Материал: Противопожарное водоснабжение

Внимание! Если размещение файла нарушает Ваши авторские права, то обязательно сообщите нам

Противопожарное водоснабжение

Вопрос №1

В чем состоит закон вязкого трения Ньютона? Какова взаимосвязь между динамическим и кинематическим коэффициентами вязкости, их размерность и связь с давлением и температурой для капельных и газообразных жидкостей?

Вязкостью называется свойство жидкости оказывать сопротивление относительному движению (сдвигу) ее частиц. Вязкость проявляется только при движении реальной жидкости.

Для пояснения понятия вязкости рассмотрим случай движения жидкости параллельными слоями (рис. 1). Пусть скорость движения какого-либо слоя А равна u, а скорость соседнего слоя В больше на величину ∆u. Величина ∆u выражает собой абсолютный сдвиг слоя В по отношению к слою А за единицу времени. При скольжении этих слоев жидкости относительно друг друга между ними возникает препятствующая сдвигу сила трения. Относя силу трения к единице площади трения, получим касательное напряжение силы трения t. Отношение ∆u к расстоянию между центрами слоев ∆y называется относительным сдвигом. Ньютон установил, что сила трения t, приходящаяся на единицу площади, прямо пропорциональна относительному сдвигу:

t = m ∆u ¤ ∆y,

где m - коэффициент внутреннего трения или динамический коэффициент вязкости, Па × с.

В гидравлике наряду с динамической вязкостью при расчетах используют так называемый кинематический коэффициент вязкости, представляющий собой отношение динамического коэффициента вязкости к плотности жидкости:

n = m ¤ r, м2 ¤ с.

Вязкость зависит от вида жидкости и ее температуры.

Вязкость капельных жидкостей уменьшается с увеличением температуры, а вязкость газов, наоборот, возрастает. Объясняется это различием самой природы вязкости жидкостей и газов. В жидкостях молекулы расположены гораздо ближе друг другу, чем в газах, и вязкость вызывается силами молекулярного сцепления. Эти силы с увеличением температуры уменьшаются, поэтому вязкость снижается. В газах вязкость обусловлена в основном хаотичном тепловом движением молекул, интенсивность которого увеличивается с ростом температуры, что приводит к увеличению вязкости.

Рис. 1 Схема, поясняющая понятие вязкости при движении жидкости с параллельными слоями.

Вопрос №2

Как определить равнодействующую силу гидростатического давления жидкости на плоские стенки? Что называется центром давления и как определить его положение? Может ли центр давления находиться выше центра тяжести фигуры стенки и когда они совпадают?

Используя основное уравнение гидростатистики, можно найти силу давления жидкости на различные поверхности. Эта задача имеет большое практическое значение при расчетах гидротехнических сооружений, резервуаров, предохранительных клапанов в технологических аппаратах.

Возьмем плоскую прямоугольную стенку АВСД шириной b, наклонную к горизонту под углом α (рис. 2). Рассмотрим только избыточное давление на эту стенку; поверхностное давление учитывать не будем, так как оно, действуя через жидкость на стенку слева, полностью уравновешивается атмосферным давлением, действующим на стенку справа.

Выделим на стенке АВСД бесконечно малую горизонтальную полоску высотой dℓ. Ввиду малой высоты выделенного элемента гидростатистическое давление во всех его точках можно считать одинаковым и равным ρgh´.

Элементарная сила избыточного давления на полоску будет равна:

d P = ρ g h´ b d l, (1)

где ρgh´bdl представляет собой элемент площади эпюры гидростатического давления dw.

Рис. 2. Схема определения силы давления жидкости на плоскую стенку.

Вся эпюра давления на плоскую стенку изображена треугольником АВЕ площадью w. Площадь самой стенки можно представить состоящей из элементарных полосок, на каждую из которых передается со стороны жидкости давление, определяемое по формуле (1), которое непрерывно изменяется по мере изменения глубины h, но всегда направлено перпендикулярно плоскости стенки.

Сила давления жидкости на стенку АВСД будет равна сумме параллельных, непрерывно изменяющихся элементарных сил, т.е. интегралу уравнения (1) в пределах всей площади эпюры давления:

P = ∫ ρ g h´ b d l = b ∫ d ω = b ω,

где ω - площадь эпюры гидростатического давления.

Таким образом, сила давления жидкости на плоскую прямоугольную стенку определяется произведением площади эпюры гидростатического давления на ширину стенки т.е.

P = b ω.

Сила давления на плоскую стенку может быть также выражена весом жидкости, заключенной в объеме призмы, имеющей основанием эпюру гидростатического давления АВЕ, а высотой - ширину стенки b.

Отметим, что сила гидростатического давления как равнодействующая элементарных сил должна проходить через центр тяжести (ц.т.) эпюры давления и быть направлена нормально к рассматриваемой поверхности. Точку приложения равнодействующей силы давления называют центром давления (ц.д.).

Известно, что центр тяжести треугольной фигуры (рис. 3,а) лежит на расстоянии h/3 от основания; если же эпюра давления изображена трапецией, то центр тяжести ее находится на пересечении медианы с линией, соединяющей продолжения оснований (рис. 3,б).

а)                                                                         б)

Рис. 3 Определение центра давления жидкости на плоские стенки. а - при треугольной эпюре давления; б - при трапецендальной эпюре давления.

Вопрос №3

Чем установившееся движение отличается от неустановившегося, установившееся равномерное от неравномерного, напорное от безнапорного? Понятие гидравлического радиуса.

Скорости определяются в отдельных точках потока - в зависимости от глубины и давления. Движение жидкости может быть двух видов: установившееся и неустановившееся. При установившемся движении скорость и давление в любой точке потока остаются постоянными, т.е. не изменяются во времени ни по величине, ни по направлению. Примером установившегося движения может служить истечение жидкости из отверстия в стенке сосуда при постоянном напоре. При неустановившемся движении скорости частиц и давление в каждой точке потока изменяются с течением времени. Неустановившееся движение наблюдается, например, при опорожнении резервуара, когда уровень жидкости в нем непрерывно уменьшается, следовательно, изменяется напор.

Установившееся движение жидкости разделяется на два вида: равномерное, при котором средняя скорость в сечении и его площадь по всей длине потока не изменяются; неравномерное, когда имеет место хотя бы одно отклонение от принятых условий. Примером равномерного движения может служить поток воды в трубе постоянного диаметра при постоянном расходе. В случае неравномерного движения можно выделить плавноизменяющееся движение, когда угол расхождения между струйками и их кривизна весьма незначительны, чем можно пренебречь и считать живые сечения плоскими, а движение параллельноструйным, и резкоизменяющееся движение, когда угол расхождения между струйками и их кривизна настолько значительны, что ими пренебрегать нельзя, например, при движении жидкости в насосе или при ударе струи о преграду.

Напорный поток полностью ограничен по всему периметру твердыми стенками. В напорном потоке жидкость движется под давлением, которое создается насосом (напорным резервуаром), например, в водопроводной трубе, пожарном рукаве.

Безнапорный поток в отличие от напорного ограничен твердыми стенками не по всему поперечному сечению, он имеет свободную поверхность (канал, река). Жидкость в безнапорном потоке перемещается только под действием силы тяжести.

Живым сечением потока называется его поперечное сечение ω, перпендикулярное направлению движения. Площадь живого сечения напорных потоков в трубах и рукавах рассчитывается по формуле.

ω = π r2 = π d2 / 4 = 0,785 d2.

Смоченным периметром χ называется линия, по которой живое сечение потока соприкасается с твердыми, ограничивающими его стенками.

В водопроводной трубе он равен:

χ = 2π r = π d

Отношение площади живого сечения ω к смоченному периметру χ называется гидравлическим радиусом R :

R = ω/ χ.

Необходимо отметить, что для круглых живых сечений гидравлический радиус R не равен геометрическому r, в этом случае R = π r2 / 2 π r = r/2 = d/4.

Вопрос №4


Объясните геометрический и физический смысл понятий: геодезический, пьезометрический и гидравлический уклоны. В каких случаях пьезометрический уклон меняет знак с положительного на отрицательный? Может ли гидравлический уклон изменять свой знак вдоль потока?

Уравнение Бернулли графически может быть представлено диаграммой, как и для идеальной жидкости, но с учетом величины потерь напора для реальной жидкости. Очевидно, что для потока (а в равной мере и для струйки) реальной жидкости напорная линия всегда наклонна - понижается по течению. Отрезки, заключенные между напорными линиями для идеальной жидкости (линия начального напора) и для реальной, характеризуют величину потерь энергии.

Потери энергии жидкости, приходящиеся на единицу длины пути, называют гидравлическим уклоном. Различают средний гидравлический уклон и гидравлический уклон в данном сечении.

Средний гидравлический уклон между сечениями I-I и II-II равен:

1-2 = (z1 + p1/ρg + (α1V21) / 2g) - (z2 + p2/ρg + (α2V22) / 2g)

Гидравлический уклон - величина безразмерная.

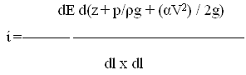
Действительный же уклон в каждом сечении будет величиной переменной. Чтобы определить действительный уклон в данном сечении, надо воспользоваться записью в дифференциальной форме:

ί = dh / dl

Но так как полный запас энергии Е убывает вниз по течению (тогда как потерянный напор h возрастает), то и следовательно, гидравлический уклон можно определить так:


Гидравлический уклон всегда положительный (ί > 0), так как при dl>0 всегда dh>0, a dЕ<0. Увеличение удельной энергии Е возможно лишь тогда, когда в данный поток извне будет поступать дополнительная энергия (например, если на данном водоводе установлен насос, приводимый в движение тем или иным двигателем).

Аналогично можно ввести понятие и об уклоне пьезометрическом. Средний пьезометрический уклон тогда определится по формуле


Если (z1 + p1/ρg) > (z2 + p2/ρg), то средний пьезометрический уклон будет положительным. Но (z1 + p1/ρg) может быть меньше (z2 + p2/ρg). В таком случае пьезометрический уклон будет отрицательным (что возможно при расширении потока, например, в диффузоре). Не исключено также, что пьезометрический уклон может оказаться равным нулю.

Действительный пьезометрический уклон в данном сечении, подобно гидравлическому уклону, определяется по формуле


Величины z1 и z2 представляют собой превышение над плоскостью сравнения 0-0 точек соответствующих живых сечений; величины p1/ρg и p2/ρg - пьезометрические высоты для этих точек.

Вопрос №5


Что вызывает потери напора в потоках реальной жидкости? Какие виды потерь вам известны и как они рассчитываются?

Решение многих практических задач гидравлики сводится к определению потерь напора при движении перекачиваемой по трубопроводам жидкости. Потери напора движущегося потока вызываются сопротивлениями двух видов:

Сопротивлениями по длине, обусловленными трением жидкости о стенки трубы и слоев жидкости друг от друга;

Местными сопротивлениями, обусловленными изменением скорости потока по величине и направлению.

Общую величину потерь напора h для участка трубопровода, заключенного между двумя сечениями, определяем, используя уравнение Бернулли:

Следовательно, для определения h достаточно измерить разности геометрических отметок z1 - z2, показаний пьезометров (p1 - p2)/ ρ g и скоростных напоров (υ12 - υ22) / 2 g в указанных сечениях потока. При равномерном движении в горизонтальной трубе z = const, υ = const) потери напора определяют по формуле

h = (p1 - p2)/ ρ g = Δρ/ρ g,

т.е. потери напора находят по разности показаний пьезометров в сечениях трубопроводах.

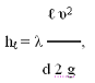
При установившемся движении жидкости потери напора зависят от физических свойств жидкости, скорости течения, размеров трубопровода и шероховатости стенок трубы. Эта зависимость может быть выражена формулой Дарси-Вейсбаха, позволяющей рассчитать потери напора по длине и применимой как при ламинарном, так и при турбулентном режиме:


где h- потери напора по длине трубопровода;

λ - коэффициент гидравлического трения;

ℓ, d - длина и внутренний диаметр трубы;

υ - средняя скорость течения; - ускорение силы тяжести.

Из формулы следует, что потери напора на трение по длине прямо пропорциональны, т.е. возрастают с увеличением скорости течения и длины трубопровода и обратно пропорциональны диаметру трубы.

Выразим в формуле среднюю скорость через расход, исходя из условия неразрывности потока:

υ = Q / ω

Обозначая A = 8 λ / π 2 g d5, получим

h= Aℓ Q2

Величину А в формуле называют удельным сопротивлением, оно определяет потери напора, приходящиеся на 1 м трубопровода при единичном расходе и имеет размерность с26.

Сопротивление по всей длине ℓ трубопровода составит

S = Aℓ

Тогда формула для определения потерь напора по длине примет вид: h= SQ2.

При υ <1.2 м/с в формулы (2) и (3) необходимо ввести поправочный коэффициент Кп, величина которого зависит от средней скорости движения воды в трубе.

h= Кп Aℓ Q2 = Кп SQ2

Местные потери напора зависят от скорости движения жидкости, геометрических размеров и формы местных сопротивлений и определяются по формуле Вейсбаха:

hм = ζ υ2/ 2 g

Где ζ - коэффициент местного сопротивления, отнесенный к скоростному напору за местным сопротивлением.

Следует отметить, что при турбулентном режиме движения жидкости величина коэффициента местного сопротивления ζ постоянна.

При ламинарном режиме движения на местные потери напора влияет не только характер сопротивления, но и вязкость жидкости. А.Д. Альтшуль предложил определять коэффициент местного сопротивления по следующей формуле, применяемой как при ламинарном, так и при турбулентном режиме:

ζ = А / R е + ζт,

Где А - коэффициент, зависящий от вида местного сопротивления;

ζт - коэффициент местного сопротивления при турбулентном режиме.

В некоторых случаях потери напора в местных сопротивлениях hм (в пожарных гидрантах, колонках, водомерах и д.р.) определяют по формуле

hм = SQ2,

аналогичной формуле (4), в которой средняя скорость υ выражена через расход Q, а постоянная величина ζ / 2 g ω2 - через сопротивление S.

Вопрос №6


Как связаны между собой коэффициенты сопротивления, сжатия, скорости и расхода? Поясните физический смысл этих коэффициентов.

На практике часто встречаются процессы, связанные с истечением жидкости через отверстия различных форм и размеров: насадки пожарных стволов и гидромониторов, форсунки в системах подачи топлива, трубы малой длины при наполнении и опорожнении резервуаров и т.п. основным вопросом при этом является определение скорости и расхода вытекающей жидкости.

Рассмотрим случай установившегося истечения жидкости через круглое отверстие диаметром d в вертикальной тонкой стенке сосуда при постоянном напоре H (рис.5). Гидравлический смысл термина “тонкая стенка” заключается в том, что края отверстия имеют такую острую кромку, которая исключает влияние толщины стенки на форму струи. В этом случае имеются только местные потери напора, аналогичные потерям при внезапном сужении потока. Кроме того, будем считать отверстие достаточно малым, т.е. d<0.1H, в котором все точки отверстия находятся приблизительно на одинаковой глубине от свободной поверхности жидкости и скорости движения по всему сечению будут также одинаковыми.