Материал: Проектирование крана-стрелы на колонне

Внимание! Если размещение файла нарушает Ваши авторские права, то обязательно сообщите нам

. Расчет стрелы


Примем №10 двутавра


Решение:

=1569.6 0.55=863.28 H

39,7


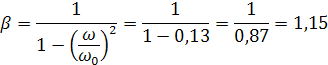
При=2=198 cм4

==116,16 с-1

(116,16-41,87)/116,16*100%=63,96%


Условие выполняется.

Заключение

Обеспечение удобства обслуживания и управления подъемно-транспортными устройствами

Обслуживание и управление подъемно-транспортным устройством может считаться удобным, если работа крановщика (оператора, лифтера) будет неутомительной и безопасной, если будут исключены физическое и зрительное перенапряжения, а также загрязнение тела и одежды работающих. Все это должно быть учтено при разработке проекта подъемно-транспортного устройства.

Кран консольный - это одни из самых широко используемых устройств из грузоподъемной техники. Данная терминология используется по отношению к кранам стрелового типа, у которых грузозахватный механизм подвешен к жестко закрепленной балке (консоли) или тележке, перемещающейся по стреле. Грузовая тележка перемещается по неподвижной или поворотной консоли. Краны консольные широко используются в самых различных областях промышленности для транспортировочных, погрузочно-разгрузочных, складских работ при температуре воздуха от плюс 40 до минус 20 градусов С на строительных площадках, в производственных цехах и складах. Угол поворота стрелы крана смотря по модели колеблется от 0 до 360 градусов. Грузоподъемность кранов консольных составляет от 100 кг до 10 тонн и более.

Типы консольных кранов очень разнообразны. Существуют краны консольные настенные с ручным или механическим поворотом консоли; краны консольные на колонне с нижней и верхней опорами и ручным или механическим поворотом консоли; краны консольные на колонне свободностоящие с ручным или механическим поворотом консоли и двуплечевые с ручным поворотом консоли.

Кран консольный на колонне представляют собой стрелу из двутавровой балки, опирающуюся на верх колонны, поставленной на фундамент. Поворот кранов консольных производится вручную или электрически двигателем с помощью вертикальной цепи, каната, штанги, прикрепленной к торцевой части консоли. Поворотный настенный консольный кран - это консоль из двутавровой балки или коробчатого профиля, присоединенная к вертикальной стойке при помощи раскоса. Кронштейны прикрепляются к колоннам здания болтами, в стенах предусматриваются плиты и болты закладного типа.

Библиографический список

1.      Александров М.П. Подъёмно- транспортные машины: учеб. Для вузов / М.П. Александров. - 5-е изд., перераб. - М.: Высшая школа, 1979. - 558 с.

2.      Борисов А.М. Сельскохозяйственные погрузочно-разгрузочные машины: учеб. Для студентов / А.М. Борисов, М.Н. Фатеев, А.Х. Гохтель. - М.: Машиностроение, 2010. - 160 с.

.        Вайнсон А.А. Подъёмно-транспортные машины: учеб. Пособие для техн. вузов / А.А Вайнсон . - 2-е изд., перераб. - М.: Машиностроение, 1976. - 15

.        Подъёмно-транспортные машины: метод. Указания и задания к выполнению курсовой работы подъёмно-транспортным машинам / Новосиб. с.-х. ин-т. Факультет механизации; сост.: Г.И. Ермохин. - Новосибирск, 2009. - 85 с.

.        Желтонога А.И. Краны и подъёмники: учеб. пособие / А.И. Желтонога, В.Н. Кучерин, А.И. Ковальчук. - Минск: Вышэйша школа, 1974. - 116 с.

.        Подъемно-транспортные машины: учеб. пособие для вузов / под ред. М.П. Александрова и Д.Н. Решетова. - М.: Машиностроение, 1973. - 256 с.

.        Проектирование и расчет подъемно-транспортирующих машин сельскохозяйственного назначения: учеб. Для студентов вузов / М.Н. Ерохин. - М.: Колос,2009. - 236 с.

.        Подъемно-транспортные машины: учеб. пособие для институтов / под ред. В.В. Красникова. - М.: Машиностроение, 1967. - 125 с.

.        Руденко Н.Ф. Курсовое проектирование грузо-подъемных машин: учеб. Пособие / Н.Ф. Руденко, М.П. Александров, А.Г. Лысянов. - М.: Машиностроение, 1971. - 464 с.

.        Спиваковский А.О. Транспортирующие машины: учеб. Пособие / А.О. Спиваковский, В.К. Дьячков. - М.: Машиностроение, 2011. - 487 с.

.        Усов П.В. Подъемно-транспортные машины: учеб. пособие для студентов / П.В. Усов. - М.: 2007. - 228 с.