Недогрузка
передачи составляет 4,3%, что допустимо.
.14
Определение основных размеров червяка и червячного колеса
Размеры червяка
делительный
размер
;
диаметра
вершин витков
;
диаметр
впадин витков
длина
нарезанной части червяка
коэффициенты
Принимаем
Размеры венца червячного колеса:
делительный
диаметр
диаметр
вершин зубьев
диаметр
впадин зубьев
наибольший диаметр колеса
принимаем
Ширина венца колеса
принимаем
.15 Проверочный расчет зубьев колеса на
выносливость при изгибе
где:
-
коэффициент нагрузки,
;
Эквивалентное число зубьев колеса
Тогда
Расчетное напряжение изгиба в зубьях колеса
Условие прочности выполняется.
4.16 Определение КПД передачи
где:
-приведенный
угол трения. При
;
Окружная сила на червяке, равная осевой силе на
колесе
Н
Осевая сила на червяке, равная окружной силе на
колесе
Радиальные силы на червяке и колесе
5. Расчет клиноременной передачи
Исходные данные:
Мощность на ведущем шкиве, Рд
Частота вращения ведущего шкива,
Вращающий момент на ведущем шкиве, Тд
Передаточное отношение,
, нагрузка постоянная, равномерная.
Режим работы: работа в 3 смены, нагрузка
постоянная, равномерная.
.1 Выбор смены клиноременного ремня
Выбираем
клиновые ремни нормального сечения «А», т.к.
следует выбрать кордшнуровый ремень![]()
![]()
![]()
![]()
min
ГОСТ 1284.1-96
.2
Диаметр ведущего шкива
Принимаем
d1
ГОСТ
17383-89
.3
Диаметр ведомого шкива
- коэффиц
(0,01 -
0,02) Принимаем d2
.4
Уточнение передаточного отношения
![]()
Относительное
межосевое расстояние
1, т.к
Принимаем
.6
Длина ремня
Принимаем
5.7 Уточнение межосевого расстояния
Принимаем
.8 Угол обхвата ремней ведущего шкива
.9 Скорость ремня
.10 Число пробегов ремня
Условие обеспечения необходимой долговечности
ремней по числу пробегов в сек:
Где
-
длина ремня, м;
.11 Мощность, передаваемая одним ремнем в
реальных условиях работы
Где
-
мощность, передаваемая одним клиновым ремнем при стандартных условиях ;
- коэффициент
влияния угла обхвата ремнем малого шкива;
- коэффициент,
учитывающий влияние длины ремня;
- коэффициент
передаточного отношения;
- коэффициент
динамичности нагрузки и режима работы по ГОСТ 1284.3-96;
.12 Требуемое число клиновых ремней
Принимаем:
.13 Уточнение числа клиновых ремней
- коэффициент
числа ремней, учитывающий неравномерность распределения нагрузки между ремнями.
Окончательно, принимаем
.14 Определение силы предварительного натяжения
одного клинового ремня
Где q - масса 1м длины ремня, кг/м
.15 Определение усилия от ремней на валы
Принимаем ремень Б(В) - 2500.Ш ГОСТ 1284.1 - 96
.16 Ширина шкива
6. Предварительный расчет валов и
конструирование редуктора
.1 Расчет ведущего вала
где:
принимаю
принимаю
Выбираем подшипник: 310 ГОСТ 8338-75
Подшипник 7310А ГОСТ 27365-87
Выбираем манжету:
.2 Расчет ведомого вала
принимаем

Выбираем манжету:
6.3 Конструирование корпуса
Толщина стенки корпуса:
Толщина стенки крышки:
7. Проверочный расчет ведущего вала редуктора
.1 Исходные данные для расчета червячной
передачи
788 Н;
.2 Выбор материала вала
Для вала-червяка - материал червяка - это материал вала. Выбираем оловянную бронзу Бр 010Ф1 отливка в кокиль. Для вала колеса (ведомого вала): Сталь 40X
Механические характеристики материала вала:
.3 Составление расчетной схемы вала
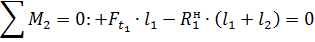
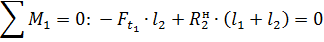
.3.1 Определение реакций опор от сил в
горизонтальной плоскости. Эпюра изгибающих моментов
Проверка:
:
Эпюра
а) )
при
при
при
при
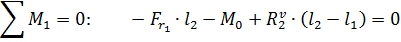
.3.2 Определение реакций опор от сил в вертикальной плоскости. Эпюра изгибающих моментов
-
делительный диаметр червяка, мм
Проверка:
:
Эпюра
а
при
.3.3 Эпюра суммарных изгибающих моментов
.3.4 Суммарные реакции опор
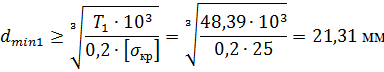
.4 Проверочный расчет вала в опасном сечении
Опасным сечением является сечение «С-С», так как в этом сечении действует наибольший изгибающий момент и имеет место концентрации местных напряжений (в данном случае для вала - червяка, вызванная нарезкой резьбы червяка)
Напряжения изгиба:
Напряжения кручения:
Напряжения растяжения: