-0,5%

-0,6%

4,9%

1,3%

Рентабельность внеоборотных активов

-25,9%

-16,1%

138,5%

38,9%

Рентабельность инвестиций

-3,6%

-5,0%

31,0%

7,8%

Коэффициенты деловой активности

 

 

 

 

Оборачиваемость рабочего капитала

-

-

-

-

Оборачиваемость основных средств

0,98

1,59

2,21

0,99

Оборачиваемость активов

0,02

0,06

0,08

0,03

Оборачиваемость запасов

3,43

-

-

-

Оборачиваемость дебит. задолженности (дн.)

0,00

5482,21

4076,86

9407,98


Таблица 53 - Финансовые показатели (оптимистический план)

ФИНАНСОВЫЕ ПОКАЗАТЕЛИ

2009

2010

2011

2012

Коэффициенты ликвидности

 

 

 

 

Коэффициент абсолютной ликвидности

0,03

0,01

0,06

0,07

Коэффициент срочной ликвидности

0,80

0,78

0,83

0,85

Коэффициент текущей ликвидности

0,87

0,85

0,90

0,92

Чистый оборотный капитал

-75 492 009

-88 632 962

-59 521 784

-49 334 460

Показатели структуры капитала

 

 

 

 

Коэффициент финансовой независимости

0,07

0,07

0,11

0,13

Сумм. обязательства к сумм. активам

0,93

0,93

0,89

0,87

Долгосрочные обязательства к активам

0,03

0,03

0,02

0,02

Сумм. обязательства к собств. капиталу

13,53

13,22

7,76

6,88

Долгоср. обязательства к внеобор. активам

2,38

0,97

0,80

0,83

Коэффициент покрытия процентов

0,28

1,59

17,79

7,45

Коэффициенты рентабельности

 

 

 

 

Рентабельность продаж

-26,4%

2,2%

65,3%

45,4%

Рентабельность собственного капитала

-5,3%

1,9%

40,7%

10,8%

Рентабельность оборотных активов

-0,5%

0,2%

6,0%

1,8%

Рентабельность внеоборотных активов

-25,9%

4,6%

171,7%

52,7%

Рентабельность инвестиций

-3,6%

1,4%

34,2%

9,2%

Коэффициенты деловой активности

 

 

 

 

Оборачиваемость рабочего капитала

-

-

-

-

Оборачиваемость основных средств

0,98

2,04

2,63

1,16

Оборачиваемость активов

0,02

0,07

0,09

0,04

Оборачиваемость запасов

2,67

-

-

Оборачиваемость дебит. задолженности (дн.)

0,00

4270,70

3437,69

8012,51


Коэффициент абсолютной ликвидности в первые годы реализации проекта находится на низком уровне, что означает снижение платежеспособности предприятия. С каждым годом он увеличивает свое значение, что говорит о возрастании гарантии выплаты долгов. Коэффициент срочной ликвидности находится в допустимых пределах и с каждым годом имеет тенденцию к увеличению. Коэффициент текущей ликвидности находится чуть ниже нормального значения, но также имеет стойкую тенденцию к увеличению.

Коэффициент финансовой независимости имеет тенденцию к ежегодному увеличению, что является положительной тенденцией. Показатели обязательств к активам ежегодно уменьшаются, следовательно обязательства предприятия уменьшаются.

Рентабельность продаж с каждым годом увеличивается, что свидетельствует об увеличении прибыли, приходящейся на каждый вложенный рубль в строительство гаражного комплекса.

Показатели оборачиваемости не очень положительно сказываются на деятельности предприятия, так как большинство из них имеет тенденцию к увеличению. Лишь оборачиваемость дебиторской задолженности положительно влияет на деятельность предприятия, так как имеет тенденцию к снижению.

Реализация проекта обеспечит интегральный экономический эффект в 13 181 131 руб. за экономический срок жизни инвестиций при норме дисконта Е=0,12.

Максимальный денежный отток составит 18 550 461 руб., что покроется собственным капиталом предприятия.

Подводя итог, можно сделать вывод, что по обоим сценариям развития проект считается реализуемым. Во-первых, чистый приведенный эффект по обоим сценариям развития проекта положительный и в случае принятия проекта увеличит ценность предприятия, а, следовательно, и благосостояние ее владельцев.

Во-вторых, достаточно высокая эффективность капитала, что говорит об эффективном использовании вложенных в проект средств.

В-третьих, дисконтированный период окупаемости вложений достаточно короткий, это напрямую зависит от внутренней нормы прибыли и индекса прибыльности - эти показатели также остаются на достаточно высоком уровне. Чем больше значение индекса прибыльности, тем выше отдача каждого рубля, инвестированного в данный проект.

Также хочется отметить, что дисконтированный срок окупаемости вложений с учетом выплаты платежей по кредиту составляют 24 и 36 месяцев по оптимистическому и пессимистическому сценарию развития соответственно - это означает, что проект полностью окупается не за 4 года как планировалось, а за 2 или 3.

Таким образом, данный проект реализуем в любом случае, даже при самом пессимистическом варианте развития. Тем самым проект принимается для реализации.

Заключение

экономический строительство гараж финансовый

В данном дипломном проекте на тему технико-экономическое обоснование строительства объекта проведено исследование хозяйственной необходимости и экономической целесообразности проектирования и строительства многоэтажного гаража на 249 автомобилей.

ТЭО является заключительной стадией предынвестиционной фазы и дает всю необходимую информацию для принятия решения об участии в инвестировании. Окончательная оценка инвестиционных затрат, а также расчет прибыльности производится только, тогда, когда определено направление и масштаб проекта.

Расчет и последующая оценка всех показателей ТЭО должна производиться с учетом всех исходных данных и с жесткой увязкой их друг с другом.

Основной итог технико-экономического обоснования (ТЭО) выражается, как это принято в мировой практике, в оценке ряда обобщающих показателей, позволяющих подготовить решение о целесообразности (нецелесообразности) инвестиций для реализации предлагаемого проекта. К ним относятся:

чистая текущая стоимость;

рентабельность;

внутренний коэффициент эффективности;

период возврата капитальных вложений (срок окупаемости);

максимальный денежный отток (сумма инвестиций);

точка безубыточности.

В результате проделанной работы поставленная цель дипломного проекта - разработка технико-экономического обоснования строительства многоэтажного гаража - достигнута посредством решения поставленных задач.

Данный дипломный проект состоит из пяти частей. В первой части рассмотрены понятие и классификации инвестиционного проекта, этапы инвестиционного проекта и их содержание, понятие и роль технико-экономического обоснования проекта.

Во второй части рассмотрены общие положения по проведению технико-экономического обоснования предпринимательского проекта, этапы проведения расчетов технико-экономических показателей проекта, проведено сравнение методов оценки эффективности строительства многоэтажного гаражного комплекса, изложено содержание разделов технико-экономического обоснования.

В третьей части изложена идея проекта, сделана оценка рынка автопаркинга, приведены расчеты затрат на строительство гаражного комплекса и на приобретение всего необходимого оборудования, описано месторасположение объекта и рассчитана стоимость земельного участка, сделан расчет затрат на материалы, накладные расходы и заработную плату основных и вспомогательных рабочих, спланированы сроки осуществления проекта, определены финансово экономические показатели проекта.

В четвертой части приведена характеристика условий строительства, выполнен расчет и конструирование железобетонной панели сборного междуэтажного перекрытия.

В пятой части представлен план мероприятий, обеспечивающих безопасные условия работы, рассмотрены требования безопасности при монтаже железобетонных панелей междуэтажных перекрытий, требования пожарной безопасности при строительстве объекта и на стадии его эксплуатации, приведен перечень мероприятий по охране окружающей среды в процессе производства строительно-монтажных работ.

В ходе выполнения дипломного проекта были решены следующие задачи:

по оценкам многих специалистов и ученых, на основании мнения которых проводилось данное исследование, дано определение инвестиционного проекта, его классификация. Инвестиционный проект - это программа решения экономической проблемы, вложение средств в которую приводит к их отдаче (получению дохода, прибыли, социальных эффектов) после прохождения определенного срока с начала осуществления проекта, вложения средств в него.

были выделены этапы инвестиционного проекта: предынвестиционный, инвестиционный, эксплуатационный и ликвидационный.

определена роль технико-экономического обоснования проекта: решения о проектировании объектов строительства принимаются на основании ТЭО строительства. Технико-экономическое обоснование является основным документом инвестиционного проекта, на основе которого принимается окончательное решение о реализации проекта и его финансировании. Управление инвестиционным проектом проводится на основе анализа выполнения плана, представленного в технико-экономическом обосновании.

рассмотрены общие положения по проведению технико-экономического обоснования предпринимательского проекта и выявлены этапы проведения данного обоснования;

определено содержание разделов технико-экономического обоснования;

определена идея реализации данного проекта. Создание таких гаражных комплексов облегчит проблему пропускной способности улиц и проспектов, позволит улучшить санитарную и экологическую обстановку во дворах жилых зданий за счет отвода основной массы автомобилей в многоэтажные гаражи, а также повысить безопасность сохранности автомобилей.

Объект предназначен для оказания комплекса разнообразных услуг сервисного (технического) обслуживания и хранения легковых автомобилей индивидуального пользования. По целевому назначению и характеру производственной деятельности проектируемый пункт техобслуживания является предприятием комплексного обслуживания (различные виды ТО и TP).

сделана оценка рынка и предложена стоимость 1 машиноместа в гаражном комплексе от 400 до 550 тыс. руб.;

рассчитана стоимость основных фондов (84 959 тыс. руб.), годовые издержки на эксплуатацию и содержание оборудования (1 409 457 руб.);

рассчитаны материальные факторы производства: затраты на сырье, материалы, энергоресурсы, воду и канализацию составят 1 245 908 руб.;

рассчитаны накладные расходы, связанные с содержанием и обслуживанием цеха: накладные расходы на весь гаражный комплекс составят 6 310 748 руб., накладные расходы на 1 гараж - 28 380 руб.;

рассчитано необходимое количество рабочих для строительства гаражного комплекса (46 чел.) и необходимое количество обслуживающего персонала в процессе эксплуатации комплекса (19 чел.). Зарплата с отчислениями основных и вспомогательных рабочих составит 12 627 698 руб. Зарплата с отчислениями руководителей, специалистов, служащих и технических исполнителей составит 4 529 196 руб.

спланированы сроки осуществления проекта: Первый этап - предварительные работы (1 год); второй этап - строительно-монтажные работы (1 год); третий этап - реализация гаражей и эксплуатация комплекса (2 года).

рассчитаны основные технико-экономические показатели реализации проекта.

Была проведена оценка проекта по двум сценариям развития: оптимистическому и пессимистическому. Разница между ними заключается в исходных данных. При оптимистическом сценарии развития до 2012 года будет продано все 249 гаражей, пессимистическом сценарии развития 50 непроданных до 2012 года гаражей будут сданы в аренду.

Реализация проекта обеспечит интегральный экономический эффект в 13 181 131 руб. за экономический срок жизни инвестиций при норме дисконта Е=0,12.

Максимальный денежный отток составит 18 550 461 руб., что покроется собственным капиталом предприятия.

По обоим сценариям развития проект считается реализуемым. Во-первых, чистый приведенный эффект по обоим сценариям развития проекта положительный и в случае принятия проекта увеличит ценность предприятия, а, следовательно, и благосостояние ее владельцев.

Во-вторых, достаточно высокая эффективность капитала, что говорит об эффективном использовании вложенных в проект средств.

В-третьих, дисконтированный период окупаемости вложений достаточно короткий, это напрямую зависит от внутренней нормы прибыли и индекса прибыльности - эти показатели также остаются на достаточно высоком уровне. Чем больше значение индекса прибыльности, тем выше отдача каждого рубля, инвестированного в данный проект.

Также хочется отметить, что дисконтированный срок окупаемости вложений с учетом выплаты платежей по кредиту составляют 24 и 36 месяцев по оптимистическому и пессимистическому сценарию развития соответственно - это означает, что проект полностью окупается не за 4 года как планировалось, а за 2 или 3.

Таким образом, данный проект реализуем в любом случае, даже при самом пессимистическом варианте развития. Тем самым проект принимается для реализации.

Список использованных источников

1. Староверова Г.С. Экономическая оценка инвестиций: учебное пособие / Г.С. Староверова, А.Ю. Медведев, И.В. Сорокина. - М.: КНОРУС, 2006. - 312с.

. Нешитой А.С. Инвестиции: Учебник. - 6-е изд., перераб. и испр. - М.: Издательско-торговая корпорация «Дашков и К», 2012. - 372 с.

. Квасенков Евгений Викторович. Поэтапное финансирование строительства для ВПК с применением сравнительного анализа методом дисконтирования и компаундирования денежных потоков. Автореферат диссертации на соискание ученой степени кандидата экономических наук: 08.00.13 - Математические и инструментальные методы экономики/ Квасенков Е.В.; МГГУ, г. Москва, 2014.- 192 с., 338.984.

. Ковалев В.В. Методы оценки инвестиционных проектов. - М.: Финансы и статистика, 1999. - 144 с.: ил.

. Непомнящий Е.Г. Инвестиционное проектирование: Учебное пособие.

. Разработка механизма организации бизнес-процессов в рамках проектного финансирования/ С.Л. Озеров// Финансы, №1. - 2006

. Инвестиционные проекты, финансируемые из федерального бюджета: методы оценки эффективности/ А. Водянов// Российский экономический журнал, №1. - 2006

. Новиков М.В., Бронникова Т.Б. Разработка бизнес-плана проекта: Учебное пособие: [Электронный ресурс]/ ТРТУ - Таганрог: ТРТУ, 2001.

. Беренс В., Хавранек П. Руководство по оценке эффективности инвестиций. М.: АОЗТ «Интерэксперт», ИНФРА-М, 1995.

. О методологии оценки эффективности реальных инвестиционных проектов/ П. Виленский// Российский экономический журнал, №9-10.- 2006

. Анализ портфеля инвестиций/ О.С. Сухарев, А.М. Курьянов// Бухгалтерский учет, №5. - 2007.

. Некоторые особенности оптимизации проектного финансирования/ П.М. Голубев// Финансы, №9. - 2006.

. Липсиц И.В. Экономический анализ реальных инвестиций: учеб.; Гос.ут-т-высшая школа экономики, Высшая школа менеджмента, 2003. - 345с.

. Воронцовский А.В. Инвестиции и финансирование.- СПб. Гос. Ун-т, 1988. - 526с.

. Инвестиции: учебник для вузов по экон. специальностям/ П.И. Вахрин.- изд. 2-е, перераб. и доп. - М.: Дошков и К, 2004. - 382с.

. Инвестиции: учеб./ А.Ю. Андрианов, С.В. Волдайцев, В.В. Иванов, В.А.

. Промышленные инвестиционные проекты: теория и практика инжиниринга. - 2-е изд., испр. - М: Издательский дом «Руда и металлы». Е.П. Караваев, 2006. - 272с.

. Деева А.И. Инвестиции: учеб. для студентов вузов, «Экономика и управление на предприятии (по отраслям)» - 2005. - 397с.

. Методологические рекомендации по оценке эффективности инвестиционных проектов (вторая редакция). Официальное издание.- М.: Экономика, 2000. - 214с.

. Мелкумов Я.С. Экономическая оценка эффективности инвестиций.- М.: ИКЦ «ДИС», 1997. - 160с.