Материал: Прогнозування соціально-економічних процесів

Внимание! Если размещение файла нарушает Ваши авторские права, то обязательно сообщите нам

Прогнозування соціально-економічних процесів

ПЛАН

Вступ

. Мета та завдання асистентської практики

.        План-конспект лекції

.1       Верифікація прогнозів. EX POST як імітація процесу прогнозування

.2       Поняття тенденції, способи встановлення наявності тенденції

.        Асистентська практика

Висновок

Список використаної літератури

ВСТУП

Головним навчально-методичним документом, що забезпечує комплексний підхід до організації практичної підготовки, системності, безперервності, послідовності навчання студентів, є програма асистентської практики. Основна мета програми полягає у чіткому плануванні та регламентуванні діяльності студентів і керівників під час практики та окреслення її головних результатів.

Програма асистентської практики передбачає планове, поетапне набуття студентами практичних професійних навичок і застосування набутих теоретичних знань із дисципліни «Прогнозування соціально-економічних процесів» у реальних умовах. Програма містить зміст, цілі і завдання асистентської практики, види і терміни проходження практики, бази проходження практики, організацію практики, форми звітності, норми оцінювання роботи студентів під час практики.

У методичних рекомендаціях розглядаються загальні положення проведення науково-дослідної практики, вибір бази проведення практики, питання організації і проведення практики, зміст практики та підведення підсумків асистентської практики студентів факультету перепідготовки та підвищення кваліфікації Одеського Національного університету імені І.І. Мечникова.

Програма і методичні рекомендації «Асистентська практика» можуть бути корисними науково-педагогічним і педагогічним працівникам, магістрам, студентам педагогічних спеціальностей, усім, хто цікавиться проблемами організації та проведення науково-дослідної практики.

1. Мета та завдання асистентської практики

Головна мета асистентської практики магістрів - підготовлення глибоко мислячого спеціаліста, який володіє основами теорії науки і творчої діяльності, практичними навичками збору, оброблення та аналізу даних, результатів наукових експериментів, здатного генерувати ідеї, володіти нахилами і здібностями до наукових повідомлень і прогнозів.

Цілі асистентської практики магістрів:

формування і розвиток професійних знань у галузі дорадництва, закріплення набутих теоретичних знань із дисциплін магістерської програми;

оволодіння необхідними професійними компетенціями за обраним напрямом спеціальної підготовки;

збір фактичного матеріалу для якісного підготовлення випускної магістерської роботи.

Основними завданнями асистентської практики є:

оволодіння сучасною методологією наукового дослідження;

закріплення знань, умінь і навичок, здобутих у процесі вивчення дисциплін за магістерською програмою;

оволодіння сучасними методами збирання, аналізу та оброблення наукової інформації;

оволодіння вміннями викладати здобуті результати у вигляді звітів, публікацій, доповідей;

формування уявлень про сучасні інформаційні технології наукової інформації;

формування навичок самоосвіти і самовдосконалення, сприяння активізації науково-дослідної діяльності магістрантів.

Згідно з вимогами освітньо-професійної програми студенти повинні: знати :

сутність та особливості методології наукового дослідження;

основні принципи роботи з емпіричною базою дослідження;

методи наукових досліджень;

види інформаційного забезпечення та використанні джерел інформації у науково-дослідній роботі;

наукознавчі та методологічні основи наукових досліджень;

особливості організації науково-дослідної роботи;

вимоги до оформлення результатів науково-дослідної роботи;

етичні та правові основи наукової діяльності тощо

уміти :

застосовувати понятійний апарат методології наукових досліджень;

відбирати та аналізувати необхідну інформацію;

формулювати мету, завдання та гіпотезу наукового дослідження;

планувати та проводити емпіричні дослідження;

порівнювати отримані результати дослідження із теоретичними обґрунтуванням проблеми;

формулювати висновки наукового дослідження;

оприлюднювати та упроваджувати результати науково-дослідної практики;

складати звіти та доповіді тощо.

Робота магістрантів під час асистентської практики організується відповідно до логіки роботи над магістерською дисертацією. Вони працюють з першоджерелами, монографіями, авторефератами і дисертаційними дослідженнями, аналізують результати досліджень, консультуються з науковими керівниками і викладачами кафедри.

2.       План-конспект лекції

План лекції:

-30 - вітання зі студентами, перевірка присутніх.

-40 - перевірка готовності групи до заняття.

-50 - виклад основного матеріалу.

-30 - обговорення питань.

-45 - проведення тестових завдань.

-00 - закінчення пари.

.1 Верифікація прогнозів. ex post як імітація процесу прогнозування

Статистичні прогнози ґрунтуються на гіпотезах про стабільність значень величини, що прогнозується; закону її розподілу; взаємозв'язків з іншими величинами тощо. Основний інструмент прогнозування - екстраполяція.

Суть прогнозної екстраполяції полягає в поширенні закономірностей, зв'язків і відношень, виявлених в t-му періоді, за його межі.

Залежно від гіпотез щодо механізму формування і подальшого розвитку процесу використовуються різні методи прогнозної екстраполяції. Їх можна об'єднати в дві групи:

-   екстраполяція закономірностей динаміки - тренду і коливань;

-        екстраполяція причинно-наслідкового механізму формування процесу - факторне прогнозування.

Ці методи різняться не процедурою розрахунків прогнозу, а способом описування об'єкта моделювання. Екстраполяція закономірностей розвитку ґрунтується на вивченні його передісторії, виявленні загальних і усталених тенденцій, траєкторій зміни в часі. Абстрагуючись від причин формування процесу, закономірності його розвитку розглядають як функцію часу. Інформаційною базою прогнозування слугують одномірні динамічні ряди.

Важливим етапом статистичного прогнозування є верифікація прогнозів, тобто оцінювання їх точності та обґрунтованості. Ha етапі верифікації використовують сукупність критеріїв, способів і процедур, які дають можливість оцінити якість прогнозу.

Найбільш поширене ретроспективне оцінювання прогнозу, тобто оцінювання прогнозу для минулого часу (ex-post прогноз). Процедура перевірки така. Динамічний ряд поділяється на дві частини: перша - для t= 1,2,3, ...,p - називається ретроспекцією (передісторією), друга - для t=p + 1, p + 2, p + 3, ..., p +(n -р) - прогнозним періодом.

За даними ретроспекції моделюється закономірність динаміки і на основі моделі розраховується прогноз Yp+v, де v - період упередження. Ретроспекція послідовно змінюється, відповідно змінюється прогнозний період, що унаочнює рис. 2.10 (для v = 1).

Рис. 2.10 - Схема ретроспективної перевірки точності прогнозу для v =1

Оскільки фактичні значення прогнозного періоду відомі, то можна визначити похибку прогнозу як різницю фактичного уt і прогнозного Yt рівнів: et = yt - Yt. Всього буде n -р похибок. Узагальнюючою оцінкою точності прогнозу слугує середня похибка:

абсолютна , квадратична  .

Для порівняння точності прогнозів, визначених за різними моделями, використовують похибку апроксимації (%):

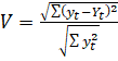
При оцінюванні та порівнянні точності прогнозів використовують також коефіцієнт розбіжності Г. Тейла, який дорівнює нулю за відсутності похибок прогнозу і не має верхньої межі:

 

Існуючі методи верифікації прогнозів у більшості своїй ґрунтуються на статистичних процедурах, які зводяться до побудови довірчих меж прогнозу, себто до побудови інтервальних прогнозів.

Помилки ex post прогнозів можна оцінювати таким же чином, як ми оцінювали залишки моделі. Тобто ми можемо розглянути відповідні значення MSE, MAD і МАРE.

Для оцінки помилок ex post прогнозів використовується також число, яке називається коефіцієнтом нерівності Тейла (Theil's inequality coefficient):

 

де T - число ex post прогнозів.

Еx post - один з найнадійніших методів при виборі моделі прогнозування. При цьому особливу увагу слід звертати на останні значення моделі. Стабільність коефіцієнтів моделі, разом з іншими характеристиками, які вказують на достатньо високу точність (R2, MAD і МАРE), говорить на користь вибраної моделі.

Перш ніж приступити безпосередньо до прогнозування майбутніх значень, прогнозист повинен спочатку зрозуміти ті кількісні закономірності (або хоча б частина з них), які лежать в основі бізнес-процесу. Єдине, що він має в розпорядженні, це початкові дані. Звідси витікає, що на початку прогнозист повинен створити модель, яка достатньо добре описувала б саме початкові дані. Різниця між істинним і прогнозованим значеннями називається помилкою прогнозу.

Тут потрібно відзначити, що прогнозовані значення необов'язково повинні відноситися до майбутнього. Прогнозувати можна будь-які величини, що не входять в набір початкових даних. Подібні прогнозовані значення часто використовуються, коли необхідно відновити дані, відсутні через які-небудь причини.

Ідея ex post прогнозування. З цією метою початкові дані розбиваються на дві групи, так щоб в другій групі знаходилися пізніші дані, що становлять звично приблизно 15% всієї інформації. Ці дані будуть потім використовуватися для тестування. При невеликому об'ємі початкових даних в другій групі можна розглядати до 30% початкової інформації.

Але спочатку ми повинні задати горизонт прогнозування. При цьому кожного разу ми порівнюватимемо набуті значення з наявною інформацією. У цьому якраз і полягає головна перевага ex post прогнозування. При звичному прогнозуванні у нас такої можливості немає. Припустимо, що нас цікавить прогноз на один квартал вперед і ми хочемо протестувати лінійну модель. Нижче ми приводимо докладний алгоритм ex post прогнозування.

Алгоритм ex post прогнозування:

1. Знаходимо лінію регресії L для перших 13 значень.

2. З рівняння L визначаємо прогноз на 14-й квартал.

3. Порівнюємо одержаний прогноз з наявною інформацією за 14-й квартал. Знаходимо помилку.

4. Повторюємо пункти 1-3 послідовно для перших 14, 15 і 16 значень.

В результаті ми одержуємо таблицю, що містить ex post прогнози і відповідні помилки для останніх чотирьох кварталів.

В процесі ex post прогнозування, додаючи нові дані, ми кожного разу одержували інше рівняння. Це приклад рекурсивного ex post прогнозування, на відміну від нерекурсивного, при якому рівняння, одержане за даними першої групи, залишається незмінним.

.2 Поняття тенденції, способи встановлення наявності тенденції

Під тенденцією розуміють деякі загальні напрямки розвитку процесу (явища), довгострокову закономірність.

При прогнозуванні методами екстраполяції виходять з інерційності явищ (процесів), що досліджуються і прогнозуються.

Ступінь інерційності залежить від розміру і масштабу процесу, що вивчається. На мікрорівні вплив окремого фактора може миттєво змінити ситуацію, в той час, коли на макрорівні, через дії багатьох факторів, які здійснюють часом протилежний один одному вплив, інерційність зберігається у більшій мірі.

При значній інерційності економічних процесів (явищ), що досліджуються, можна з достатнім ступенем імовірності сподіватися, що закономірності, які виникли в «передісторії», будуть з незначними змінами діяти і в прогнозованому періоді.

Основу екстраполяційних методів прогнозування складають динамічні ряди. Є ряд способів перевірки гіпотези про існування тенденції у динамічному ряду.

Один з найпростіших методів базується на порівнянні середніх рівнів ряду. Для цього динамічний ряд розбивається на дві, приблизно рівні частини за кількістю елементів. Кожна частина розглядається умовно як самостійна сукупність. Якщо динамічний ряд має певну тенденцію, то середні, які обчислені для кожної сукупності, повинні суттєво розрізнятися між собою. Якщо ж розходження будуть незначними, тобто випадковими, то динамічний ряд тенденції не має.

Для оцінки істотності відмінності між середніми значеннями двох динамічних рядів використовується t-критерій Стьюдента.

Розходження буде істотним, якщо розрахункове значення t-критерія Стьюдента(tp) буде не менше його табличного значення (tT).

Розрахункове значення t-критерія обчислюється таким чином:

 (3.1)

де середнє значення рівня відповідно до першої і другої частин ряду, розрахованих для інтервальних динамічних рядів як середнє арифметичне:

 (3.2)

де n1,n2 - кількість елементів відповідно першої і другої частин ряду.

- стандартне відхилення.

 - дисперсія відповідно першій і другій частин ряду.

 (3.3)

2.      

3.       Асистентська практика

прогнозування тенденція точність post

Я, Коваленко Ліана Арменівна проходила асистентську практику з 25.09 - 15.10. 2017 року в Одеському Національному університеті ім. І. І. Мечникова, на кафедрі економічної кібернетики та інформаційних технологій, що включала в себе: інформування керівником про зміст та цілі практики, узгодження тем для проведення семінарських занять з відповідного предмету ("Прогнозування соціально-економічних процесів" ), підбір літератури, заповнення щоденника практики у відповідності з вимогами.

Асистентська практика студентів-магістрів покликана підготувати їх до трудової діяльності з напрямку "Економічна кібернетика". Теоретичну базу цієї практики утворюють, насамперед, теоретичні і практичні курси та дисципліни, що вивчалися впродовж набуття ступеню бакалавра.

Цілі (завдання) асистентської практики були поставлені наступні:

. Здійснення первинної адаптації студентів до професійної діяльності викладача кафедри економічної кібернетики та інформаційних технологій.

. Розвиток базових адаптаційних, пізнавальних, комунікативних, організаційних, проектувальних, і інших умінь самостійного здійснення навчальної й навчально-методичної діяльності викладача.

. Застосування теоретичних знань з вивчених предметів.

. Розвиток і удосконалення навичок самопідготовки.

Під час проходження практики, за завданням керівника, я підготувала і провела семінарські заняття з дисципліни: "Прогнозування соціально-економічних процесів"; формулювала і вирішувала різні завдання, що виникають в ході науково-педагогічної діяльності.

З дисципліни " Прогнозування соціально-економічних процесів " було проведено семінарське заняття у групі 4 курсу та було розглянуто наступні теми: 1) верифікація прогнозів, EX POST метод як імітація процесу; 2) поняття тенденції, способи встановлення наявності тенденції.