Материал: Промышленные выбросы в атмосферу

Внимание! Если размещение файла нарушает Ваши авторские права, то обязательно сообщите нам

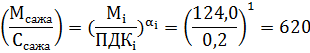
9655740,91+900,94769288+57204+75,127+620+27180+17020+6,64+0,64=9758748,27

По величине КОП объекты делят на 4 категории опасности (таблица 2).

выбросы атмосфера очистка метод

Таблица 2 - Градация деления предприятий на категории опасности в зависимости от величины КОП

категория опасности предприятия

Значение КОП

1

КОП>105

2

105 ≥ КОП > 104

3

104 ≥ КОП > 103

4

103 ≥ КОП


, что соответствует первому классу опасности.

Предприятия первой и второй категории опасности представляют собой наибольшую опасность для окружающей среды, к ним необходимо применять особые требования при разработке нормативов ПДВ (ВСВ) и ежегодном контроле за их достижением.

Вывод: определение категории опасности предприятия и размера санитарно-защитной зоны, определение класса опасности по степени воздействия на организм человека.

2.3 Определение размера и построение санитарно-защитной зоны предприятия

Санитарно-защитная зона (СЗЗ) - особая функциональная зона в черте города, которая защищает человека от вредного воздействия промышленного предприятия и устанавливается в целях снижения уровня загрязнения атмосферного воздуха до нормативных пределов.

Таблица 3 - Ширина ССЗ в зависимости от категории опасности предприятия

Класс

I

II

III

IV

Ширина СЗЗ, м

1000

500

300

100


Кроме нормативной СЗЗ, устанавливаемой по СанПиН 2.2.1/2.2.2.1200-03 «Санитарно-защитные зоны и санитарная классификация предприятий, сооружений и иных объектов», существует скорректированная СЗЗ в зависимости от розы ветров.

Роза ветров - это повторяемость направления ветра в % по 8-румбовой системе (т.е. по восьми возможным направлениям ветра).

Полученные размеры санитарно-защитных зон уточняются как в сторону увеличения, так и в сторону уменьшения в зависимости от розы ветров района расположения предприятия.

l = lo * (p/po) (12)

= 1000*=320 (м)

=1000*=240 (м)

=1000*=1680 (м)

=1000*1440 (м)

=1000*960 (м)

=1000*=800 (м)

=1000*=1360 (м)

=1000*=400 (м)

Таблица 4 - Исходные данные для определения границ санитарно-защитной зоны

Направление

С

СВ

В

ЮВ

Ю

ЮЗ

З

СЗ

р (%)

4

3

21

18

12

10

17

5

lo(м)


l (м)









Р0(%)

12,5 %


Санитарно-защитная зона, построенная согласно розы ветров, представлена на рисунке 2 (в Приложении 2). Санитарно-защитная зона, рекомендованная предприятию, представлена на рисунке 3 (в Приложении 2).

Выводы: максимальная приземная концентрация загрязняющих веществ- 0,4 мг/м3; расстояние на котором образуется максимальная концентрация вредных веществ-304,4 м. максимальная концентрация вредного вещества в приземном слое -15,8 мг/м3г. Нмин - 15,9 м.

Рассчитанный класс опасности предприятия равен - 1.

Размер санитарно-защитной зоны - 1000м.

3. ОПРЕДЕЛЕНИЕ УСЛОВИЙ СПУСКА СТОЧНЫХ ВОД

.1 Определение концентрации загрязняющих веществ в воде в контрольном створе

Данные для определения концентрации загрезняющих веществ в воде в контрольном створе:

,66 ; L=14 -1; Q=70мл; W=0,35м/с; Нс.р=5м ; g=9,81/с ;М=22,3; См=42 ; е=2,73 ; ξ = 1,5

См ацетальдигид-0,05; Бензин-0,002; Сурьма-0,005; Бор- 0,025

Сф ацетальдигид-0,0; Бензин-0,02; Сурьма-0,03; Бор-0,032

Найти: n-? Dt-? a-?Cр.с∑

Определение концентрации ЗВ в контрольном створе рассчитывается по формулам:

 (13);  (14);(15);  (16) ≤ ПДКi (17);  (18)

Решение:

Для равнинных рек и упрощенных расчетов коэффициент турбулентной диффузии находят по формуле М.В. Потапова (14):

=  =0,009м/с

Коэффициент, характеризующий гидравлические условия смешения, α (15):

= 1,5*1* =1,5*0,24=0,36

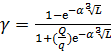
Коэффициент смешения, γ, показывает, какая часть речной воды в расчетном створе смешивается со сточной и рассчитывается по формуле (16):

==0,36

Кратность разбавления в водотоке у контрольного створа выражается зависимостью (13):

==39,2

Определение концентраций загрязняющих веществ в водоеме в расчетном створе,  (17):

 ≤ ПДКi= ацетальдигид=0,002 ПДК=0,2 - органолептический запах (приложение 1.)

бензин =0,045 ПДК=0,1- органолептический запах (приложение3.)

сурьма=0,05 ПДК=0,005- санитарно токсичный (приложение 3.)

бор=0,05 ПДК=0,5 санитарно токсичный (приложение 3.)

 + =0,01+0,45=0,46≤1

∑= + =10+0,1=10,1≥ 1

Вывод: требуются очистные сооружения по уменьшению содержанию санитарно-токсикологических веществ.

3.2 Расчет необходимой степени очистки сточных вод по содержанию взвешенных веществ

Данные для определения необходимой степени очистки сточных вод по содержанию взвешенных веществ: Q=40/с; q=1,2/с; См=170мг/л; Сф4мг/л;  =0,67; Кразр=0,25 (приложение 4.)

Найти: Соч-? Эвзв-?

Степень очистки сточных вод по содержанию взвешенных веществ рассчитывается по формулам:

 (17); (19).

Решение: 1. Концентрацию взвешенных веществ в очищенной сточной воде, разрешенной к сбросу в водный объект, определяют из выражения:

(20)

Соч=0,25*+4=9,825

=*100%=0,94*100%=94% (21)

Вывод: необходимая степень сточных вод равна 94%.

3.3 Расчет необходимой степени очистки сточных вод по содержанию растворенного кислорода

Данные для определения степени очистки сточных вод по содержанию растворенного кислорода:

=26 ;q=1,2 ; Cc.т=0,63; Сф=6,5;  =2.0=2; O=4;=6,5;=300

Найти:=? ЭБПК=?

Решение:

 =*- = *1,7-15 = 108,*1,7-15 = 168,6

Необходимая степень очистки сточных вод:

=*100% = 43,8%

Вывод: Содержание кислорода 43,8%.

ЗАКЛЮЧЕНИЕ

В курсовом проекте были представлены три главы. Первая глава была посвящена влиянию промышленности на загрязнение воздуха. Здесь были представлены: технологические, вентиляционные и дымовые выбросы их классификации. Механические методы очистки газовых выбросов.

Были рассмотрены сухие и мокрые методы очистки газовых выбросов. Сухие подразделены на: гравитационные, инерционные, осаждение под действием центробежной силы и методы фильтрации.

Мокрый метод основан на механизмах контакта газ-жидкость при котором происходит улавливание: каплями жидкости, цилиндрами, пленками жидкости, в пузырях газа, при ударе газовых струй. К аппаратам мокрого пылеулавливании отнесли: мокрые пылеуловители, капельного, плёночного и барботажного типов. Конструктивно аппараты могут быть полыми, тарельчатыми, механического и ударно-инерционного действия (ротоклоны), а так же скоростного типа (трубы Вентури) и другие.

Вторая глава была посвящена защите атмосферного воздуха, велись следующие расчеты: рассеивание холодных выбросов вредных веществ в атмосферу в соответствии с «Методикой расчета концентрации вредных веществ, содержащихся в выбросах предприятий в атмосферу».

В третьей главе представлены определение условий спуска сточных вод.

В контрольном створе вода водоема не соответствует санитарно-гигиеническим требованиям поэтому требуются очистные сооружения по уменьшению содержанию санитарно токсикологических веществ. Необходимая степень очистки сточных вод по содержанию взвешенных веществ составляет -94%. Необходимая степень очистки сточных вод по содержанию растворенного кислорода составляет -43,8%.

. В первой главе рассмотрены: технологические, вентиляционные и дымовые выбросы, их влияние на загрязнение атмосферного воздуха и организм человека. Были представлены механические методы очистки газовых выбросов: сухие методы очистки, гравитационные пылеуловители, инерционное осаждение, осаждение под действием центробежной силы и методы фильтрации. А так же мокрые методы: электрические методы очистки, ионизация газа, схемы мокрого пылеулавливания.

. В результате выполненной работы была рассчитана концентрация загрязняющих веществ в приземном слое и построен график для наглядного просмотра распространения загрязняющих веществ.

. В контрольном створе вода водоема не соответствует санитарно-гигиеническим требованиям поэтому требуются очистные сооружения по уменьшению содержанию санитарно токсикологических веществ. Необходимая степень очистки сточных вод по содержанию взвешенных веществ составляет -94%. Необходимая степень очистки сточных вод по содержанию растворенного кислорода составляет -43,8%.

СПИСОК ИСПОЛЬЗОВАННОЙ ЛИТЕРАТУРЫ

1.      Калыгин В.Г., Попов Ю.П. экологическая безопасность и ресурсосбережение. М.: Изд-во МГАХМ. - 231с.

.        Бондарева Т.И. Экология химических производств. М.: Изд-во МИХМ. - 213с.

.        Оборудование, сооружения, основы проектирования химико-технологических процессов защиты биосферы от промышленных выбросов/ АИ. Родионов, Ю.П. Кузнецов, В.В. Зенков, Г.С. Соловьев. М.: Химия, 1985. - 541с.

.        Газоочистные аппараты сухого и мокрого типов. Каталог. М.: ЦИНТИХИМНЕФ-ТЕМАШ,1984.92 - 645с.

.        Алешковская В.В. Вентиляционные и аспирационные установки.

.        Кузнецов Р.К.//Промышленная экология. М.: 1991. -785с.

.        Миронов Н.П. указания по проектированию, изготовлению, монтажу и эксплуатации циклонов НИИОГАЗ//. Ярославль, 1971. -89с.

.        Степанов Г.Ю. Зицер И.М. Инерционные воздухоочистители. М.: Машиностроение, 1986. -75с.

.        В.В. Алешковская, Б.А. Краюшкин. М.: Агропромиздат, 1986.- 456с.

.        Кнут В.А. Промышленная экология, М.: 1986. 321с.

.        Ужов В.Н., Вальдберг А.Ю., Мягков Б.И. промышленная экология.М.: -521с.

.        Кушелев В.П. Охраны природы от загрязнений промышленными выбросами Текст. / В.П. Кушелев. М.: Химия, 1979. -845с.

.        Батурин В.В. Основы промышленной вентиляции.М.:МХТИ, 2001-96с.

.        Зайцев В.А. Промышленная экология. М.: МХТИ, 2000.- 32с.

.        Охрана окружающей среды/ C.D. Белоd, Ф.А. Барбинов, А.Ф. Козьяков. М.: 1999.-55с

16.    <http://www.ecolo.ru/technology/sistemy/scrubber/>.

17.       apostolyuk_co/mokri_pilovlovlyuvachi_yihnya_harakteristika_sfera_zastosuvannya.htm.

18.    Страус В. Промышленная очистка газов. М.: Химия, 1981-41с.

.        В.В. Алешковская, Б.А. Краюшкин. М.: Агропромиздат, 1986. -966с.

.        В.В. Ханжонков. - М.: Профиздат, промышленная экология.1965. -21сю.

.        В.М. Гарин, И.А. Кленова, В.И. Колесников, Промышленная экология, Маршрут, 2005.-31с.

.        Оборудование, сооружения, основы проектирования химико-технологических процессов защиты биосферы от промышленных выбросов/М.:2012.-15с.

.        Алиев Г.М.-А. Техника пылеулавливания и очистки промышленных газов. М.: МХТИ, 2002.- 38с.

ПРИЛОЖЕНИЕ 1

Предельно-допустимые концентрации вредных веществ (мг/л) в водных объектах и обобщенный перечень ПДК и ОБУВ для рыбохозяйственных водоемов

Наименование ингредиента

Класс опасности

Водоемы к/б и х/п назначения

Водоемы p/x назначения



ЛПВ

ПДК

ЛПВ

ПДК

Алкилсульфаты

4

органол. пена

0,5

санит.-токс.

0,2

Алюминий

3

0,2

токсикол.

0,04

Анилин

2

санит.-токс.

0,1

токсикол.

0,0001

Аммиак

3

санит.-токс.

2,0

токсикол.

0,05

Ацетальдегид

4

органол. запах

0,2

органолепт.

0,25

Ацетон

3

общесанит.

2,2

токсикол.

0,05

Барий

2

санит.-токс.

0,7

токсикол.

0,74

Бенз(а)-пирен

1

санит.-токс.

5*10-6

-

-

Бензин

3

органол. запах

0,1

рыб .хоз.

0,05

Бензол

2

санит.-токс.

0,5

токсикол.

0,5

Бор

2

санит.-токс.

0,5

санит.-токс.

0,5

Бутанол

2

санит.-токс.

0,1

токсикол.

0,003

Ванадий

3

санит.-токс.

0,1

токсикол.

0,001

Вольфрам

2

санит.-токс.

0,05

токсикол.

0,0008

Гексахлоран

1

органол.

0,02

токсикол.

отсутств

Гидрохинон

3

органол.

0,2

токсикол.

0,001

Диметилсульфид

4

органол. запах

0,01

токсикол.

0,00001

Железо

3

органол. цвет

0,3

токсикол.

0,005

Кадмий

2

санит.-токс.

0,001

токсикол.

0,005

Капролактам

3

общесанит.

1,0

токсикол.

0,001

Карбамидная смола

4

орган. привкус

1,5*

токсикол.

5,0

Керосин технический

4

органол. запах

0,01

рыб .хоз.

0,05

Кислоты лигносульфоновые

4

общесанит.

1,0

санит.-токс.

1,0

Кислота уксусная

4

общесанит.

1,0

токсикол.

0,01

Кобальт

2

санит.-токс.

0,1

токсикол.

0,01

Ксилол

3

органол. запах

0,05

органолепт.

0,05

Лигнин сульфатный

4

органол. окр.

5,0

-

-

Медь

3

органол.

1,0

токсикол.

0,001

Метанол

2

санит.-токс.

3,0

санит.-токс.

0,1

Метилмеркантан

4

органол. запах

0,0002

-

-

Молибден

2

санит.-токс.

0,25

токсикол.

0,001

Мышьяк

1

санит.-токс.

0,01

токсикол.

0,05

Нефть многосернистая

4

органол. пл.

0,1

-

-

Нефть прочая

4

органол. пл.

0,3

рыб. хоз.

0,005

Никель

3

санит.-токс.

0,1

токсикол.

0,01

Нитраты

3

санит.-токс.

45,0

санит.-токс.

40

Нитриты

2

санит.-токс.

3,3

токсикол.

0,08

Нитробензол

3

санит.-токс.

0,2

токсикол.

0,01

ПАВ (ОП-74)

4

органол. пена

0,1

токсикол.

0,3

Пиридин

2

санит.-токс.

0,2

токсикол.

0,01

Резорцин

3

общесанит.

0,1

токсикол.

0,004

Роданиды

2

санит.-токс.

0,01

токсикол.

0,09

Ртуть

1

санит.-токс.

0,0005

токсикол.

0,00001

Свинец

2

санит.-токс.

0,03

токсикол.

0,1

Стирол

3

органол. запах

0,01

органолепт.

0,1

Сульфаты

4

орган. привкус

500

санит.-токс.

100

Сурьма

2

санит.-токс.

0,005

токсикол.

0,01

 Таллий

1

санит.-токс.

0,001

-

-

Теллур

2

санит.-токс.

0,01

токсикол.

0,003

Фенол

4

органол. запах

0,001

рыб. хоз.

0,001

Формальдегид

2

санит.-токс.

0,05

токсикол.

0,1

Фурфурол

4

органол.

0,1

-

-

Хлориды

4

орган. привкус

350

токсикол.

300

Хром (3+)

3

санит. -токс.

0,5

-

-

Хром (6+)

3

санит.-токс.

0,05

санит.-токс.

0,001

Цианиды

2

санит.-токс.

0,1

токсикол.

0,05

Цинк

3

общесанит.

1

токсикол.

0,01

Этиленгликоль


санит.-токс.

1,0

санит.-токс.

0,25


ПРИЛОЖЕНИЕ 2

Требования к воде водотоков и водоемов различного назначения

Показатели

Цели водопользования


Хозяйственно-питьевые нужды населения

Коммунально-бытовые нужды населения

Нужды рыбного хозяйства




высшая и первая категория

вторая категория

Взвешенные вещества

При сбросе возвратных (сточных) вод содержание взвешенных веществ в контрольном створе (пункте) не должно увеличивается по сравнению с естественными условиями более чем на:


0,25 мг/дм3

0,25 мг/дм3

0,75 мг/дм3

Плавающие примеси (вещества)

На поверхности воды не должны обнаруживаться пленки нефтепродуктов, масел, жиров и скопление других примесей

Окраска

Не должна обнаруживаться в столбике высотой

Не должно быть посторонней окраски


20 см

10 см


Температура

Летняя температура воды в результате сброса сточных вод не должна повышаться более чем на 3 0С по сравнению со среднемесячной температурой воды самого жаркого месяца года за последние 10 лет

Температура воды не должна повышаться по сравнению с естественной температурой водного объекта более чем на 5 0С. Общее повышение температуры не должно превышать +28 0С летом и +8 0С зимой.

Водородный показатель (рН)

Не должен выходить за пределы 6,5 - 8,5

Минерализация

Не более 1000 мг/дм3, в том числе хлоридов - 350 мг/дм3, сульфатов - 500 мг/дм3

Нормируется по показателю «привкусы»

Не нормируется

Растворенный кислород

Не должен быть менее 4 мг/дм3 в любой период года

В зимний (подледный) период должен быть не менее



6 мг/дм3

4 мг/дм3



в летний период (открытый) на всех водных объектах должен быть не менее 6 мг/дм3

Биохимическое потребление кислорода (БПК)

Не должно превышать при температуре 20 0С

3 мг О2/дм3

3 мг О2/дм3


3 мг О2/дм3

5 мг О2/дм3



Химические вещества

Не должны содержаться в концентрациях, превышающих ПДКв

Возбудители заболеваний

Должны отсутствовать возбудители заболеваний, в том числе жизнеспособные яйца гельминтов и жизнеспособные цисты патогенных кишечных простейших