Міністерство
освіти і науки України
Сумський державний університет
Машинобудівний коледж
Предмет
«Охорона праці в галузі»
Студент Матвієнко Б.І. (_____________)
Група 411-ік
Викладач Вараниця П.І. (_____________)
м. Суми – 2015 рік
Методичні
вказівки до практичної роботи №1
Тема роботи: Оцінити ефективність природної вентиляції приміщення економічного відділу за такими вихідними даними:
габарити приміщення: довжина – 8 м, ширина – 4 м, висота – 3,2 м;
кількість працюючих – 7 робітники;
розмір кватирки – 0,20 м2;
розмір дверей – 1,68 м2;
висота від центру дверей до центру кватирки – 1,4 м.
Рішення:
Оцінка ефективності природної вентиляції робочого приміщення здійснюється порівнянням необхідного повітрообміну з фактичним.
Якщо об’єм робочого приміщення, що припадає на кожного працівника, менше 20 м3, необхідний повітрообмін повинен складати не менше L' = 30 м3/год. на одну особу. При об’ємі 20 м3 і більше на одного працівника повітрообмін повинен складати не менше L' = 20 м3/год. При об’ємі 40 м3 і більше на одного працівника за наявності в приміщенні вікон та дверей повітрообмін не лімітується.
Таким чином, необхідний повітрообмін Lн, м3/год, обчислюється за формулою:
, (1)
де n – кількість працюючих.
В нашому випадку об’єм робочого приміщення, що припадає на кожного працівника дорівнює:

м3
L=(8*4*3.2)/7=102.4/7=14,62857142857143
L=20*7=140 м3/год.
Фактичний повітрообмін у відділі здійснюється за допомогою природної вентиляції як неорганізовано – через різні нещільності у віконних і дверних прорізах, так і організовано – через кватирку у віконному прорізі.
Фактичний повітрообмін Lф, м3/год., обчислюється за формулою:
, (2)
де Fкв – площа кватирки, через яку буде виходити повітря, м2;
Vп – швидкість виходу повітря через кватирку, м/с. Її можна розрахувати за формулою:
(3)
де g – прискорення вільного падіння, g =9,8 м/с;
∆Н2 – тепловий напір, під дією якого буде виходити повітря з кватирки, кг/м2:
(4)
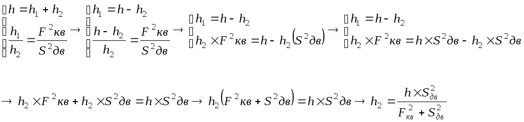
де h2 – висота від площини рівних тисків до центру кватирки (рис. 1).
Її можна визначити з наступного співвідношення: відстані від площини рівних тисків до центрів нижніх і верхніх прорізів відповідно h1 та h2, обернено пропорційні квадратам площ цих прорізів Sдв та Fкв, тобто

(5)
З геометричних розмірів приміщення h1+h2=h,
де h=1,5 м – висота між центрами нижніх та верхніх прорізів.
Таким чином, з системи двох рівнянь з двома невідомими знаходимо h2 (див. рис. 1).

Рис. 1 – Схема розрахунку природної вентиляції

Відповідно
(1.5*1.68^2)
/ (0.20^2*1.68^2) = 4,2336/0,112896= 37,4 м
γз та γвн – відповідно об'ємна вага повітря зовні та з середини приміщення, кг/м3.
Об'ємна вага повітря визначається за формулою:
![]()
(6)
де
Рб
– барометричний тиск, мм рт. ст., в
розрахунках береться Рб
= 750 мм рт. ст.;
Т – температура повітря, градуси Кельвіна.
Для управлінських приміщень, в яких виконується легка робота відповідно до ГОСТу 12.1.005–88 для теплого періоду року, температура повітря повинна бути не вище +28˚С, або T=301К, для холодного періоду року відповідно t=17˚С, або T=290К.
Для повітря зовні приміщення температура визначається за СНиП 2.04.05–91:
для теплого періоду: t = 24˚С, T = 297 К;
для холодного періоду: t = -11˚С, T = 262 К.
Для холодного періоду
Об'ємна вага повітря зовні приміщення, кг/м3 буде дорівнювати:
γз =0,465*750/262=1,33
Об'ємна вага повітря з середини приміщення, кг/м3 буде дорівнювати:
γвн =0,465*750/290=1,2
Тепловий напір, під дією якого буде виходити повітря з кватирки, кг/м2 становить:
∆Н2=37,4*(1,33–1,2)= 4,8
Швидкість виходу повітря через кватирку, м/с складає:
![]()
м
Фактичний повітрообмін Lф, м3/год., у відділі становить:
Lф=0,20∙3,10∙0,5∙3600=1116 м3/год
Визначивши фактичний повітрообмін і порівнявши його з необхідним, можна зробити висновок про ефективність природної вентиляції у відділі. У холодний період року фактичний повітрообмін набагато більше необхідного (1116 > 80), що може викликати переохолодження працюючих.
Для
покращення ефективності природної
вентиляції рекомендується скорочення
часу провітрювання приміщення пропорційно
перевищенню фактичного повітрообміну
над необхідним.
Необхідні 140 м3/год. Фактично можна досягти за:
140*60/1116= 7,5 хв.
Тобто для ефективної роботи природної вентиляції достатньо провітрювати приміщення економічного відділу протягом 7,5 хв. кожної години.
Для теплого періоду
Об'ємна вага повітря зовні приміщення, кг/м3 буде дорівнювати:
γз =0,465*750/297=1,17
Об'ємна вага повітря з середини приміщення, кг/м3 буде дорівнювати:
γвн =0,465*750/301=1,16
Тепловий напір, під дією якого буде виходити повітря з кватирки, кг/м2 становить:
∆Н2 =1,48∙(1,17–1,16)=0,01
Швидкість виходу повітря через кватирку, м/с складає:
![]()
Фактичний повітрообмін Lф, м3/год., у відділі становить:
Lф=0,20∙0,4∙0,5∙3600=144 м3/год
Визначивши фактичний повітрообмін і порівнявши його з необхідним, можна зробити висновок про ефективність природної вентиляції у відділі. У холодний період року фактичний повітрообмін набагато більше необхідного (144> 140), що може викликати переохолодження працюючих. Для покращення ефективності природної вентиляції рекомендується скорочення часу провітрювання приміщення пропорційно перевищенню фактичного повітрообміну над необхідним.
Необхідні 140 м3/год. Фактично можна досягти за:
140*60/144=58.3 хв.
Тобто
для ефективної роботи природної
вентиляції достатньо провітрювати
приміщення економічного відділу протягом
58.3 хв. кожної години
через 1 годину.


Список використаної літератури
НПАОП 40.1–1.07–01 Правила експлуатації електрозахисних засобів.
Батлук В.А., Гогіташвілі Г.Г. Охорона праці в будівельній галузі. – К.: Знання, 2006.
Геврик Є.О. Охорона праці: Навч. посіб. для студ. вищ. навч. закладів. – К.: Ельга, Ніка-Центр, 2003.
Грибан В.Г., Негодченко О.В. Охорона праці (+Доступ з локальної мережі СумДУ): навч. пос. – К.: ЦУЛ, 2009.
http://forca.com.ua