Материал: Проблема природы денег и эволюция их форм

Внимание! Если размещение файла нарушает Ваши авторские права, то обязательно сообщите нам

Проблема природы денег и эволюция их форм

Министерство образования и науки Российской Федерации

Федеральное государственное бюджетное образовательное учреждение высшего профессионального образования

Российский экономический университет им. Г.В. Плеханова

Общеэкономический факультет

Кафедра политической экономии




КУРСОВАЯ РАБОТА

по дисциплине: экономическая теория

на тему:

Проблема природы денег и эволюция их форм




Выполнила: Решетова К.В.

студентка 1 курса гр. ЭБ-15

Проверил: к.э.н, доц.

Доценко Е.Ю.,




Москва - 2014

Содержание

Введение

Глава 1. Возникновение денег, эволюция их форм и видов

1.1   Основные теории происхождения денег

1.2    Эволюция форм стоимости

1.3   Эволюция денежных форм

Глава 2. Денежное обращение в российской экономике

2.1   Эволюция денег в России

2.2    Денежный оборот в Российской Федерации

Заключение

Список литературы

Приложения


Введение

Существование современного человеческого общества невозможно без денег. Ни один хозяйствующий субъект сегодня не обходится без их использования.

Деньги появились как результат более высокого развития товарных отношений и производительных сил. Каждой ступени эволюции товарного обмена и производства соответствовала определенная форма стоимости, что в дальнейшем позволило ученым выделить в природе денег их товарное происхождение.

Деньги служат необходимым активным элементом и составной частью экономической деятельности общества, отношений между различными участниками и звеньями воспроизводственного процесса. В связи с этим, стабильность национальной валюты и устойчивость денежной сферы рассматриваются государствами как приоритетные цели позитивного развития экономики.

Актуальность выбранной темы обусловлена тем, что деньги являются одним из наиболее важных разделов экономической науки. Они представляют собой нечто гораздо большее, чем простой инструмент, содействующий работе экономики. Правильно действующая денежная система обеспечивает активный кругооборот доходов и расходов, который, в свою очередь, способствует полному использованию мощностей и увеличению занятости. И наоборот, плохо функционирующая денежная система может стать главной причиной резких колебаний уровня производства, занятости и цен в экономике, исказить распределение ресурсов.

Многие видные ученые в течение сотен лет старались определить природу денег и дать наиболее правильное, с их точки зрения, определение. Однако до сих пор в современной науке не существует однозначного представления о том, что же такое деньги и какова их сущность.

Целью данной курсовой работы является рассмотрение эволюции денег и проблемы их природы.

В соответствии с поставленной целью, необходимо решить следующие задачи:

¾  рассмотреть различные теории происхождения денег;

¾      ознакомиться с эволюцией форм стоимости;

¾      изучить эволюцию денежных форм;

¾      проанализировать развитие денежных знаков в России;

¾      выяснить, какие виды денег существуют в настоящее время в Российской Федерации.

Курсовая работа состоит из введения, двух глав, заключения, списка литературы и приложений. При написании работы были использованы труды таких авторов, как О.И. Лаврушин, Е.Ф. Жуков, В.Я. Иохин и др.

Глава 1. Возникновение денег, эволюция их форм и видов

.1 Теории происхождения денег

В экономической литературе выделяют два подхода к вопросу о возникновении денег: рационалистический, или субъективный, и эволюционный, или объективный.

Согласно рационалистическому (субъективному) подходу деньги являются результатом соглашения между людьми об использовании их в качестве инструмента обмена. Идею о деньгах как инструменте поддерживали в обществе до XVIII века. В современных школах адептами этой идеи стали П. Самуэльсон и Дж.К. Гелбрейт, по мнению которых деньги являются социальной условностью и закрепление за благородными металлами денежных функций - продукт соглашения между людьми.

Согласно эволюционному (объективному) подходу происхождение денег связано с объективными причинами: экономическим ростом, общественным разделением труда, выделением особого товара, движением стоимости, необходимостью соблюдения эквивалентности обмена.

Помимо двух подходов в экономической литературе выделяют три основных теории происхождения денег: металлистическую, номиналистическую и количественную. Металлическая (товарно-металлическая) теория денег - это обобщающее название всей совокупности взглядов, высказанных в разное время различными исследователями, которые отождествляли деньги с драгоценными металлами (золотом и серебром) и рассматривали их как богатство общества.

Данная теория возникла в XIV веке, получив свое дальнейшее развитие в эпоху зарождения капиталистических отношений и окончательно сформировавшись в рамках экономического учения меркантилистов. Они признавали товарную сущность денег, усматривая их ценность в естественных свойствах золота и серебра. С отменой золотого стандарта металлическая теория окончательно утратила свое значение.

Номиналистическая теория денег противостоит металлической теории в трактовке сущности денег, так как отрицает товарную природу денег и саму необходимость их внутренней стоимости. Представители номиналистической теории обосновывают возникновение денег тем, что последние являются продуктом соглашения между людьми с целью облегчения обмена.

Эти взгляды возникли в эпоху Средневековья. В XVIII веке в Англии номиналистические идеи развивали религиозный философ Джордж Беркли и Джеймс Стюарт. Они рассматривали деньги как условные знаки, «идеальные денежные единицы», которые выполняют лишь функцию масштаба цен. В начале XX века свои идеи развивает Г. Кнапп. Благодаря ему номиналистическая теория денег приобретает свой современный вид. Он говорил о том, что деньги являются творением государственной власти, именно она наделяет их платежеспособностью. Основная функция денег, по его мнению, - служить средством платежа.

Количественная теория денег - это экономическая доктрина, объясняющая зависимость между количеством денег в обращении, уровнем товарных цен и стоимостью самих денег. Ее суть заключается в утверждении, что количество денег в обращении является первопричиной пропорционального изменения уровня товарных цен и стоимости денег.

Основоположником количественной теории денег считается французский экономист XVI века Ж. Боден. Он впервые выдвинул идею о прямой зависимости уровня товарных цен от количества драгоценных металлов в стране. В это же время доминиканским священником Наваррусом была установлена и обратна зависимость между количеством денег в обращении и их ценностью. В XVII и XVIII веках эти идеи продолжают развиваться в трудах таких известных ученых как Дж. Локк, Д. Юм, Ш. Монтескье и других. Они доказывали, что увеличение количества денег в обращении ведет лишь к росту цен товаров, но никак не к увеличению богатства. Д. Рикардо, как основоположник трудовой теории стоимости, признавал, что стоимость металлических денег определяется затратами труда на их производство, но отмечал, что в отдельные периоды стоимость денежной единицы изменяется в зависимости от изменения количества денег. Дж.Ст. Милль показал зависимость стоимости денег от спроса и предложения, проложив путь для развития неоклассической теории ценности.

К началу XX века количественная теория денег становится господствующей и выступает важнейшей составной частью неоклассического направления политической экономии. Наибольшую популярность получили два ее варианта: трансакционный и кембриджский.

Трансакционная версия количественной теории денег впервые была представлена американским экономистом И. Фишером. Суть его подхода заключается в выражении функциональной зависимости факторов, влияющих на покупательную способность денег, с помощью уравнения обмена:

=PQ (1.1)

где M - количество денег в обращении,- средняя скорость их обращения,

Р - средневзвешенный уровень цен,- количество реализованных товаров.

Позже это уравнение стали выражать в другой форме, где показатель общего товарооборота (Q) в средних ценах (P) был заменен показателем национального дохода (Y) с учетом индекса цен (P):

MV=PY (1.2)

В отличие от И. Фишера экономисты кембриджской школы в лице А. Маршалла и его последователей (А. Пигу, Р.Д. Хоутри и др.) сосредоточили свое внимание не на обращении денег, а на их накоплении у хозяйствующих субъектов, на анализе «реальных кассовых остатков». Экономисты кембриджской школы преобразовали уравнение Фишера, введя коэффициент k, выражающий долю годового дохода (Y), которую хозяйствующие субъекты предпочитают хранить в денежной форме:

=kPY (1.3)

Дальнейшее развитие экономической мысли приводит к появлению кейнсианской теории денег и монетаризма. Кейнсианство базируется на идее, что рыночная экономика внутри себя представляет неустойчивую систему со многими "пороками". Государству для увеличения совокупного спроса следует регулярно использовать фискальную и денежно-кредитную политику, отдавая первой преимущество. Она, по мнению Кейнса, предполагает увеличение государственных расходов и снижение налогов, допуская использование денежно кредитной эмиссии для покрытия возникающего в связи с этим бюджетного дефицита. Небольшие темпы инфляции рассматривались как стимулирующий фактор. В кейнсианской теории спроса на деньги главная роль отводилась норме процента

Современный монетаризм появился в 50-х годах прошлого века благодаря работам М. Фридмена и его последователей. Сторонники данной теории утверждают, что спрос на деньги не является функцией только ставки процента и дохода, а на него влияет также норма прибыли от всех видов реальных и финансовых активов. Таким образом, деньги рассматриваются как субститут не только финансовых, но и всех остальных видов активов. Монетаристы видят в деньгах и денежной политике, предпочтение отдавая денежно-кредитному методу, важнейший фактор экономического развития. Денежная масса должна расти с постоянной скоростью, приблизительно равной скорости увеличения объема производства. По их мнению важнее контролировать количество денег в обращении, чем норму процента и объем кредита.

Современные теории денег представляют собой синтез кейнсианства и монетаризма. При этом в долгосрочном периоде преобладает монетарный подход, в краткосрочном - кейнсианская модель.

1.2 Эволюция форм стоимости

Необходимость возникновения денег продиктована историческим процессом развития товарообмена. Ранней стадии развития человека была присуща бартерная (натуральная) форма обмена. Однако такой обмен имел ряд недостатков, среди которых наиболее существенным является рост издержек (возможных потерь), связанный с поисками выгодного партнера, готового обменять имеющийся товар на необходимый. Поэтому с самого зарождения товарообмена начался процесс формирования будущих денег.

Первоначально в их роли у разных народов выступал тот товар, который пользовался наибольшим спросом, мог относительно долго храниться и существовал в достаточном количестве. С этим связано многообразие товаров, выполнявших роль измерителей стоимости других товаров.

По мере расширения и углубления общественного разделения труда, развитие частных и общественных форм собственности происходило расширение сферы товарного производства, отношений обмена. В процессе исторического развития товарный обмен сопровождался сменой одних форм собственности другими.

Первой формой стоимости была простая (случайная) - это форма стоимости, которую можно представить уравнением:товара А = y товара Б (1.4)

В этой формуле товар А, выражающий свою стоимость через отношение к другому товару Б, находится в относительной форме стоимости, а товар Б, выражающий собой стоимость товара А, - в эквивалентной форме. Оба товара легко могут поменяться местами. Эта подвижность свидетельствует о неустойчивости меновых пропорций. Относительная форма стоимости выражает собой качественную однородность обмениваемых товаров, делая их соизмеримыми между собой, а так же количественную определённость стоимости, выражающуюся в меновой стоимости или в пропорциях обмена. Эквивалентная форма стоимости указывает, что потребительная стоимость (полезность) одного товара (Б), находящегося в этой форме, служит для выражения стоимости другого товара (А).

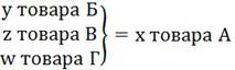
Следующей исторической формой стоимости является полная (развернутая), которая может быть представлена следующей формулой:

 (1.5)

Товар А, находящийся в относительной форме стоимости, выражает свою стоимость с помощью целого ряда товаров-эквивалентов. По сравнению с простой формой стоимости (x товара А = y товара Б) относительная ее форма жёстко закрепляется за товаром А, тогда как группа других товаров (Б, В, Г) находятся в эквивалентной форме.


(1.6)

Растущий обмен требовал перехода от обилия различных товаров, выполняющих роль эквивалента, к единому эквиваленту. Эта роль постепенно закреплялась за благородными металлами - золотом и серебром. С этого момента вступает в силу денежная форма стоимости, которую можно представить в виде формулы:

 (1.7)

1.3 Эволюция денежных форм

Деньги стали деньгами примерно за 3-5 тысячелетий до новой эры, когда среди различных товаров выделился один в качестве всеобщего эквивалента. Им стали благородные металлы - серебро и золото; единицей счета - вес. Так утвердилась и потом применялась большую часть времени существования человеческой цивилизации первая форма денег: полноценные, или действительные, деньги. Такие деньги имели товарную природу, обладали собственной внутренней стоимостью. Особенностью полноценных денег было то, что их номинальная стоимость в основном соответствовала стоимости содержащегося в них металла. Именно наличие внутренней стоимости обеспечивало их общепризнанность.

Первоначально золото и серебро использовались в виде слитков (прута, проволоки, пластин определенного веса). В дальнейшем произошел переход к чеканке монет из благородных металлов (серебра и золота). Монета - это денежный знак, отчеканенный на монетном дворе из металла, имеющий установленные законом весовое содержание и форму и являющийся средством обращения и платежа. Первые металлические монеты появились примерно в VII в. до н.э. в государствах Средиземноморья - Лидии и Эгине.

Высшей формой полноценных денег были золотые. Поскольку золотые монеты обладали собственной внутренней стоимостью, они выполняли функцию средства образования сокровищ. Золотые сокровища выступали в качестве автоматического стихийного регулятора денежного обращения: при снижении потребностей товарного обращения в деньгах ставшие избыточными монеты уходили из обращения в сокровище, при увеличении - поступали в обращение из сокровищ. Не требовалось прибегать к специальным мерам для регулирования количества денег в обращении и воздействие государства на покупательную способность золотой денежной единицы ограничивалось в основном контролем за чеканкой монет. При изменении стоимости золота изменялась и покупательная способность золотых денег.

Полноценные деньги постепенно вытесняются неполноценными, происходит демонетизация золота. Под демонетизацией золота понимается процесс утраты золотом функций денежного товара. Стихийный процесс вытеснения золотых монет из внутреннего обращения по мере внедрения бумажных и кредитных денег завершился официальным отказом от всех форм золотого стандарта в начале XX в. Фактический уход золотых денег из внешнего оборота был юридически оформлен изменениями Устава МВФ (1976-1978), предусматривающими отмену официальной цены золота и золотых паритетов валют. В современных условиях золото и другие драгоценные металлы являются частью золотовалютных резервов страны и используются в необходимых случаях после предварительной продажи за конвертируемую валюту.