Материал: Процентные ставки и доходы банка

Внимание! Если размещение файла нарушает Ваши авторские права, то обязательно сообщите нам

Процентные ставки и доходы банка

Введение


Начиная с семидесятых годов XX века, когда резкие скачки цен на нефть и возросшая волатильность процентных ставок повлекли серьезные проблемы для финансовой системы США, научным сообществом активно исследуется вопрос происхождения прибыли банков. Ищутся факторы, объясняющие динамику уровня прибыли и процентного спрэда как в краткосрочном, так и в долгосрочном периодах. Одним из общепринятых факторов, влияющих на прибыльность банков, является уровень процентных ставок в экономике. Начиная с работы Ho и Saunders (1981), исследователи активно изучают влияние шоков процентных ставок на банковскую систему как отдельной страны, так и валютного союза. Несмотря на более чем тридцатилетнюю историю изучения данного вопроса, все еще существуют разногласия в понимании данного взаимодействия, не существует даже единого мнения по поводу направления взаимодействия между прибыльностью банков и уровнем процентных ставок.

Сложившаяся в России уникальная ситуация, когда после длительного периода относительно стабильных процентных ставок в экономике Центральный Банк резко повысил уровень ключевой ставки для обеспечения стабильности финансовой системы, позволяет более тщательно изучить вопрос взаимодействия как уровня процентных ставок, так и величины их волатильности на величину процентного спрэда, характерного для банков в РФ. В дополнение к этому будет также учитываться специфика российской банковской системы, а именно распространённая практика трансформации долларовых пассивов в рублевые активы.

Банковский сектор болезненно пережил предыдущий шок процентных ставок, прибыль по итогам 2015 года упала на 80%. Чтобы иметь возможность предсказывать последствия таких шоков и способствовать их сглаживанию, необходимо понимание зависимости прибыльности банков и процентных ставок. Таким образом, целью данной работы является: выявление зависимости между изменением процентных ставок в экономике и процентной маржи, характерной для банков в России. Для получения более точных результатов и выявления тех банков, которые смогут легче переносить шоки, в регрессию вводится такая независимая переменная, как доля долларовых обязательств, а выборка на втором этапе исследования разделяется на банки с высокой и низкой долей долларовых пассивов. Конечной целью исследования является выявление направления влияния процентных ставок на величину процентной маржи для банков с различным объемом валютных обязательств. В итоге предполагается выяснить, как высокая доля долларовых пассивов влияет на динамику процентной маржи после шока процентной ставки. банк маржа процентный

Для достижения поставленной цели в работе были поставлены следующие задачи:

1.      Изучить результаты уже проведенных эмпирических исследований по данной проблематике;

.        Описать основные теоретические подходы, касающиеся формирования процентной маржи и ее возможной реакции на изменение процентных ставок;

.        Специфицировать модель регрессии, определить переменные и количество лагов в модели;

.        Определить выборку банков;

.        Собрать необходимые данные из источников Центробанка и ЕМИАС Банки и Финансы.

.        Данные очистить от выбросов.

.        Построить эконометрическую модель на собранных данных, протестировать гипотезы.

.        Проверить значимость полученных результатов.

Объектом исследования являются российские банки, входящие в список ста пятидесяти крупнейших по объёму активов. Предметом исследования является влияние изменения процентной ставки и доли долларовых пассивов на величину процентной маржи банка.

В первой главе будут рассмотрены основные теоретические работы, связанные с анализом влияния процентных ставок на прибыльность банков и величины процентной маржи. Будут описаны основные теоретические рамки данной работы.

Во второй главе будет специфицирована модель регрессии, описаны выбранные переменные и количество включенных в модель лагов, обоснована их значимость для регрессионного анализа. Кроме того, будет дана краткая характеристика проверяемым гипотезам.

В заключительной главе будут подытожены эмпирические результаты исследования, дана характеристика полученным результатам, объяснено их соответствие выдвинутым гипотезам, даны основные выводы из проведенного исследования.

Глава 1. Основные подходы к исследованиям, объясняющим динамику процентной маржи банков

.1 Теоретические подходы к проведению исследования


На данный момент существует множество научных статей, посвященных анализу прибыльности банковского сектора. В большинстве своем авторы рассматривают прибыльность банка как его способность генерировать достаточно денежных средств для поддержания деятельности и рассматривают агрегированные показатели рентабельности. Часто используются такие показатели, как ROE (return on equity, или рентабельность капитала), ROA (return on assets, или рентабельность активов), в дополнение к которому часто используют ROAA (return on average assets, или рентабельность средних активов). Однако эти показатели имеют ряд существенных недостатков. Так, банк может продемонстрировать высокое значение ROE при низкой достаточности капитала или при отрицательном значении капитала и отрицательной прибыли. Кроме того, стабильно высокая прибыль может быть направлена на увеличение собственного капитала, что увеличивает устойчивость банка, но уменьшает показатель ROE. С этой точки зрения, именно ROA предпочтительнее использовать в качестве меры эффективности банка. Однако в российской действительности этот показатель имеет существенный недостаток. Прослеживается высокая отрицательная корреляция между показателями ROA, ROAA и размером активов банка. Из-за этого результаты регрессионного анализа могут быть не интерпретируемы и будут требовать дальнейшей кластеризации выборки, что противоречит требованию к разбиению выборки на две части, по доле долларовых активов.

Вместо вышеописанных переменных прибыльности банков часто используют величину NIM (net interest margin,или чистая процентная маржа). Этот вариант наиболее предпочтителен для данного исследования, так как он не подвержен искажениям и не требует дополнительного разделения выборки. Еще одним критерием в поддержку чистой процентной маржи выступает структура доходов российских банков. Доля чистого процентного дохода в структуре операционных доходов коммерческого банка составляет в среднем 75%.

Существует несколько теоретических подходов к объяснению влияния процентных ставок на маржу банков. Одними из пионеров в этой области были Ho и Saunders (1981). В своем исследовании они сравнивают банки с дилерами на денежном рынке, которые предоставляют мгновенную ликвидность для своих клиентов. Их теоретическая модель рассматривала банк как финансового посредника, минимизирующего принимаемый риск. Источником риска для посредника выступает неопределенность на рынке вытекающая из стахостичекой природы спроса и предложения на рынке денег. Для концентрации на деятельности финансового посредника они не рассматривают в модели кредитные риски и операционные издержки. Деятельность таких банков можно охарактеризовать четырьмя пунктами:

1.      Банк не производит рационирование кредита, удовлетворяет спрос на кредиты и принимает деньги на депозиты мгновенно, в течение одного периода;

.        Момент выдачи кредита или получение депозита на счет описывается случайной величиной, но вероятность привлечения депозитов или привлечения заемщиков может регулироваться банком через механизм ценообразования;

.        Процентный спрэд между депозитом и кредитом является вознаграждением банка за мгновенное оказание услуг по привлечению средств и принятие на себя риска ликвидности;

.        Банки работают с длинными деньгами.

Целью банковской деятельности в модели является максимизация ожидаемого благосостояние банка (W), которое состоит из собственного капитала (Y), нетто инвестиций (I), которые равны разнице между кредитами и депозитами (L-D), и нетто позиции на денежном рынке (CL-CD). При отсутствии операционной деятельности банка (выдачи кредитов и привлечения депозитов) динамика переменных между периодами описывается следующим образом:


Последними элементами модели являются цены на кредиты и депозиты. Важно отметить, что цены являются величиной обратной ставкам, то есть высокое цены означают низкие ставки и наоборот. В данном уравнении p - безрисковая ставка, a, b - комиссии банка за оказание услуг. Сумма a + b образует процентный спрэд.


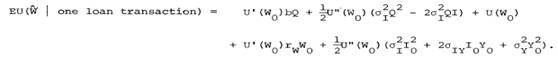
Подразумевается, что цены PL PD устанавливаются в начале периода и остаются неизменными до его конца. За это время банк обрабатывает нетто операций объемом I (L - D), величина которого меняется в зависимости от a и b - банковских наценок. Из-за долгосрочных кредитов и депозитов и стохастической природы их привлечения банки вынуждены выходить на денежный рынок каждый раз, когда портфели кредитов и депозитов не сбалансированы (I<>0), тем самым получая меньшую прибыль и принимая дополнительно риск рефинансирования процентный риск каждый раз, когда происходит изменение процентных ставок. Банк может компенсировать эти риски, повышая величину чистого спрэда. Таким образом, банк определяет величину наценки (a и b), а значит, и величину маржи (a+b), исходя из максимизации ожидаемого благосостояния (W). Ожидаемое благосостояние банка можно разложить в ряд Тейлора и представить в виде:


Из-за стохастической природы привлечения депозитов и выдачи кредитов банки часто должны выходить на денежный рынок для финансирования своей деятельности. В этом случае функция (W) может принимать два вида.


(при фиксированном объеме кредитов)


(при фиксированном объеме депозитов)

Общее ожидаемое благосостояние банка в рассматриваемом периоде зависит от взвешенных по вероятности выигрышей от привлечения средств и выдачи кредитов.


В этом уравнении λа λb показывают вероятность наступления каждого из событий. Согласно оптимизационной задаче, банк максимизирует полезность по a и b, значит, производные уравнения по a, b равны нулю. Если продифференцировать EU (W | a, b) по каждой из переменных и поделить одно полученное уравнение на другое, результатом будет зависимость процентного спрэда от величины банковских трансакций (Q) и вариации процентных ставок по кредитам и депозитам (σ2I):


Так как ставки по кредитам и депозитам напрямую зависят от безрисковой ставки (2), при любом ее изменении изменяются и цены на банковские услуги, растет дисперсия цен на эти услуги, поэтому в краткосрочной перспективе величина чистого спрэда возрастает, возвращаясь на прежний уровень в долгосрочной перспективе.

Альтернативный взгляд на проблему в более позднем исследовании осветили Giovanni Dell Aricciaa, Luc Laevena, Robert Marquezc (2014). Их теоретико-игровая модель рассматривает банк как финансового посредника, который вынужден привлекать средства и выдавать кредиты без полной уверенности в их возврате. Для повышения вероятности возврата у банка есть возможность изменять предлагаемую процентную ставку по кредитам и усилия по мониторингу или отбору заемщиков (рационированию кредита). Результатом модели является теоретическое доказательство того, что при долгосрочной возможности изменять уровень финансового рычага и длительном периоде низких процентных ставок банки уменьшают величину достаточности капитала, а также уменьшают усилия по мониторингу заемщиков. Растущие риски банкротства банков и неосуществления выплаты привлеченных средств заставляют инвесторов требовать большую премию, что при сокращающихся ставках по кредитам снижает маржу.

Рассмотрим данную модель подробнее. В ее основе лежат три предпосылки:

1.      Банк функционирует при ограниченной ответственности собственников перед инвесторами;

.        Банки могут свободно изменять уровень капитала в пассивах, пренебрегая требованиями регулятора. В реальной жизни это достижимо через ошибочную недооценку потенциальных потерь, особенно во время кризиса;

.        Все агенты в модели нейтральны к риску.

В модели банки сталкиваются со спросом на кредиты, который представлен убывающей функцией L(rl), где (rl) - реальная ставка процентов по банковским кредитам. Банки проводят рационирование кредитов, то есть выдают займы не всем, кто готов заплатить требуемую ставку. Степень усилий, направленных на рационирование, показывает вероятность возврата денег и обозначается q. Издержки усилий описываются в виде  на единицу долга. Из-за изменений процентной ставки меняется доходность на капитал: чтобы поддерживать требуемый уровень доходности, банки меняют структуру пассивов, привлекая больше депозитов или выпуская облигации. Доля собственного капитала в валюте баланса - k, доля привлеченных средств соответственно (1-k). В модель включены альтернативные издержки, в частности, доходность, требуемая акционерами. Она определяется как доходность на капитал с поправкой на вложенный капитал и вероятность возврата средств  . Последней переменной, введенной в модель, является ставка по депозитам, которая определяется так же, как ожидаемая доходность акционеров, но без поправки на вложенный капитал, то есть как


где -, безрисковая ставка. В равновесии ожидания инвесторов верны, поэтому , а . Для банка это означает, что инвесторы требуют безрисковую доходность с поправкой на вероятность возврата средств заемщиками или рискованность активов банка. Исходя из введенных предпосылок и обозначений, прибыль банка можно записать как:


В данном уравнении показано, что банк с вероятностью q получает прибыль  за вычетом платежей по привлеченным средстав и требуемой доходности на капитал акционеров  Зная, что  , уравнение (1) можно переписать, убрав из него . Полученное уравнение имеет вид:


На основе этого уравнения в работе делаются выводы, которые подтверждаются математически.

Первым заключением из модели является отрицательная зависимости между безрисковой ставкой и количеством привлеченных средств (  ). С ростом процентной ставки инвесторы и акционеры рассчитывают на большую доходность, заставляя банк повышать ставки по кредитам. Растущие ставки по кредитам отпугивают надежных заемщиков и усугубляют проблему неблагоприятного отбора. Чтобы уменьшить общий уровень риска, банки вынуждены снижать размер финансового рычага.