Выбор сечений линий:
|
№ |
ЛЭП |
l, км |
Iмак, А |
n |
Iц, А |
FЭК мм2 |
Сечение |
Вид аварии |
Iп/а, А |
Iдоп, А |
Решение |
|
1 |
А7 |
27 |
241,1 max |
2 |
120,55 |
115,07 |
2АС-120 |
Обр. 1ц |
245,16 |
390 |
2АС-120 |
|
2 |
А4 |
40 |
385.49 min |
1 |
385.49 |
367.97 |
2АС-185 |
Обр. 53 |
755,04 |
1020 |
2АС-185 |
|
|
|
|
|
2 |
219.12 |
209.16 |
2АС-185 |
|
|
|
|
|
3 |
А3 |
32 |
470,72 min |
2 |
235,36 |
224,66 |
2АС-240 |
762,06 |
1210 |
2АС-240 |
|
|
4 |
35 |
26 |
408,92 min |
1 |
408,92 |
390,33 |
2АС-185 |
Обр. 24 |
728,04 |
1210 |
2АС-240 |
|
|
|
|
|
2 |
225,5 |
215,25 |
2АС-240 |
|
|
|
|
|
5 |
51 |
31 |
421 min |
1 |
421 |
401,86 |
2АС-185 |
Обр. 24 |
725,36 |
1210 |
2АС-240 |
|
|
|
|
|
2 |
239,84 |
228,9 |
2АС-240 |
|
|
|
|
|
6 |
42 |
31 |
282,09 |
1 |
282,09 |
269,27 |
АС-240 |
Обр. 1ц 3А |
334,3 |
605 |
АС-240 |
|
7 |
12 |
38 |
190,83 |
1 |
190,83 |
182,16 |
АС-185 |
Обр. 1ц 3А |
242,61 |
510 |
АС-185 |
Приведу таблицу ветвей RASTR с указанием токов в ветвях после выбора количества цепей и сечений. (минимальный режим):
|
Tип |
N_нач |
N_кон |
I_нач |
I_кон |
|
ЛЭП |
1 |
2 |
190,83 |
185,49 |
|
ЛЭП |
2 |
4 |
282,03 |
278,11 |
|
ЛЭП |
4 |
10 |
183,08 |
178,10 |
|
ЛЭП |
4 |
10 |
183,08 |
178,10 |
|
ЛЭП |
1 |
5 |
239,84 |
235,80 |
|
ЛЭП |
1 |
5 |
239,84 |
235,80 |
|
ЛЭП |
5 |
3 |
253,92 |
250,48 |
|
ЛЭП |
5 |
3 |
253,92 |
250,48 |
|
ЛЭП |
3 |
10 |
285,01 |
280,84 |
|
ЛЭП |
3 |
10 |
285,01 |
280,84 |
|
ЛЭП |
10 |
7 |
70,33 |
72,96 |
|
ЛЭП |
10 |
7 |
70,33 |
72,96 |
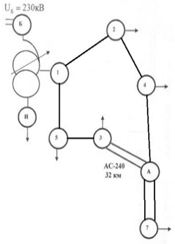
Выбор сечений линий электропередачи (вариант 3)
Расчет токов в сети (максимальный режим)
Расчет токов в сети (минимальный режим)
Данные RASTR: максимальный режим
|
Tип |
N_нач |
N_кон |
I_нач |
I_кон |
|
ЛЭП |
1 |
2 |
74,00 |
67,11 |
|
ЛЭП |
2 |
4 |
195,79 |
191,63 |
|
ЛЭП |
4 |
10 |
343,08 |
338,05 |
|
ЛЭП |
5 |
3 |
30,81 |
29,03 |
|
ЛЭП |
5 |
3 |
30,81 |
29,03 |
|
ЛЭП |
3 |
10 |
246,95 |
242,78 |
|
ЛЭП |
3 |
10 |
246,95 |
242,78 |
|
ЛЭП |
10 |
7 |
120,14 |
122,83 |
|
ЛЭП |
10 |
7 |
120,14 |
122,83 |
|
ЛЭП |
1 |
3 |
339,03 |
333,10 |
минимальный режим
|
Tип |
N_нач |
N_кон |
I_нач |
I_кон |
|
||||||||||
|
ЛЭП |
1 |
2 |
166,22 |
160,79 |
|
||||||||||
|
ЛЭП |
2 |
4 |
257,60 |
253,72 |
|
||||||||||
|
ЛЭП |
4 |
10 |
342,61 |
337,53 |
|
||||||||||
|
ЛЭП |
5 |
3 |
18,08 |
16,58 |
|
||||||||||
|
ЛЭП |
5 |
3 |
18,08 |
16,58 |
|
||||||||||
|
ЛЭП |
3 |
10 |
284,75 |
280,59 |
|
||||||||||
|
ЛЭП |
3 |
10 |
284,75 |
280,59 |
|
||||||||||
|
ЛЭП |
10 |
7 |
68,73 |
71,41 |
|
||||||||||
|
ЛЭП |
10 |
7 |
68,73 |
71,41 |
|
||||||||||
|
ЛЭП |
1 |
3 |
479,40 |
474,28 |
|
||||||||||
|
№ |
ЛЭП |
l, км |
Iмак, А |
n |
Iц, А |
FЭК мм2 |
Сечение |
Вид аварии |
Iп/а, А |
Iдоп, А |
Решение |
||||
|
1 |
А7 |
27 |
245,6 max |
2 |
122,83 |
117,25 |
2АС-120 |
Обр. 1ц |
249,83 |
390 |
2АС-120 |
||||
|
2 |
13 |
39 |
479,45 min |
1 |
479,45 |
457,66 |
2АС-240 |
Обр. А4 |
810,96 |
1210 |
2АС-240 |
||||
|
|
|
|
|
2 |
281.67 |
268.87 |
2АС-240 |
|
|
|
|
||||
|
3 |
3А |
32 |
652,96 min |
2 |
326,48 |
311,64 |
2АС-240 |
Обр. А4 |
900,9 |
1210 |
2АС-240 |
||||
|
4 |
А4 |
40 |
286,01 min |
1 |
286,01 |
273 |
АС-240 |
Обр. 1ц А3 |
341,05 |
605 |
АС-240 |
||||
|
5 |
42 |
31 |
198,83 min |
1 |
198,83 |
189,8 |
АС-185 |
Обр. 1ц А3 |
255,29 |
510 |
АС-185 |
||||
|
6 |
12 |
38 |
107,9 min |
1 |
107,9 |
103 |
АС-120 |
Обр. 1ц А3 |
164,66 |
390 |
АС-120 |
||||
|
7 |
53 |
26 |
61,46 max |
2 |
30,73 |
29,33 |
2АС-120 |
Обр. 1ц |
63,79 |
390 |
2АС-120 |
||||
Опытным путем было определено, что выбор сечений
начинать с усиления цепи 42 нецелесообразно. При избытке мощности полезно усилить
линию 31, чтобы обеспечить транзит мощности в соседнюю энергосистему по
кратчайшему пути от ТЭЦ. За счет этого произойдет, также, уменьшение
капиталовложений в линии.
Приведу таблицу ветвей RASTR с указанием токов в ветвях после выбора количества цепей в минимальном режиме:
|
Tип |
N_нач |
N_кон |
I_нач |
I_кон |
1 |
2 |
107,91 |
102,06 |
|
ЛЭП |
2 |
4 |
198,83 |
195,05 |
||||
|
ЛЭП |
4 |
10 |
286,01 |
281,21 |
||||
|
ЛЭП |
5 |
3 |
18,78 |
17,29 |
||||
|
ЛЭП |
5 |
3 |
18,78 |
17,29 |
||||
|
ЛЭП |
3 |
10 |
326,48 |
322,43 |
||||
|
ЛЭП |
3 |
10 |
326,48 |
322,43 |
||||
|
ЛЭП |
10 |
7 |
71,03 |
73,64 |
||||
|
ЛЭП |
10 |
7 |
71,03 |
73,64 |
||||
|
ЛЭП |
1 |
3 |
281,68 |
276,62 |
||||
|
ЛЭП |
1 |
3 |
281,68 |
276,62 |
Максимальный режим:
|
Tип |
N_нач |
N_кон |
I_нач |
I_кон |
|
ЛЭП |
1 |
2 |
60,87 |
56,66 |
|
ЛЭП |
2 |
4 |
153,88 |
149,91 |
|
ЛЭП |
4 |
10 |
305,06 |
300,37 |
|
ЛЭП |
5 |
3 |
31,72 |
29,97 |
|
ЛЭП |
5 |
3 |
31,72 |
29,97 |
|
ЛЭП |
3 |
10 |
275,73 |
271,59 |
|
ЛЭП |
3 |
10 |
275,73 |
271,59 |
|
ЛЭП |
10 |
7 |
123,27 |
125,90 |
|
ЛЭП |
10 |
7 |
123,27 |
125,90 |
|
ЛЭП |
1 |
3 |
198,31 |
192,45 |
|
ЛЭП |
1 |
3 |
198,31 |
192,45 |
Выбор сечений линий электропередачи (вариант 4)
Максимальный режим
Минимальный режим
Данные RASTR.
Максимальный режим:
|
TипN_начN_конI_начI_кон |
|
|
|
|
|
ЛЭП |
1 |
2 |
86,74 |
89,48 |
|
ЛЭП |
1 |
2 |
86,74 |
89,48 |
|
ЛЭП |
4 |
10 |
72,08 |
68,28 |
|
ЛЭП |
4 |
10 |
72,08 |
68,28 |
|
ЛЭП |
1 |
5 |
202,99 |
198,41 |
|
ЛЭП |
5 |
3 |
257,19 |
253,59 |
|
ЛЭП |
3 |
10 |
345,81 |
341,40 |
|
ЛЭП |
3 |
10 |
345,81 |
341,40 |
|
ЛЭП |
10 |
7 |
118,50 |
121,23 |
|
ЛЭП |
10 |
7 |
118,50 |
121,23 |
|
ЛЭП |
1 |
3 |
331,85 |
326,27 |
Минимальный режим:
|
Tип |
N_нач |
N_кон |
I_нач |
I_кон |
|
|||||||||||
|
ЛЭП |
1 |
2 |
50,82 |
53,37 |
|
|||||||||||
|
ЛЭП |
1 |
2 |
50,82 |
53,37 |
|
|||||||||||
|
ЛЭП |
4 |
10 |
42,00 |
38,45 |
|
|||||||||||
|
ЛЭП |
4 |
10 |
42,00 |
38,45 |
|
|||||||||||
|
ЛЭП |
1 |
5 |
289,07 |
285,20 |
|
|||||||||||
|
ЛЭП |
5 |
3 |
321,67 |
318,35 |
|
|||||||||||
|
ЛЭП |
3 |
10 |
412,80 |
408,51 |
|
|||||||||||
|
ЛЭП |
3 |
10 |
412,80 |
408,51 |
|
|||||||||||
|
ЛЭП |
10 |
7 |
67,89 |
70,60 |
|
|||||||||||
|
ЛЭП |
10 |
7 |
67,89 |
70,60 |
|
|||||||||||
|
ЛЭП |
1 |
3 |
443,82 |
438,90 |
|
|||||||||||
|
№ |
ЛЭП |
l, км |
Iмак, А |
n |
Iц, А |
FЭК мм2 |
Сечение |
Вид аварии |
Iп/а, А |
Iдоп, А |
Решение |
|||||
|
1 |
12 |
38 |
178.96 max |
2 |
89.48 |
85.4 |
2АС-120 |
Обр. 1ц |
181,74 |
390 |
2АС-120 |
|||||
|
2 |
4А |
40 |
144,16 max |
2 |
72,08 |
68,8 |
2АС-120 |
Обр. 1ц |
146,28 |
390 |
2АС-120 |
|||||
|
3 |
7А |
27 |
242,46 max |
2 |
121,23 |
115,72 |
2АС-120 |
Обр. 1ц |
246,51 |
390 |
2АС-120 |
|||||
|
4 |
А3 |
32 |
825,6 min |
2 |
412,8 |
394 |
3АС-240 |
Обр. 1ц |
825,5 |
1210 |
3АС-240 |
|||||
|
|
|
|
|
3 |
280.83 |
268.06 |
3АС-240 |
|
|
|
|
|||||
|
5 |
13 |
39 |
454,48 min |
1 |
454,48 |
433,82 |
2АС-240 |
Обр. 53 |
792,22 |
1210 |
2АС-240 |
|||||
|
|
|
|
|
2 |
294,38 |
281 |
2АС-240 |
|
|
|
|
|||||
|
6 |
53 |
26 |
219,55 min |
1 |
219,55 |
209,6 |
АС-185 |
Обр. 1ц 13 |
328,82 |
510 |
АС-185 |
|||||
|
7 |
15 |
31 |
186,81 min |
1 |
186,81 |
178,3 |
АС-185 |
Обр. 1ц 13 |
296,56 |
510 |
АС-185 |
|||||