Участок тоннеля №1: грунт – лесс отвердевший, f =0,9.
Так как грунт относится к слабым ( I группа), то выработку раскрывают по частям
(см. рис.4) с немедленным закреплением обнажённого массива временной крепью.

Рис.4. Схема очерёдности раскрытия элементов подземной выработки в слабых грунтах.
Работы по проходке тоннеля в данном грунте будем проводить, используя способ опёртого свода. Данный способ предусматривает сооружение в первую очередь верхней части обделки – свода. Вначале проходят нижнюю штольню 1. Из неё при помощи вертикальных или наклонных ходков 2 открывают забой верхней штольни 3, на базе которой раскрывают верхнюю часть выработки – калотту 4. Затем разрабатывают грунт а средней штроссе 5 и в последнюю очередь – в боковых штроссах 6.
Участок тоннеля №2: грунт – гнейс плотный, f = 11.
При постройке тоннеля в крепком грунте отпадает необходимость в немедленной после разработки грунта установки временной крепи, которую в этих условиях принимаем менее громоздкой, так как её назначение сводится к предотвращению образования отдельных мелких вывалов и обрушения одиночных кусков грунта с кровли. При проходке данного участка тоннеля будем использовать способ сплошного забоя, для которого характерно наличие одной плоскости забоя, что упрощает использование для бурения шпуров буровых рам с тяжёлыми высокопроизводительными перфораторами, снабжёнными автоматическим управлением.
Основные работы при этом способе включают только два процесса (см. рис.5):

Рис. 5. Проходка тоннеля в крепком грунте способом сплошного забоя.
разработку грунта 1 с последующей уборкой её и кладку бетонной обделки 2.
Участок тоннеля №3: грунт – туф, f = 4.
Для проходки выработок в скальных грунтах с коэффициентом крепости от 2 до 4 при сооружении однопутного железнодорожного тоннеля применяется уступный способ( см.рис. 6).

Рис.6. Схема сооружения тоннеля уступным способом.
В курсовом проекте одновременно с проходкой колотты(1) на определённом расстоянии от её забоя производим разработку уступа на ширину пролёта выработки(2) и затем по всему периметру выработки за один приём бетонируем обделку(3). Длину уступа принимаем равной 130 м.
Разработка полускальных и скальных грунтов с коэффициентом крепости более 2 осуществляется буровзрывным способом. В курсовом проекте необходима детальная проработка проекта организации работ на участке с крепостью грунта f = 4. Как видно, грунт разрабатываем буровзрывным способом.
В соответствии с геологическими условиями в качестве ВВ выбираем аммонит №6 прессованный со следующими характеристиками:
плотность, ∆=1,25 г/см3=1250 кг/м3;
коэффициент работоспособности, е=0,9;
диаметр патрона, dп = 34 мм.
Определим удельный расход ВВ с учётом его работоспособности по формуле:
;
где е - коэффициент работоспособности ВВ;
ψ - коэффициент влияния плотности заряжения;
ω - коэффициент структуры и трещиноватости грунтового массива;
S - площадь сечения забоя.
Определим линию наименьшего сопротивления (ЛНС) отбойных шпуров по формуле:
;
где к - коэффициент зажима;
d - диаметр шпура, м;
γ - объёмная масса грунта, кг/м3.
Так как при обуривании забоя будем применять мощные бурильные установки и тяжёлые бурильные машины, вруб принимаем прямым призматическим с расстоянием между врубовыми зарядами 25 см с устройством незаряженной скважины в центре.
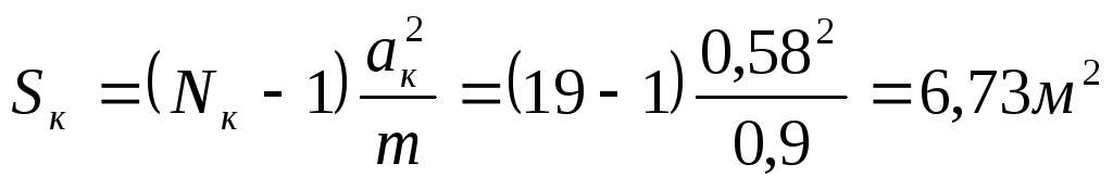
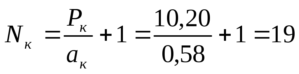
Расстояние между отбойными шпурами принимаем равным 0,8 м ((0,8-0,95)*W0), между подошвенными - ап=0,8 м ((0,7-0,9)*W0), между контурными – ак=0,58 м (0,6W0).
Вычисляем количество шпуров на забой по формуле:
,
где
-
количество контурных шпуров;
-
количество подошвенных шпуров;
-
количество отбойных шпуров; по
конструктивным соображениям принимаем
N0
= 21;
-
площадь сечения забоя, взрываемая
отбойными шпурами;
-
площадь сечения забоя, взрываемая
контурными шпурами;
m - коэффициент сближения контурных зарядов;
-
площадь сечения забоя, взрываемая
подошвен-ными шпурами;
Sвр - площадь сечения забоя, взрываемая врубовыми зарядами;
кз - коэффициент заполнения шпура;
к∆ - коэффициент уплотнения, для патронированных ВВ равен 1,0.
.
С учётом устойчивости кровли выработки длину комплекта шпуров назначаем равной l=1,8 м. Тогда глубина заходки определяется по формуле:
;
где η - коэффициент использования шпура.
Объём взрываемой породы равен:
.
Ориентировочно расход ВВ на взрыв равен:
.
Масса всех контурных зарядов
;
где кк - концентрация заряда контурного шпура.
Средняя масса зарядов остальных шпуров
.
Масса зарядов врубовых, отбойных и подошвенных шпуров равна
;
;
.
Для бурения шпуров в забое выработки будем применять бурильные машины БУ-1 на базе самоходной бурильной установки СБУ-2к. Количество одновременно работающих бурильных машин принимаем равным четырём из расчёта 8 м2 площади обуриваемого забоя на одну бурильную машину, находящуюся на установке( две СБУ-2к).
Бурение вертикальных шпуров уступа осуществляем самоходными бурильными установками СБУ-2к, так как высота уступа (3,8 метра) не превышает максимального хода подачи бура установки (4,0 метра).
Выбор типа временного крепления производим по следующей формуле:
;
где S - площадь сечения тоннеля, м2;
B - пролёт выработки, м;
f - коэффициент крепости грунта;
T - параметр устойчивости.
.
При Т=9 временную крепь принимаем в виде анкеров с подхватами и металлической сеткой.
Для выработок средних сечений (20-50 м2) рекомендуется применять для погрузки породы погрузочные машины типа ПНБ непрерывного действия. В курсовом проекте применяем машину ПНБ-3Д.
Вывозку породы будем производить автомобильным транспортом. Тогда для разминовки встречных транспортных средств и для поворота автотранспорта необходимо будет устраивать специальные ниши.
Транспортировку породы из забоя колоты до разрабатываемого нижнего уступа будем производить с помощью самоходных тележек на пневмоходу (тип 1ВС20АРЕ с ёмкостью кузова 12 м3).
Для транспортировки породы из тоннеля будем использовать автомобильный транспорт – автосамосвалы МоАЗ-6401 с объёмом кузова 11 м3. Так как объём взорванной породы составляет 35 м3, то необходимое количество автосамосвалов равно 4.
параметров проходческого цикла.
Так как основными операциями проходческого цикла являются бурение шпуров в забое и погрузка взорванной породы, продолжительность цикла определяется по формуле:
,
где Тб, Тп, Твсп - продолжительность операций бурения, погрузки и вспомогательных
операций.
Продолжительность бурения определяется по формуле:
;
где N - число шпуров в забое;
l - средняя длина шпура;
φ - коэффициент использования бурильных машин во времени;
β - коэффициент одновременности работы бурильных машин;
n - число бурильных машин;
vб - чистая скорость бурения шпура, пог. м шпура в ч.
Чистая скорость бурения шпура определяется по формуле:
пог. м в час;
где к1 - коэффициент, зависящий от типа бурильной машины;
к2 - коэффициент, учитывающий влияние сжатого воздуха;
к3 - коэффициент, учитывающий влияние диаметра головки бура;
к4 - коэффициент, учитывающий глубину шпура.
Продолжительность погрузки взорванной массы грунта определится по формуле:
;
где W3 - глубина заходки за цикл, м;
S - проектная площадь сечения выработки, м2;
кп - коэффициент перебора;
кр - коэффициент разрыхления грунта;
Рэ - эксплутационная производительность погрузочной машины;
n - число погрузочных машин в забое;
β - коэффициент одновременности работы погрузочных машин.
Эксплутационная производительность определяется по формуле:
м3/ч;
где φ - коэффициент использования машины;
Рт - техническая производительность погрузочной машины;
t1, t3 - продолжительность простоя машины и различные потери времени, отнесённые к 1 м3 породы;
v - объём самосвала;
η -коэффициент заполнения самосвала.
Время на вспомогательные операции, ч
;
где Т1 - время на подготовительные операции;
-
время на заряжение шпуров ( N
– число
шпуров, l
– средняя
длина шпура, n
– число заряжающих);
Т3 - время на взрывание и проветривание;
Т4 - время на прочие работы.
Тогда
ч.
На базе полученных данных построена циклограмма – графическое изображение последовательности работ. Полученная циклограмма представлена на втором листе чертежей.