Материал: Привод сгустителя

Внимание! Если размещение файла нарушает Ваши авторские права, то обязательно сообщите нам

Привод сгустителя













Привод сгустителя

Расчетно-пояснительная записка

Содержание

Введение

. Краткое описание привода

. Исходные данные расчета

. Предварительный расчет привода

.1 Определение расчетной мощность электродвигателя и выбор его по каталогу

.2 Определение общего передаточного числа двигателя и разбивки его по ступеням

.3 Определение мощностей на валах привода

.4 Определение частоты вращения валов привода

.5 Определение вращающихся моментов на валах привода

. Расчет червячной передачи

.1Выбор материалов червяка и червячного колеса

.2Определение допускаемых контактных напряжений

.3Определение допускаемых напряжений изгиба

.4Выбор профиля червяка

.5 Определение межосевого расстояния

.6 Выбор числа заходов червяка и определение числа зубьев колеса

.7Определение модуля передачи

.8Выбор коэффициента диаметра червяка

. 9 Определение коэффициента смещения червяка

.10 Уточнение передаточного числа

.11 Уточнение углов подъема витка червяка

.12 Уточнение скорости скольжения и допускаемых контактных напряжений

.13 Проверочный расчет передачи на контактную прочность

.14 Определение основных размеров червяка и червячного колеса

.15 Проверочный расчет зубьев колеса на выносливость при изгибе

.16 Определение КПД передачи

.17 Определение усилий в зацеплении

.18 Расчет клиноременной передачи

.1 Выбор смены клиноременного ремня

.2 Диаметр ведущего шкива

.3 Диаметр ведомого шкива

.4 Уточнение передаточного отношения

.5 Межосевое расстояние

.6 Длина ремня

.7 Уточнение межосевого расстояния

.8 Угол обхвата ремней ведущего шкива

.9 Скорость ремня

.10 Число пробегов ремня

.11 Мощность, передаваемая одним ремнем

.12 Требуемое число клиновых ремней

.13 Уточнение числа клиновых ремней

.14 Определение силы предварительного натяжения одного ремня

.15 Определение усилия от ремней на валы

.16 Ширина шкива

. Предварительный расчет валов и конструирование редуктора

.1 Расчет ведущего вала шестерни

.2 Расчет ведомого вала

.3 Конструирование корпуса

. Проверочный расчет ведущего вала редуктора

.1Исходные данные для расчета

.2Выбор материала вала

.3Составление расчетной схемы вала

.3.1Определение реакций опор от сил горизонтальной плоскости. Эпюра изгибающих моментов

.3.2Определение реакций опор от сил вертикальной плоскости. Эпюра изгибающих моментов

.3.3Эпюра суммарных изгибающих моментов

.3.4Суммарный реакции опор

. Проверочный расчет подшипников ведущего вала редуктора

Заключение

Список литературы

привод червячный клиноременная шкив

Введение

Конвейер предназначен для перемещения сыпучих материалов в горизонтальном направлении на расстояние от 50-100 м. движение от электродвигателя 10 передается кривошипу 1 через планетарный редуктор 11 и зубчатую передачу z4-z5. Рычажный механизм, состоящий из кривошипа 1, шатуна 2, коромысла 3, кулисного камня 4 и ползуна 5, обеспечивает возвратно-поступательное движение транспортирующего желоба 6. Желоб при движении вправо увлекает насыпанный на него материал. Когда отрицательное ускорение желоба достигает критического значения (акр=f0g, где f0 - коэффициент трения покоя между материалом и желобом, g=9,81 м/с2), начинается относительное скольжение материала по желобу за счет накопленной ранее кинетической энергии. Далее материал движется со скоростью, убывающий по линейному закону до момента выравнивая скоростей материала и желоба при движении последнего влево. Материал должен перемещаться по желобу все время в одну сторону (вправо). Для этого положительное ускорение не должно превышать критического значения. Подача материала на желоб из бункера осуществляется кулачковым механизмом 7-8. Кулачок 7 получает вращение от кривошипного вала через цепную передачу 9 с передаточным отношением U=1. Для получения требуемой равномерности движения на кривошипном валу закреплен маховик.


.Краткое описание привода сгустителя

Привод состоит из электродвигателя АИР112М2, муфты втулочно-пальцевой, клиноременной передачи, редуктора нестандартного червячного одноступенчатого. Электродвигатель и редуктор установлены на фундаменте, натяжение ремня с помощью салазок.

2. Исходные данные расчета

Синхронная частота вращения вала двигателя ;

Требуемая мощность: ;

Допускаемое отклонение частоты вращения цилиндра: 5 %;

Диаметр выходного конца вала цилиндра: 75 мм.

3. Предварительный расчёт привода

.1 Определение расчетной мощности электродвигателя и выбор его по каталогу

 

где:=5 кВт

 ­- общий КПД привода


где:  - КПД ременной передачи;

 - КПД пары колес;

 - КПД червячной передачи;


Выбираем двигатель АИР112М2


3.2 Определение общего передаточного числа привода и разбивка его по ступеням передач

Принимаю

3.3 Определение мощностей на валах привода



.4 Определение частоты вращения на валов привода




3.5 Определение вращающихся моментов на валах привода




4. Расчет червячной передачи редуктора

Исходные данные для расчета

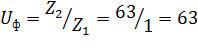
Передаточное число U=63;

Частота вращения червяка ;

Частота вращения колеса ;

Вращающий момент на червячном колесе ;

Срок службы передачи при трехсменной работе 6 лет.

Передача нереверсивная, нагрузка постоянная, равномерное.

.1 Выбор материалов червяка и червячного колеса

Для изготовления червяка принимаем сталь 40Х с поверхностной закалкой токами высокой частоты до твердости 50 HRC с последующим шлифованием и полированием витков.

Ожидаемое значение скорости скольжения


.2 Определение допускаемых контактных напряжений для червячного колеса


где:


;

коэффициент, учитывающий интенсивность износа материала колеса

;

.

Расчетное число циклов напряжения зубьев колеса за весь срок службы передачи:


где: n - частота вращения колеса, ;

- срок службы передачи.


где: - число лет работы передачи, ;

- коэффициент годового использования передачи, ;

- число смен работы передачи в сутки, ;

Расчетное число циклов напряжений:


 

Допускаем контактные напряжения:


.3 Определение допускаемых напряжений изгиба


где: - предел выносливости зубьев при изгибе, соответствующий базовому числу циклов напряжения;


- коэффициент долговечности.


Допускаемое напряжение изгиба:


.4 Выбор профиля червяка

При мелкосерийном производстве выбираем архимедов червяк.

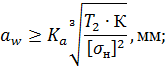
.5 Определение межосевого расстояния


где: - для передачи с архимедовым червяком;

- передаточное число;

- вращающий момент на червячном колесе,

- коэффициент нагрузки. При  предварительно принимаем

- коэффициент ширины колеса.

При несимметричном расположении косозубых колес относительно опор выбираем

Принимаем из ряда стандартных чисел по ГОСТ 6636-69

.6 Выбор числа заходов червяка и определение числа зубьев колеса

Число заходов червяка

Число зубьев колеса

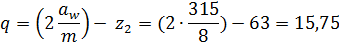
.7 Определение модуля передачи

Предварительное значение модуля передачи


По ГОСТ 2144-76 принимаем

.8 Выбор коэффициента диаметра червяка

Предварительное значение коэффициента диаметра червяка


Минимально допустимое значение коэффициента диаметра червяка

Принимаем по ГОСТ 2144-76 ближайшее стандартное значение коэффициента

.9 Определение коэффициента смещения червяка


Коэффициент смещения червяка находиться в допустимых пределах

Фактическое межосевое расстояние


.10 Уточнение передаточного числа

Фактическое передаточное число


Отклонение от заданного передаточного числа 0%

4.11 Уточнение углов подъема витка червяка

Делительный угол подъема


Начальный угол подъема


.12 Уточнение скорости скольжения и допускаемых контактных напряжений

Скорость скольжения в зацеплении


Фактическое допускаемое контактное напряжение

Где


.13 Проверочный расчет передачи на контактную прочность

 

Где  - для передачи с архимедовым червяком;

 - коэффициент нагрузки;-делительный диаметр червячного колеса

 - окружная сила на колесе


 - начальный диаметр червяка


Коэффициент нагрузки


Где  - коэффициент концентрации нагрузки по длине зуба колеса.

При постоянной нагрузке

При скорости скольжения и принимаем

Расчетное контактное напряжение

Отклонение расчетного напряжения от допускаемых контактных напряжений