Материал: Проект организации движения пассажирских поездов

Внимание! Если размещение файла нарушает Ваши авторские права, то обязательно сообщите нам

Проект организации движения пассажирских поездов

ВВЕДЕНИЕ

Пассажирский транспорт имеет большое социально-экономическое значение, так как играет важную роль в жизнеобеспечении общества. Пассажирские перевозки выполняют многие виды транспорта: железнодорожный, автомобильный, воздушный, морской, речной и др.

Пассажиры, исходя из своих соображений, по-разному оценивают достоинства и недостатки того или иного вида транспорта. В первую очередь это касается безопасности, регулярности и стоимости проезда, условий передвижения (удобство, комфорт), затрат времени на доставку пассажиров к месту назначения, в связи с чем в условиях жесткой конкуренции возникает необходимость в постоянном совершенствовании транспортных средств.

Железнодорожный пассажирский транспорт играет важную роль в жизни общества. Его значение и преимущества определяются такими факторами, как:

безопасность и надежность движения (в снегопад, пургу, в тумане и при других плохих погодных условиях поезда идут по графику);

наибольшая провозная способность (двухпутные железнодорожные линии способны перевозить по 300 - 500 тыс. пассажиров за сутки, занимая при этом небольшую территорию);

сравнительно низкая себестоимость железнодорожных перевозок;

самая быстрая доставка пассажиров на расстояние до 700 км (с учетом отсутствия потерь времени на дорогу к аэропорту и предвзлетные операции) при реальных скоростях движения поездов 120-160 км/ч и более;

минимальный вред для экологии окружающей среды;

лучшие условия для полной автоматизации перевозок;

способность использовать любые виды энергии;

широкий диапазон комфорта и сервиса.

Приведенные преимущества железных дорог, а также массовость и стабильность осуществляемых по ним перевозок делают их базой для координации и взаимодействия всех видов транспорта, оптимизации всех составляющих перевозочного процесса. В этих целях обеспечивается согласование расписания движения поездов, автобусов, самолетов и т.д. При вокзалах железных дорог размещаются круглосуточно работающие автовокзалы, гостиницы, предприятия торговли, узлы связи, рестораны, банки, бизнес-центры, что позволяет обеспечить минимальные потери времени пассажиров и создает наибольшие удобства при поездках и пересадках.

Развитие и состояние пассажирского железнодорожного транспорта отражают благосостояние народа, достижения науки и техники. Специалисты железных дорог и эксперты по транспорту предполагают, что в будущем высокоскоростные железные дороги станут основой пассажирских систем.

В настоящее время постоянное внимание уделяется совершенствованию пассажирских перевозок. Основными задачами, стоящими перед железнодорожниками является повышение прибыльности пассажирских перевозок за счет повышения производительности труда и снижения их себестоимости при условии улучшения организации и функционирования всех подразделений. Это даст возможность большему числу пассажиров пользоваться железнодорожным транспортом при достойном качестве перевозок, а железным дорогам обеспечит конкурентоспособное положение на рынке транспортных услуг.Усилия работников пассажирского железнодорожного транспорта должны быть направлены на стимулирование сбыта своей продукции и услуг, увеличение числа потребителей и их платежеспособного спроса.

Пассажирский комплекс играет одну из ключевых ролей в деятельности ОАО «Российские железные дороги», он во многом определяет имидж ОАО «РЖД» в глазах населения страны.Поэтому одним из основных принципов развития пассажирских перевозок как бизнеса, который строится на рыночной основе, становится ориентация на клиента.Проведение структурной реформы на железнодорожном транспорте предусматривает введение новых дополнительных видов деятельности, связанных с обслуживанием пассажиров.


. ОПРЕДЕЛЕНИЕ ПОТРЕБНОГО КОЛИЧЕСТВА ПОЕЗДОВ

План формирования пассажирских поездов по каждому направлению определяет пункты формирования и назначения поездов всех категорий. План формирования пассажирских поездов должен обеспечивать максимальный охват пассажиропотоков беспересадочным сообщением при наиболее эффективном использовании подвижного состава (локомотивов и вагонов).

В табл. 1приведены перевезенные пассажиропотоки за средние сутки максимального месяца.

Таблица 1

             на от

Е

А

Б

В

Г

Д

И

Е

х

2700






А


х

1900

630



350

Б

300


х





В




х




Г





х



Д






х


И







х


Схема направления приведена на рис. 1.

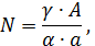
Потребное количество поездов на участке определяется по формуле, поездов/сут.:


где    А - пассажиропоток за средние сутки максимального месяца, пасс./сут;

а - число мест в поезде, ед.;

γ, α - коэффициенты неравномерности (в данном проекте не учитываются).

В расчетах ориентировочно принимаем число мест (при составе поездов локомотивной тяги 14÷16 вагонов, электропоездов повышенной комфортности 6÷10 вагонов):

в ночных поездах местных и в дальних поездах - 500÷700 мест;

в дневных поездах местного сообщения - 600÷800 мест;

в электропоездах повышенной комфортности - 400÷800 мест в зависимости от классов вагонов в составе.

Рис. 1. Схема направления

Определяем потребное количество поездов по назначениям.

) УчастокЕ - Б

Расстояние перевозки 480 км - сообщение местное.

Пассажиропоток - 300 пасс./сут.

Данный пассажиропоток целесообразно перевозить ночным пассажирским поездом.


Назначаем один поезд периодичностью через день, вместимостью 600 мест.

) УчастокА - В

Расстояние перевозки 520 км - сообщение местное.

Пассажиропоток - 630 пасс./сут.

Данный пассажиропоток целесообразно перевозить ночным пассажирским поездом.


Назначаем один поезд периодичностью через день, вместимостью 630 мест.

) УчастокА - И

Расстояние перевозки 800 км - сообщение дальнее.

Пассажиропоток - 350 пасс./сут.

Данный пассажиропоток целесообразно перевозить скорым поездом.


Назначаем один поезд периодичностью через день, вместимостью 700 мест.

) Участок А - Б

Расстояние перевозки 180 км - сообщение пригородное.

Пассажиропоток - 1900 пасс./сут.

Данный пассажиропоток целесообразно перевозить ускоренными электропоездами повышенной комфортности.


Назначаем три поезда в сутки вместимостью 634 места.

) Участок Е - А

Расстояние перевозки 300 км - сообщение местное.

Пассажиропоток - 2700 пасс./сут.

Данный пассажиропоток целесообразно перевозить ускоренными электропоездами повышенной комфортности.

Электропоезда, работающие на участках Е - А и А - Б целесообразно использовать в общем обороте.


Назначаем 3 поезда в суткивместимостью 634 места, обслуживаемые составами в общем обороте с поездами на участке А - Б.


Для перевозки оставшихся 2700 - 1900 = 800 пассажиров назначаем еще 2 поезда в сутки вместимостью 400 мест.



2. ОПРЕДЕЛЕНИЕ КОМПОЗИЦИИ ПОЕЗДОВ

Композиция составов пассажирских поездов составляется на основании плановых пассажиропотоков за средние сутки максимального месяца с учетом потребностей пассажиров.

Категории пассажирских вагонов в поездах локомотивной тяги:

СВ - мягкий с двухместными купе - 18 мест;

К - купейный с четырехместными купе - 36 мест;

ПЛ - некупейный со спальными местами (плацкартный) - 54 места;

О - некупейный с местами для сидения (общий) - 81 место;

С - межобластной с местами для сидения - 60 мест;

Р - вагон-ресторан;

П - почтовый;

Б - багажный.

Количество мест для сидения в вагонах электропоездов повышенной комфортности серии ЭД4МК (без учета мест для проводников):

Г1 (головной вагон 1-го класса) - 28;

М1 (моторный вагон 1-го класса) - 60;

П1 (прицепной вагон 1-го класса) - 52;

М2 (моторный вагон 2-го класса) - 86;

Г2 (головной вагон 2-го класса) - 42;

П2 (прицепной вагон 2-го класса) - 77;

П2Б (прицепной вагон 2-го класса с баром) - 36;

М3 (моторный вагон 3-го класса) - 114;

П3 (прицепной вагон 3-го класса) - 102;

Г3 (головной вагон 3-го класса) - 56.

) Участок Е - Б

Назначен ночной пассажирский поезд местного сообщения.

Потребное количество мест - 600.

Тип вагона

Число вагонов

Число мест

СВ

1

18

К

6

216

П

7

378

Р

1

-

Итого

15

612


2) Участок А - В

Назначен ночной пассажирский поезд местного сообщения.

Потребное количество мест - 630.

Тип вагона

Число вагонов

Число мест

СВ

1

18

К

7

252

П

7

378

Р

1

-

Итого

16

648


) Участок А - И

Назначен скорый поезд дальнего сообщения.

Потребное количество мест - 700.

Тип вагона

Число вагонов

Число мест

СВ

1

18

К

4

144

П

10

540

Р

1

-

Итого

16

702


) Участки Е - А и А - Б

Назначены ускоренные электропоезда повышенной комфортности.

Потребное количество мест - 634 и 400 мест.

Композиция поезда с вагонами 2 и 3 класса для обращения на участках Е-А и А-Б вместимостью 638 мест:

Тип вагона

Число вагонов

Число мест

Г2

1

42

М2

2

87

П2Б

1

36

М3

2

114

П3

1

102

Г3

1

56

Итого

8

638

в т.ч.:



2 класс

4

252

3 класс

4

386


Композиция поезда с вагонами 1 и 2 класса для обращения на участке «Е - А» вместимостью 403 места:

Тип вагона

Число вагонов

Число мест

Г1

2

28

М1

1

60

П2

1

77

П2Б

1

36

М2

2

87

Итого

7

403

в т.ч.:



1 класс

3

116

2 класс

4

287



3. ОПРЕДЕЛЕНИЕ ВРЕМЕНИ В ПУТИ И ПОТРЕБНОГО КОЛИЧЕСТВА СОСТАВОВ

Время в пути определяется по формуле:


где    L- расстояние перевозки, км.;м - маршрутная скорость поезда, км/ч.

В расчете ориентировочно принимаем маршрутные скорости поездов:

скорых в местном и дальнем сообщении - 55 км/ч;

пассажирских в местном и дальнем сообщении - 50 км/ч;

ускоренных в пригородном и местном сообщении, обслуживаемых составами электропоездов - 60 км/ч.

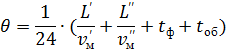
Время оборота состава определяется по формуле, сут.:


где    L’, L’’- расстояние прямого и обратного рейса, км.;

,  - маршрутная скорость поезда, км/ч;ф - время нахождения состава в пункте формирования, ч;об - время нахождения состава в пункте оборота, ч.

Потребное число составов определяется по формуле:


где    - периодичность движения.

) Участок Е - Б

Расстояние 480 км.

Пассажирский поезд местного сообщения.

Периодичность - через день.

Время в пути:



657

658

Е

22-20

-

Б

8-00

22-20

Е

-

8-00


Время нахождения состава в пункте формирования (ст. Е) - 14,2 ч.

Время нахождения состава в пункте оборота (ст. Б) - 14,2 ч.