Рисунок 2 - Осаждение частиц на шаре (капле)
Инерционная сепарация может происходить в криво- и прямолинейных потоках. При теоретическом рассмотрении циклонной сепарации обычно принимали, что тангенциальная составляющая скорости движения частицы совпадает со скоростью среды, и определяли радиальную составляющую ее относительной скорости, возникающую под действием центробежной силы в зависимости от скорости воздуха и геометрии циклона [18].
Осаждение под действием центробежной силы. Данный метод основан на том, что сто при криволинейном движении пылегазового потока под действием возникающих центробежных сил частицы аэрозоля отбрасываются на периферию аппарата и осаждаются. Этот метод отделения частиц аэрозолей от воздуха (газа) значительно эффективнее гравитационного осаждения, так как возникающая центробежная сила во много раз больше, чем сила тяжести.
Поток запыленного газа подступает в отстойник и ударяется в верхнюю перегородку, при этом крупные частицы оседают в первом бункере. Затем поток газов изменяется. Они проходят нижнюю перегородку и снова изменяют направление, при этом в средний бункер оседают частицы меньших размеров. Далее газы направляются вверх, и весь процесс повторяется.
Метод фильтрации. Механической фильтрацией газов называется их очистка от пыли или других мелких частиц при прохождении через пористые материалы. Эти фильтрующие материалы представляют собой сетку, образованную или волокнами ткани, или зёрнами каких-либо веществ. При прохождении газа через такой тканевый фильтр происходит осаждение присутствующих в нём частиц пыли или жидкости на волокнах фильтрующего материала, а молекулы газа свободно проникают через его поры. Чем больше волокон в структуре фильтрующего материала, тем эффективнее работает фильтр. Однако такое повышение эффективности работы фильтра приводит к увеличению его сопротивления потоку газа, а это нежелательно [19].
Мокрые методы очистки. Процесс мокрого пылеулавливания основан на контакте запыленного газового потока с жидкостью, которая захватывает взвешенные частицы и уносит их из аппарата в виде шлама. Данный метод основан на различных механизмах контакта газ - жидкость, при которых происходит удаление частиц из газа, т.е. улавливание:
каплями жидкости, двигающимся через газ;
цилиндрами (обычно твердыми типа проволок);
пленками жидкости (обычно текущими по твердым поверхностям);
в пузырях газа (обычно поднимающихся в жидкости);
при ударе газовых струй о жидкие или твердые поверхности.
В каждом случае частицы отделяются от газа благодаря одному или нескольким механизмам улавливания: гравитационной седиментации, центробежному осаждению, инерции и касанию, броуновской диффузиофорезу, электростатическому осаждению.
Мокрые способы очистки твердых и жидких аэрозолей имеют существенный недостаток - необходимость отделения уловленного загрязнителя от улавливающей жидкости. По этой причине мокрые способы следуют применять только приотсутствие других методов очистки, отдавая предпочтение способам с минимальным расходом жидкости [20].
Аппараты мокрого пылегазоулавливания. При очистке газов от частиц пыли и для переработки газообразных отходов с целью извлечения из них полезных компонентов или их обезвреживания успешно применяются методы и оборудование, основанные на принципах мокрого пылеулавливания.
В промышленности используют мокрые пылеуловители (промыватели) капельного, пленочного и барботажного типов. Конструктивно аппараты могут быть полыми, тарельчатыми, механического и ударно-инерционного действия (ротоклоны), а также скоростного типа (трубы Вентури и другие инжекторы).
Эффективность очистки пыли зависит от размеров
улавливаемых частиц и от других свойств пыли. Необходимость концентрирования
системы жидкость - твердое тело с возвратом очищенной воды на пылеулавливание,
накопление в орошаемой жидкости растворимых компонентов пыли усложняет систему
мокрого пылеулавливания. В общем виде процесс улавливания пыли мокрым методом
представляется как перенос твердой фазы из газовой среды в жидкую и удаление
последней из аппарата вместе с твердой фазой. В зависимости от формы
контактирования фаз способы мокрой пылеочистки можно разделить на: 1 -
улавливание в объеме жидкости; 2 - улавливание пленками жидкости; 3 -
улавливание распыленной жидкостью в объеме газа (рисунок 3) [21].
Рисунок 3 - Схемы основных способов мокрого
пылеулавливания
Электрические методыочистки. Физическая сущность электроосаждения состоит в том, что газовый поток, содержащий взвешенные частицы, предварительно ионизируют, при этом содержащиеся в газе частицы приобретают электрический заряд в поле коронного заряда. Максимальная величина заряда частиц размером более 0.5 мкм пропорциальна квадрату диаметра частиц, а частиц размером меньше 0.2 мкм - диаметру частиц.
Ионизация газа осуществляется двумя путями:
самостоятельно - при достаточно высокой разности потенциалов на электродах;
несамостоятельно - в результате воздействия излучения радиоактивных веществ и рентгеновских лучей.
Для реализации метода электроосаждения газовый поток направляется внутрь [23].
Выводы: в первой главе были рассмотрены технологические, вентиляционные и дымовые выбросы, их влияние на загрязнение атмосферного воздуха и организм человека.
Были представлены механические методы очистки
газовых выбросов: сухие методы очистки, гравитационные пылеуловители,
инерционное осаждение, осаждение под действием центробежной силы и методы
фильтрации. А так же мокрые методы: электрические методы очистки, ионизация
газа, схемы мокрого пылеулавливания.
2. ЗАЩИТА АТМОСФЕРНОГО ВОЗДУХА
.1 Методика расчета рассеивания
вредных выбросов в атмосфере
Исходные данные для расчета: высота трубы, Н, м - 20 м; температура газового выброса, Тг - 1200С; температура окружающего атмосферного воздуха, Тв- 250С; диаметр устья источника выброса, D, м - 1,4 м; средняя скорость выхода газо-воздушной смеси из устья источника выброса, ω0, м/с - 8 м/с; масса вредного вещества, выбрасываемого в атмосферу, в единицу времени, М, г/с - 10 г/с; максимально разовая предельно допустимая концентрация, ПДКм.р., мг/м3 - 0,6 мг/м3; коэффициент, зависящий от температурной стратификации атмосферы, определяющей условия вертикального и горизонтального рассеивания вредных веществ в атмосферном воздухе А - 200; безразмерный коэффициент, учитывающий скорость оседания вредных веществ в атмосферном воздухе F - 1; безразмерный коэффициент, учитывающий влияние рельефа местности η - 1.
Выполнение расчета:
Расчет объемного расхода газо-воздушной смеси,
поступающей от источника в атмосферу осуществлен по формуле (1):
(1)
где π- 3,14- диаметр устья источника выброса, м;
ωо - средняя
скорость выхода газо-воздушной смеси из устья источника выброса, м/с;
Расчет разности температур выполняется по
формуле (2):
(2)
где
-
температура газового выброса, 0С;
- температура
окружающего атмосферного воздуха, 0С;
(0С )
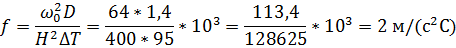
Расчёт коэффициента
,
м/(с2оС), выполняется по формуле (3):
(3)
где ωо - средняя скорость выхода газо-воздушной смеси из устья источника выброса, м/с; - диаметр устья источника выброса, м;- высота источника выброса над уровнем земли, м;
ΔТ - разность между
температурой выбрасываемой газо-воздушной смеси Тг и температурой окружающего
атмосферного воздуха Тв, равной средней температуре самого жаркого месяца в 13
ч, оС;
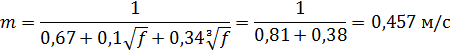
.Безразмерный коэффициент m определяют по
формуле (4):
(4)
где f - коэффициент, м/(с2оС);
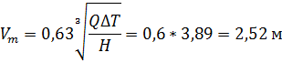
Для нагретых выбросов опасная скорость ветра, Vм
определяется по формуле (5):
(5)
где Q - объемный расход газо-воздушной смеси, поступающей от источника в атмосферу (м3/с);
ΔТ - разность между
температурой выбрасываемой газо-воздушной смеси Тг и температурой окружающего
атмосферного воздуха Тв, равной средней температуре самого жаркого месяца в 13
ч, оС;- высота источника выброса над уровнем земли, м;
Максимальная концентрация См, мг/м3, вредного
вещества в приземном слое при нагретых газопылевых выбросах через трубы с
круглым устьем для одиночного источника определяется по формуле (6):
(6)
где А - коэффициент, зависящий от температурной стратификации атмосферы, определяющей условия вертикального и горизонтального рассеивания вредных веществ в атмосферном воздухе;
М - масса вредного вещества, выбрасываемого в атмосферу, в единицу времени, г/с;- безразмерный коэффициент, учитывающий скорость оседания вредных веществ в атмосферном воздухе;,n- безразмерные коэффициенты, учитывающие условия выхода газо-воздушной смеси из устья источника выброса;- высота источника выброса над уровнем земли, м;
η - безразмерный коэффициент, учитывающий влияние рельефа местности;
ΔТ - разность между
температурой выбрасываемой газо-воздушной смеси Тг и температурой окружающего
атмосферного воздуха Тв, равной средней температуре самого жаркого месяца в 13
ч, оС;- объемный расход газо-воздушной смеси, поступающей от источника в
атмосферу (м3/с);
. Безразмерный коэффициент
,
значение которого для нагретых выбросов определяется по формуле (7):
(7)
где Vм - скорости ветра , м/с;- коэффициент,
м/(с2оС);
. Расстояние хм, м, на котором образуется
максимальная концентрация вредных веществ по оси факела, определяется по
формуле (8):
(8)
.Приземные концентрации вредных веществ в
атмосфере на различных расстояниях от источников выброса по оси факела
определяются по формуле (9,10,11):
(9)
(10)
(11)
где:- безразмерная величина, определяемая в
зависимости от отношения х/хм и коэффициента F;
![]()
График рассеивания приземных концентраций представлен в Приложении 1.
.Предельно допустимый выброс вредного вещества в
атмосферу (ПДВ, г/с) рассчитывается по формуле (12):
(12)
где H - высота источника выброса над уровнем земли, м;- объемный расход газо-воздушной смеси, поступающей от источника в атмосферу (м3/с);
ΔТ - разность между температурой выбрасываемой газо-воздушной смеси Тг и температурой окружающего атмосферного воздуха Тв, равной средней температуре самого жаркого месяца в 13 ч, оС;
А - коэффициент, зависящий от температурной стратификации атмосферы, определяющей условия вертикального и горизонтального рассеивания вредных веществ в атмосферном воздухе;- безразмерный коэффициент, учитывающий скорость оседания вредных веществ в атмосферном воздухе;,n- безразмерные коэффициенты, учитывающие условия выхода газо-воздушной смеси из устья источника выброса;
η - безразмерный
коэффициент, учитывающий влияние рельефа местности;

. Минимальная высота Нmin
(10)
где Q - объемный расход газо-воздушной смеси, поступающей от источника в атмосферу (м3/с);
ΔТ - разность между температурой выбрасываемой газо-воздушной смеси Тг и температурой окружающего атмосферного воздуха Тв, равной средней температуре самого жаркого месяца в 13 ч, оС;
А - коэффициент, зависящий от температурной стратификации атмосферы, определяющей условия вертикального и горизонтального рассеивания вредных веществ в атмосферном воздухе;- безразмерный коэффициент, учитывающий скорость оседания вредных веществ в атмосферном воздухе;,n- безразмерные коэффициенты, учитывающие условия выхода газо-воздушной смеси из устья источника выброса;
η - безразмерный
коэффициент, учитывающий влияние рельефа местности;
Вывод:
Расчет рассеивания холодных выбросов вредных
веществ в атмосфере в соответствии с «Методикой расчета концентрации вредных
веществ, содержащихся в выбросах предприятий в атмосферу»
2.2 Определение категории опасности
предприятия и размера санитарно-защитной зоны
Для определения категории опасности предприятия используют данные о выбросах загрязняющих веществ в атмосферу.
Расчет категории опасности производится по
формуле (11):
(11)
где:- валовый выброс i-того вещества, т/год;
ПДКi - среднесуточная предельно-допустимая концентрация i-того вещества, мг/м3;количество загрязняющих веществ, выбрасываемых предприятием;
αi - безразмерная
константа, позволяющая соотнести степень вредности вещества с вредностью
сернистого газа (определяется по таблице 1).
Таблица 1 - Определение константы αi в зависимости от класса опасности вещества
|
Константа |
Класс опасности |
|||
|
|
1 |
2 |
3 |
4 |
|
αi |
1,7 |
1,3 |
1,0 |
0,9 |
При отсутствии ПДК с.с.i используют ПДКм.р., ОБУВ или уменьшенные в 10 раз значения ПДКр.з.
Значение КОП рассчитывают при условии, когда
при