Проектирование механического привода с коническим редуктором
Введение
Целью выполнения курсовой работы является закрепление знаний полученных ранее освоенных дисциплин и использование их при проектировании механического привода. Задачами работы являются подбор электрического двигателя, выполнение кинематического расчета, расчет ременной передачи и редуктора, определение геометрических и конструкционных размеров деталей и проверок их на прочность.
При выполнении графической части работы использованы результаты проведенных расчетов.
Поставленные задачи решались с учетом изменений действующих стандартов и рекомендаций учитывающих опыт создания и эксплуатации подобных устройств.
Объектом проектирования является механически привод, состоящий из электродвигателя, ременной передачи и конического редуктора.
Выполненные расчеты позволили определить геометрические и конструкционные размеры деталей, проверить их на прочность, выполнить эскизную компоновочную схему, сборочный чертеж редуктор, рабочие чертежи деталей.
Полученные результаты могут быть использованы при создании опытного образца изделия.
1. Кинематический расчет и выбор электродвигателя
.1 Определение потребной мощности и
выбор электродвигателя
Рис. 1
Механический привод состоит из электродвигателя 1, ременной передачи и редуктора. Ременная передача включает в себя ведущий 2 и ведомый 3 шкивы, ремень 4. Зубчатые колеса 5 - конические прямозубые, коническая шестерня выполнена заодно с входным валом 6, колесо насажено на выходной вал 7. Подшипники 8 поддерживают валы и позволяют им свободно вращаться. Зубчатые колеса, валы и подшипники расположены внутри закрытого чугунного корпуса 9. Выходной вал редуктора соединен с приемным валом машины 10 муфтой 11.
Equation
Section 1Общий КПД привода
, (1.1)
где
-
КПД клиноременной передачи,
;
- КПД конической
зубчатой передачи;
- КПД одной пары
подшипников.
.
Потребная мощность, кВт,
, (1.2)
где
-
мощность на выходном валу редуктора, кВт.
По потребной мощности из таблицы П.1 выбираем
тип электродвигателя так, чтобы
,
где
-
номинальная мощность электродвигателя, указанная в каталоге.
Выбранный электродвигатель 4А132 4, имеет следующие параметры:
Номинальная мощность ![]()
;
Частота вращения ![]()
;
Диаметр вала ![]()
.
1.2 Определение передаточного числа
Общее передаточное число привода
, (1.4)
где
-
рабочая частота вращения вала электродвигателя, об/мин;
- частота вращения
выходного вала редуктора, об/мин.
Общее передаточное число привода можно
представить и как произведение:
, (1.5)
где
-
передаточное число ременной и конической передачи редуктора соответственно.
Из условия рационального соотношения размеров
диаметра ведомого шкива ременной передачи и редуктора, в расчете примем
. (1.6)
Передаточное число редуктора
, (1.7)
1.3 Частоты и угловые скорости
вращения валов редуктора
Частота вращения входного вала, об/мин
, (1.8)
Частота вращения выходного вала, об/мин
, (1.9)
Угловая скорость входного вала, с-1
, (1.10)
Угловая скорость выходного вала, с-1
, (1.11)
1.4
Мощности
и
вращающие
моменты
на
валах
редуктора
Мощность на входном валу редуктора, кВт
, (1.12)
Мощность на выходном валу редуктора, кВт
, (1.13)
Момент на входном валу редуктора, Н∙м
, (1.14)
Момент на выходном валу редуктора, Н∙м
, (1.15)
Equation Section 2
Equation Section (Next)2 Расчет плоскоременной передачи
Расчет плоскоременной передачи заключается в определении геометрических размеров и долговечности приводного ремня.
Диаметр ведущего шкива передачи, мм,
; (2)
мм.
Найденное значение округляем до ближайшего стандартного d1=200 мм.
Из условия рационального соотношения размеров диаметра ведомого шкива ременной передачи и редуктора рекомендуется в расчетах принять следующее передаточное число ременной передачи: 1<Up≤2.
Диаметр ведомого шкива, мм,
d2=Upd1;
мм
Найденное значение d2 округляем до ближайшего стандартного d2=400
Межосевое расстояние, мм,
мм
Длина ремня, мм,
мм
Угол обхвата меньшего шкива, град.,
,
град
Скорость ремня, м/с,
,
м/с
В зависимости от скорости выбирается тип ремня В.
Допускаемая удельная тяговая способность ремня,
Н/мм2 ,
,
Оптимальная удельная тяговая способность ремня, Н/мм2,
,
Наибольшее распространение имеют прорезиненные
ремни. Поэтому коэффициенты a,
и W выбираются для
прорезиненных ремней при отношении δ/d1
= 1/40.
Н/мм2
Коэффициент, учитывающий влияние угла обхвата
меньшего шкива,
,
Коэффициент, учитывающий влияние скорости ремня,
,
![]()
Н/мм2
Окружное усилие, Н
,
H
Требуемая площадь поперечного сечения ремня,
мм2,
,
мм2
где b - ширина ремня, мм;
δ- толщина ремня, мм.
Ориентировочная толщина ремня определяется с
учетом выполнения условия, мм:
,
мм
где di - диаметр малого шкива, принятый из стандарта, мм.
Толщина одной прокладки δ1
принимается в зависимости от типа ремня и конструкции. Для ремней типа Б
рекомендуется принимать δ1 = 1,5 мм.
Тогда количество прокладок
Найденное значение округляется до ближайшего стандартного z=3
Уточняется толщина ремня, мм.
,
мм
Ширина ремня, мм.
,
Значение b округляется до ближайшего стандартного b=60.
Уточненное значение площади сечения ремня, мм2 ,
мм2
Рассчитанный ремень проверяется на прочность и
долговечность. При проверке на прочность определяется максимальное напряжение в
сечении, набегающем на ведущий шкив:
где σ1- напряжение, обусловленное величиной силы Ft , действующей в ведущей ветви ремня передачи, Н/мм2,
Н/мм2
σ0 -напряжение от предварительного натяжения, принимаемое для плоских прорезиненных ремней равным 1,8 Н/мм2 ;
σn
-напряжение, обусловленное изгибом ремня при огибании ведущего шкива, Н/мм2 ,
Н/мм
Еи - модуль упругости при изгибе для прорезиненных ремней, Н/мм2,
Еи = 80 - 100 Н/мм2;
σv-
напряжение, обусловленное действием центробежной силы, Н/мм2,
Н/мм2
ρ = 1200 - плотность прорезиненного ремня, кг/м ;
v - скорость ремня,
м/с.
Н/мм2
При расчете передачи должно выполняться условие
прочности:
Для прорезиненных ремней [σр ]=6-8 Н/мм .
Расчетная долговечность ремня, ч,
ч
где m = 5 - для плоских ремней;
- базовое число циклов;
бу = 7 - предел выносливости для прорезиненных ремней без прослоек, Н/мм2;
v-
-частота
пробегов ремня в секунду;
v=4,56
Сi =1,35- коэффициент, учитывающий влияние передаточного числа;
Сн - коэффициент, учитывающий непостоянство нагрузки; при постоянной нагрузке Сн = 1.
Сила давления на валы для передачи с
периодическим регулированием начального натяжения ремня
Н/м
Рассчитанная ременная передача имеет следующие
параметры
d1=200 мм; d2=400 мм; а=1200 мм;
L=3350 мм; V=15,289 м/с; α1=170,5 град;
А=270 мм2; b=60 мм; δ=4,5 мм;
H0=1997 ч; Ft=546,21
Н Тип ремня Б
Условие расчета плоскоременной передачи
удовлетворяется.
2. Расчет и конструирование редуктора
.1 Материалы зубчатых колес
Тип редуктора - конический одноступенчатый, с прямозубыми колесами.
Основным материалом для изготовления зубчатых колес
служат термически обрабатываемые стали. Учитывая, что заданием предусмотрено
проектирование индивидуального привода, выбираем материал для зубчатых колес с
твердостью
, позволяющей
производить нарезание зубьев после термообработки. Для лучшей приработки зубьев
твердость шестерни назначаем большей твердости колеса на 30 - 50 единиц:
Таблица 2 - Механические характеристики
материалов зубчатых колес
Зубчатое
колесо
Марка
стали
Термообработка
Твердость
сердце- вины HB, кгс/мм2
Шестерня
40ХН
улучшение
300
Колесо
40ХН
нормализация
250
2.2 Определение геометрических
параметров конической передачи редуктора
Параметры зубчатой конической передачи с прямыми
зубьями определяем в соответствии с ГОСТ 19624-74. Зацепление передачи -
эвольвентное, без смещения. Для зубчатых колес принимаем 7-ю степень точности
по нормам плавности.
Рис. 2. Зубчатая коническая передача
Начальный средний диаметр
где T1
- вращающий момент на входном валу, Н∙м;
Рис. 3. Коэффициент неравномерности
распределения нагрузки по длине контактных линий
Uк - передаточное
число конической передачи редуктора;
где где Nk2 -
суммарное число циклов напряжений, миллионов циклов,
где n2
- частота вращения выходного вала, об/мин;
Lh - ресурс
(долговечность) передачи, ч;
Так как Число зубьев шестерни принимаем
Число зубьев колеса
z2=52.
Угол наклона делительного конуса шестерни
Угол наклона делительного конуса колеса
Средний модуль зубьев, мм,
Ширина зубчатого венца, мм,
Внешний окружной делительный модуль зубьев, мм,
Значение m
округляем до ближайшего по ГОСТ 9563-60
Средний модуль, мм,
Значение mm
не округляем.
Начальный средний диаметр шестерни, мм,
Окружная скорость передачи, м/с,
В соответствии с ГОСТ 13754-81 коэффициент
высоты головки зубьев ha*=1
и коэффициент радиального зазора C*=0,2.
Высота головок зубьев, мм,
Высота ножек зубьев, мм,
Высота зубьев, мм
Делительные диаметры колес, мм,
Внешние диаметры вершин и диаметры впадин:
для шестерни - для колеса - Внешнее конусное расстояние, мм,
Среднее делительное конусное расстояние, мм,
2.2.1 Проверочный расчет зубьев
колес на контактную прочность
Для проверки рабочих поверхностей зубьев на
контактную прочность необходимо определить рабочие контактные напряжения σН
и сравнить их с допускаемыми σНР.
Должно выполняться условие:
где σН
- рабочее контактное напряжение, МПа;
KHβ -
коэффициент, учитывающий неравномерность распределения нагрузки по длине
контактных линий после приработки,
где KHω -
коэффициент, учитывающий приработку зубьев (таблица 4.4[1]),
Условие прочности рабочих поверхностей зубьев
выполняется.
2.2.2 Проверочный расчет зубьев
колес по напряжениям изгиба
Напряжения изгиба в зубьях шестерни, МПа,
где YFS1
- коэффициент, учитывающий форму зуба шестерни и концентрацию напряжений
(таблица 4.5[1]),
KFβ -
коэффициент, учитывающий неравномерность распределения напряжений у основания
зубьев по ширине зубчатого венца,
KFV -
коэффициент, учитывающий внутреннюю динамику нагружения, связанную с ошибками
шагов зацепления шестерни и колеса (таблица 4.6[1]),
Допускаемое напряжение изгиба, МПа,
где σF
lim b1
= 1.75HB1 - предел
выносливости при нулевом цикле напряжений,
YN1 -
коэффициент долговечности,
где NFG=4∙106
- число циклов, соответствующее пределу кривой усталости;
Nk1 -
суммарное число циклов напряжений, миллионов циклов,
так как Nk1≥
NFG - принимаем YN1
= 1;
YR=1 -
коэффициент учитывающий шероховатость переходной поверхности;
YA=1 -
коэффициент, учитывающий одностороннее приложение нагрузки;
SF=1,7 -
коэффициент запаса прочности;
Условие прочности по напряжениям изгиба,
выполняется.
Напряжения изгиба в зубьях колеса, МПа,
где YFS2
- коэффициент, учитывающий форму зуба колеса и концентрацию напряжений (таблица
4.5[1]),
Допускаемое напряжение изгиба, МПа,
где σF
lim b
= 1.75HB2 - предел
выносливости при нулевом цикле напряжений,
YN2 -
коэффициент долговечности,
где Nk2
- суммарное число циклов напряжений, миллионов циклов,
так как Nk1≥
NFG - принимаем YN1
= 0,478;
Условие прочности по напряжениям изгиба,
выполняется.
2.3 Ориентировочный расчет и
конструирование валов
Входной вал где T1
- вращающий момент на валу, Н∙мм;
[τk]
= 25 МПа - допускаемое напряжение кручения для среднеуглеродистых сталей 35,
40, 45.
Округлим диаметр d1
до ближайшего стандартного (таблица П.4[1]), мм,
Диаметр вала под уплотнение, мм,
где t
- высота буртика (таблица П.5[1]),
По таблице П.6[1] - согласуем диаметр dупл
с диаметром уплотнения,
Диаметр вала под резьбу, мм,
Размеры канавки под язычок стопорной шайбы
(таблица П.8[1]), мм,
Диаметр вала в месте посадки подшипника (Рис.
3.4) может быть равен диаметру резьбы, или несколько больше его, но кратен пяти
Рис. 4. Конструкция канавки под язычок стопорной
шайбы.
Диаметр вала, мм
Полученное значение d0
по таблице П.9[1] округляем до стандартного,
Диаметр буртика для упора подшипника со стороны
конической шестерни, мм,
где r
- координата фаски подшипника (таблица П.5[1]), мм,
Полученное значение по таблице П.9[1] округляем
до стандартного,
Для удержания шкива на валу с помощью гайки
имеется участок с резьбой диаметром dр.ш,
для которого должно выполняться условие:
Значение dр.ш,
принимаем из таблицы П.10[1], мм
Рис. 5. Конструкция входного вала
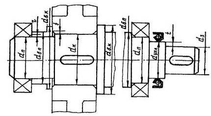
Выходной вал
Диаметр концевого участка вала
где T2
- вращающий момент на валу, Н∙мм;
[τk]
= 25 МПа - допускаемое напряжение кручения для среднеуглеродистых сталей 35,
40, 45.
Округлим диаметр d1
до ближайшего стандартного (таблица П.4[1]), мм,
Диаметр вала под уплотнение, мм,
где t
- высота буртика (таблица П.5[1]),
По таблице П.6[1] - согласуем диаметр dупл
с диаметром уплотнения,
Диаметр вала в месте посадки подшипника может
быть равен диаметру резьбы, или несколько больше его, но кратен пяти:
Диаметр разделительного кольца со стороны
подшипника, мм,
где r
- координата фаски подшипника, определяемая по таблице П.5[1].
Значение dб. п округляем до стандартного,
Диаметр вала под колесом, мм,
Значение dк принимаем из таблицы П.9[1],
Диаметр разделительного кольца со стороны
колеса, мм,
где f - размер фаски (таблица П.5),
Значение dб.к
округляем до стандартного,
Рис. 6. конструкция выходного вала
2.4 Выбор подшипников
Подшипники качения выбираем из таблиц 24.15[2],
24.15[2] в зависимости от диаметров dп
валов.
Для входного вала подшипник 36208 ГОСТ 831-75 2
шт. d=40 мм, D=80
мм, B=18 мм, C0r=23,2
кН, Cr=38,9 кН.
Для выходного вала подшипник 36209 ГОСТ 831-75 2
шт. d=45 мм, D=85
мм, B=19 мм, C0r=25,1
кН, Cr=41,2 кН.
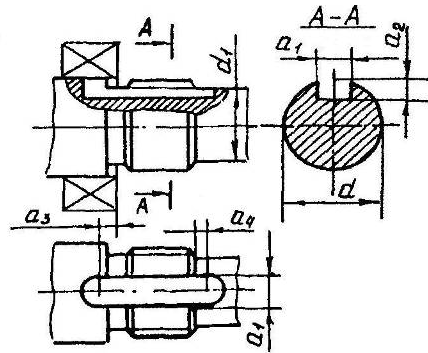
2.5 Конструирование зубчатых колес
Конструкция конических зубчатых колес с внешним
диаметром вершин зубьев dae≤120
мм показана на Рис. 3.3. Шестерню выполняем заодно с валом. Геометрические
размеры de1, dae1,
Re, b,
mte и конструктивные dп,
dб.п определены
ранее (пункт 3.2). На зубчатом венце выполняем фаску f≈0.5
mte, округлив до
стандартного значения по таблице П.11[1].
Форма конических колес с внешним диаметром
вершин зубьев dae>120 мм
показана на Рис. 3.6. Для определения конструктивных размеров используем
зависимости:
Полученные значения округляем до целых чисел:
Рис. 7. Конструкция зубчатого колеса.
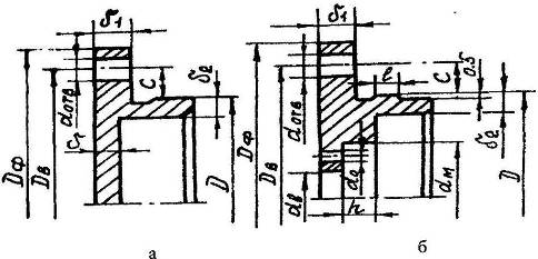
2.6 Конструирование стакана
Конструкция стакана при установке подшипников по
схеме «врастяжку» представлена на Рис. 7. Стакан выполняем литым из чугуна СЧ
15.
Толщину стенки δ
по таблице П.12[1] принимаем в зависимости от диаметра D
отверстия под подшипник,
Остальные размеры определяем по формулам:
Диаметр d4
и число z винтов крепления
стакана к корпусу определяем из таблицы П.15[1],
Рис. 8. Конструкция стакана.
Высоту упорного буртика t=1,8
принимаем из таблицы П.13[1], в зависимости от размера фаски r
подшипника, установленного на валу.
Формы канавок стакана представлены на Рис. 8, а,
б, размеры из таблицы П.14[1]:
Рис. 8. Канавки стакана
2.7 Конструирование крышек
подшипников
Крышки подшипников изготавливают из чугуна марки
СЧ 15. Конструкция глухой крышки показана [1], с отверстием для выходного конца
вала. При конструировании крышек определяющим размером является диаметр D
отверстия в корпусе под подшипник. Толщина δ
стенки крышки, диаметр d4
и число z винтов крепления
крышки к корпусу берем из таблицы П.15[1]. Размеры других элементов крышек
определяем по формулам:
ы Dв и Dф для крышки входного вала принимаем
равными соответствующим диаметрам стакана.
Диаметр dм равен наружному диаметру манжеты, h
- высота манжеты, di
- диаметр выходного конца вала. Длина пояска с центрирующей цилиндрической
поверхностью, мм,
где b
- ширина канавки
В крышках с отверстием dв
для выхода вала предусматриваем два - три отверстия диаметром d0=4
мм для выталкивания изношенной манжеты.
Рис. 9. Конструкция крышек подшипников.
Для входного вала:
Для выходного вала:
2.8 Конструирование корпуса
редуктора
Для удобства монтажа деталей корпус обычно
выполняют разъемным. Плоскость разъема проходит через оси валов и делит корпус
на основание (нижнюю часть) и крышку (верхнюю часть).
Толщина стенки корпуса δк
и крышки δ1к редуктора, мм,
где Re - внешнее конусное расстояние конической
передачи, мм.
Толщина верхнего фланца основания корпуса
редуктора, мм,
Толщина нижнего фланца основания корпуса
редуктора, мм,
Толщина фланца крышки редуктора, мм,
Толщина ребер жесткости основания m и крышки m1
редуктора, мм:
Диаметр фундаментных болтов, мм,
Диаметр болтов у подшипников, мм,
Диаметр болтов соединяющих основание корпуса с
крышкой, мм,
Диаметр винтов d4 для крепления крышек
подшипников определен
Диаметр винтов, крепящих смотровую крышку, мм,
Расстояния от наружной поверхности стенки
корпуса С1-С3 до осей болтов d1-d3 и ширины фланцев корпуса K1-K3 (Рис. 20,
лист 2, б, в) выбираем из таблицы П.16[1] в зависимости от диаметров болтов
d1-d3. Диаметры отверстий под болты принимаем на 1 мм больше диаметров болтов.
Расположение оси отверстия для болта диаметром
d2 определяем в зависимости от размера (Рис.20, лист 2, а, б),
Диаметр гнезда, мм,
Рис. 10. Конструкция корпуса редуктора.
Рис. 11. Конструкция корпуса редуктора.
2.9 Расчет валов на совместное
действие изгиба и кручения
механический привод
редуктор
Валы редуктора нагружены силами, действующими в
зацеплении передачи, и испытывают деформации изгиба и кручения. Для упрощения
расчетов принимаем, что все силы сосредоточенные, приложены в серединах венцов
зубчатых колес и направлены по нормалям к профилям зубьев в полюсах зацепления.
При расчете раскладываем их на составляющие, действующие вдоль координатных
осей. На Рис. 12 приведена схема редуктора и усилий, действующих в передаче.
Рис. 12. Схема усилий действующих в передаче.
Усилия, действующие в передачах, Н:
окружные -
где dωm2
- делительный диаметр колеса в среднем сечении зуба, м
осевые -
радиальные -
где α
= 20˚ - угол профиля делительный;
δ1, δ2
- углы делительных конусов шестерни и колеса.
Реакции в опорах вала (подшипниках) от сил,
действующих в плоскости XOZ
вдоль оси Z, Н:
Реакции в опорах вала (подшипниках) от сил,
действующих в плоскости XOY
вдоль осей X и Y,
Н:
Суммарные реакции, Н:
Изгибающие моменты и эпюры, обусловленные
силами, действующими в плоскости XOZ, Нм:
участок вала AB
-
участок вала BC
-
Изгибающие моменты и эпюры, обусловленные
силами, действующими в плоскости XOY,
Нм:
участок вала AB
-
участок вала BC
-
Суммарный изгибающий момент, Нм,
Эквивалентный момент по третьей теории
прочности, Нм,
Диаметр вала в опасном сечении, мм,
где [σи]=(50-60)
МПа - допускаемое напряжение для сталей 35, 40, 45.
Вычисленное значение диаметра вала d в опасном сечении
меньше, чем диаметр dк под колесом, найденный при ориентировочном расчете.
Рис. 13. Эпюры моментов
3.Расчет подшипников качения
В основу расчета подшипников качения положены
два критерия: по остаточным деформациям и усталостному выкрашиванию. При
частоте вращения кольца n
< 10 об/мин критерием является остаточная деформация, расчет выполняется по
статической грузоподъемности Сог; при n
> 10 об/мин критерием является усталостное выкрашивание дорожек качения, расчет
выполняется по динамической грузоподъемности Сг. Суждение о пригодности
подшипника выносится из сопоставления требуемой и базовой грузоподъемностей
(Стр< Сг) или долговечностей ( Последовательность расчета подшипников качения
рассмотрим на примере выходного вала.
Схема установки подшипников и действующих сил
представлена на Рис. 14.
Рис. 14. Схема установки подшипников
Исходные данные:
Параметр осевого нагружения для
радиально-упорных подшипников с углом контакта α=12˚.
Вычисляем нагрузки:
Определяем отношение:
По значению отношения Осевые составляющие от радиальных нагрузок:
Суммарные осевые нагрузки на подшипник: так как S2
> S1 , Fа
> S2 - S1,
то из таблицы П. 18[1], следует:
Для опоры, нагруженной большей осевой силой,
определяем отношение:
Уточняем значение параметра осевого нагружения:
Определяем отношение где V
- коэффициент вращения внутреннего кольца подшипника.
Так как Х=0,45; Y=1,56.
Эквивалентная динамическая нагрузка правой опоры
где Кб = 1,3 - коэффициент безопасности;
Кт = 1 - температурный коэффициент,
Уточнить коэффициент е1, для левой опоры (прил.,
табл. П. 17):
Определить отношение Так как Х=0,45; Y=1,87.
Эквивалентная динамическая нагрузка левой опоры
Для более нагруженной опоры (правой) определить
долговечность выбранного подшипника 36212:
где a1=1
- коэффициент надежности при вероятности безотказной работы 90%;
a23=(0.7÷0.8)
- коэффициент, характеризующий совместное влияние на долговечность особых
свойств металла деталей подшипника и условий его эксплуатации;
k - показатель
степени, для шариковых подшипников k=3;
Так как рассчитанная (требуемая) долговечность L10h
больше базовой [L10h]
(89830 > 23000), то выбранный подшипник пригоден для данных условий работы.
4.Проверка прочности шпоночных
соединений
Шкив, зубчатые колеса и муфту насаживают на валы
редуктора и предохраняют от проворачивания призматическими шпонками.
Конструкция шпоночного паза представлена на Рис.15. Размеры сечения шпонки
выбирают в зависимости от диаметра вала в месте установки шпонки.
где 1СТ - длина ступицы зубчатого колеса,
шкива или полумуфты;
b - ширина шпонки.
Для насаживания зубчатого колеса:
Для насаживания шкива ременной передачи:
Для насаживания муфты:
Рис. 15. Конструкция шпоночного паза.
Рис.16. Размеры шпонки
Часть шпонки, выступающую из вала проверяем по
напряжениям смятия:
где Тi
- вращающий момент на валу, Нмм
z - число шпонок;
Р - рабочая длина шпонки, мм;
di - диаметр
вала, мм;
h - высота шпонки,
мм;
t1 - глубина паза
вала, мм;
В расчетах принимаем 5.Выбор и расчет муфты
Муфты выбирают из стандартов или нормалей
машиностроения d зависимости
от расчетного вращающего момента При работе муфта испытывает колебания нагрузки,
обусловленные характером работы приводимой в движение машины. Расчетный
вращающий момент, Н·м,
где При выборе муфты должно соблюдаться условие: Где где d1 - внутренний
диаметр резьбы болта, мм
f = 0,15 -
коэффициент трения;
для стали 35 Рис.17. Фланцевая муфта
Вращающий момент передается болтами,
установленными без зазора и работающими на срез.
Условие прочности на срез:
где 6.Определение марки масла для
зубчатой передачи и подшипников
Экономичность и долговечность машины зависят от
правильного выбора смазочного материала. Потери на трение снижаются с ростом
вязкости смазки, однако повышаются гидромеханические (на перемешивание
смазочного материала). Поэтому выбор вязкости масла сводится к определению
некоторого относительного ее значения на основе опыта изготовления и
эксплуатации узлов машин, рекомендаций теории смазывания.
Ориентировочное значение вязкости масла для
смазывания зубчатых передач определяется в зависимости от фактора χзп.
Соотношение между числами твердости НВ и НV
приведены в таблице П.23[1].
V - окружная
скорость в зацеплении, м/с
Из таблицы П.24[1] по среднему значению вязкости
выбираем авиационное масло марки И-70 А. В редукторах и коробках передач
подшипники обычно смазываются смазочным материалом, применяемым для зацеплений.
Рис. 18. Вязкость масла.
7.Рекомендуемые посадки деталей
Посадки ступиц зубчатого колеса на вал - Н7/r6;
Н7/s6.
Посадка шкива ременной передачи и полумуфты на
валы
на валы при умеренных толчках нагрузки - Н7/m6;
Н7/n6.
Посадки подшипников качения:
в корпус - Н7/l0;
на вал - L0/k6.
Посадка крышек подшипников в корпус:
крышка глухая - Н7/d11;
крышка проходная - Н7/h6.
Посадка разделительных колец на вал - D9/к6.
Посадка стакана в корпус - H7/js6.
Заключение
механический привод
редуктор
На основании произведенных расчетов выбран
электродвигатель 4А132М4 ,определены передаточные отношения ременных и зубчатых
передач,
Путем подбора диаметров шкивов, толщины ремня
получена требуемая долговечность ременной передачи 1997 часов.
Используя недорогие, но достаточно прочные стали
40ХН и 40ХН, рассчитаны компактные зубчатые передачи, определены диаметры валов
и сделаны проверки на прочность, разработана эскизная компоновка редуктора с
учетом характера действующих в зацеплении сил и размеров валов, подобраны
подшипники качения, проверены на прочность, на долговечность, Для соединения редуктора с приемным валом машины
из стандартов выбрана муфта и ее отдельные элементы проверены на прочность.
Расчетным путем определена марка масла И-70 А
для зубчатых колес и подшипников, установлен уровень масла 6 литров.
По размерам, полученным по расчетам, выполнены
сборочный чертеж редуктора и рабочие чертежи деталей.
Результаты проектирования можно использовать для
создания опытного образца.
Библиографический список
1. Проектирование
механического привода с коническим редуктором. Методические указания к
выполнению курсового проекта по дисциплине «Детали машин и основы
конструирования» / Здор Г. П., Бородин А. В. Омский гос. ун-т путей сообщения.
Омск, 2003. 56 с.
2. Дунаев
П. Ф., Леликов О. П. Конструирование узлов и деталей машин: Учебное пособие.
Изд. 8-е, перераб. и доп. М.: Издательский центр «Академия», 2004. 496 с.
. Расчет
ременных передач. Методические указания к выполнению курсового проекта по
дисциплине «Детали машин и основы конструирования» / Здор Г. П., Бородин А. В.
Омский гос. ун-т путей сообщения. Омск, 1997. 22 с.
- коэффициент
неравномерности распределения нагрузки по длине контактных линий (Рис. 3),
принимаем в зависимости от коэффициента зубчатого венца по делительному
среднему диаметру шестерни
,
.
- допускаемое
контактное напряжение, МПа,
-
предел контактной выносливости поверхностей зубьев колеса;
-
базовое число циклов напряжений, соответствующее пределу выносливости,
миллионов циклов,
, (3.5)
;
- коэффициент,
учитывающий шероховатость сопряженных поверхностей зубьев;
- коэффициент,
учитывающий влияние окружной скорости;
- коэффициент
безопасности зубчатых колес.
,
,
, (3.7)
,
, (3.8)
(3.9)
, (20)
.
(21)
(22)
.
, (23)
.
, (24)
.
, (25)
.
, (26)
, (27)
(28)
(29)
,
.
;
; (3.20)
;
;
;
; (3.21)
;
.
(3.22)
(3.23)
;
, (3.24)
, (3.25)
-
коэффициент, учитывающий неравномерность распределения нагрузки по длине
контактных линий в начальный период работы передачи (таблица 4.3[1]),
;
;
;
;
.
, (3.26)
;
,
;
;
.
, (3.27)
;
, (3.28)
, (3.29)
,
.
,
, (3.30)
;
.
, (3.31)
;
, (3.32)
, (3.33)
,
.
,
(3.34)
.
.
, (3.35)
;
.
.
, (3.36)
.
,
,
,
.
,
.
.
(3.38)
,
.
.
. (3.39)
.
.
.
.
,
.
.
.
,
,
.
,
,
,
,
,
,
.
,
,
,
, (3.58)
.
,
.
,
(3.61)
;
(3.63)
(3.64)
;
;
;
,
,
.

,
.
,
.
,
.
).
об/мин;
мм;
Н;
Н;
ч;
Н;
Н;
Н.
из
П.17 [2] , находим параметр осевого нагружения
.
;
.
для
правой, более нагруженной опоры:
,
то из таблицы П.17[1], для е2 найдем значения коэффициентов радиальной X
и осевой Y нагрузок:
,
для
правой, более нагруженной опоры:
,
из (прил., табл. П. 17), для е1 найдем значения коэффициентов радиальной X
и осевой V нагрузок:
, (3.86)
.
,
,
.
,
.
,
.
- рабочее и
допускаемое напряжения смятия, МПа.
=
70 МПа.
и
диаметров соединяемых валов
- коэффициент режима работы привода от электродвигателя;
- момент на
выходном валу редуктора, Н·м
- вращающий момент, передаваемый стандартной муфтой (указанный в стандарте или
нормали машиностроения). Затем в зависимости от типа муфты проверяем отдельные
ее элементы на прочность.
- расчетный вращающий момент, Нмм;
- диаметр
окружности, проходящей через центры болтовых отверстий, мм;
- количество
болтов;
- допускаемое
напряжение растяжения материала болта, МПа;
- предел текучести
материала болта (для стали Ст 3
= 220 МПа;
=
320 МПа; для стали 45
= 360 МПа).
МПа.
- расчетный вращающий момент, Нмм;
- диаметр
ненарезанной части стержня болта, мм;
- диаметр
окружности, проходящей через центры болтовых отверстий, мм;
- число болтов,
установленных без зазора;
- допускаемое
напряжение на срез для болтов, МПа;
- предел текучести
материала болта, МПа.
Мпа.
,
- рабочее
контактное напряжение, МПа
.
, мощности, частоты
вращения и вращающие моменты на валах редуктора, мощность на входном валу 8,017
кВт, на выходном валу 7,778 кВт, частота вращения на входном валу равна 973,333
об/мин, вращающий момент на входном валу равен 78,694 Н·м.
часов.