Переход от тоннеля к выемке осуществляется при помощи портала, который служит для обеспечения устойчивости лобового и боковых откосов выемки, отвода воды с лобового откоса и архитектурного оформления входа в тоннель.
В состав портала входит торцевая стена с входным отверстием, водоотводная канавка и первое кольцо обделки. Торцевая стена сваривается с первым кольцом обделки с помощью арматуры или обрезков прокатных профилей и опирается непосредственно на боковые откосы выемки, в которые заделывается на необходимую глубину.
Подошвы торцевой и боковых стен заглубляются относительно низа кюветов в соответствии с глубиной промерзания грунтов в их основании.
Вода, стекающая с лобового откоса, перехватывается поперечной водоотводной канавкой, расположенной за торцевой стеной, и отводится с уклоном 2‰ канавкой, устроенной по верху откосов выемки, или, в условиях теплого климата, в кюветы по чугунным трубам, заложенным за торцевой стеной.
Дно канавки располагается не ниже чем на 1,5м от верха тоннельной обделки для обеспечения слоя породы, достаточной для амортизации возможных ударов камней, скатывающихся с лобового откоса. Расстояния от низа лобового откоса до портальной стены принимают не менее 1,5 м, а парапет стены не менее чем на 0,5 м выше канавки. Крутизну откоса предпортальной выемки назначают в зависимости от крепости грунта, при f = 0,8-1:0,5, при f = 4,0-1:0,3.
Конструкция портала показана на первом листе чертежей.
Выбор и технико-экономическое обоснование конструктивных решений обделок.
Конструкции тоннельных обделок должны удовлетворять следующим требованиям: эксплуатационным, технологическим, экономическим. Для выполнения этих условий обделки проектируются следующим образом.
В слабых породах, в которых может появиться всестороннее горное давление, очертание конструкций должно приближаться к круговому. В породах, где появляется вертикальное и горизонтальное давление, свод и стены выполняются выпуклыми в сторону действия давления. В породах с вертикальным горным давлением, ось свода обделки выполняется криволинейной, а ось стены вертикальными. В слабых грунтах отступление от углов габарита может достигать 100-200 мм в связи с возможными осадками конструкции и особенностями технологии сооружения.
В устойчивых крепких грунтах отступление 5-10 мм, в слабых – 15-20 мм. Для всех случаев обделок материал - монолитный бетон.
На железных дорогах принят габарит "С": высота Н= 6250 мм, ширина В = 2450 мм. На кривых габарит необходимо увеличивать, т.к. при движении по ним происходит вынос концов и середины вагона и наклон его из-за возвышения наружного рельса.
Для прочности породы f=0,9 принимается подковообразное очертание обделки с обратным сводом.
Для прочности породы f=4 принимается так же подковообразное очертание обделки без обратного свода, но с более тонкими стенками.
Для прочности породы f=11 принимается обделка с вертикальными стенами и круговым очертанием свода. Обделка стен выполняется из набрызгбетона толщиной 50 мм с анкерами.
Все типы обделок представлены на первом листе чертежей.
В целях безопасности обслуживающего персонала в железнодорожном тоннеле предусматриваются ниши 200x200x100 см, располагающихся в шахматном порядке через 60 м. Для хранения ремонтного оборудования через каждые 300 м по обоим сторонам железнодорожного тоннеля вместо ниш сооружаются камеры длиной 6 м.
на участке с крепостью грунта f=4.
Исходные данные:
На участке с крепостью f=4 обделка подковообразного очертания без обратного свода.
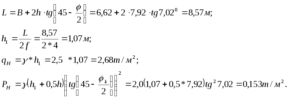
Основные геометрические размеры: высота H=7,92 м, толщина свода меняется от 0,400 до 0,560 м, ширина B=6,62 м.
Марка бетона 300( класс В25), расчетное сопротивление: на растяжение –10 кгс/см2, на сжатие – 135 кгс/см2.
Основные физико-механические характеристики горной породы: коэффициент прочности f=4, кажущийся угол внутреннего трения φ=70º, коэффициент упругого отпора к0=200 кгс/см 2, объемная масса грунта γ=2,5 т/м3.
Определение нормативных и расчетных нагрузок.
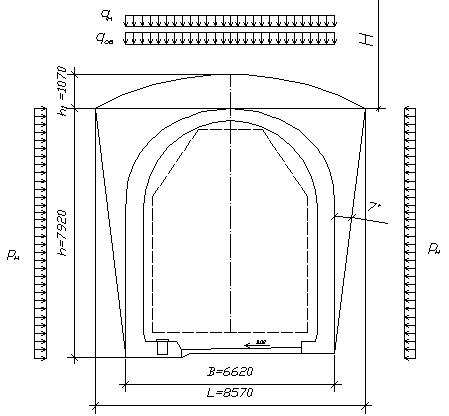
Величину горного давления в зависимости от степени трещиноватости массива и коэффициента крепости рекомендуется принимать от массы грунта в объеме свода обрушения в соответствии с гипотезой М.М. Протодьяконова (см. рис. 2);

Рис. 2. Схема нормативных и расчетных нагрузок.
где В – пролет выработки;
h - высота выработки;
L - пролет свода естественного равновесия ;
h1 - высота свода;
H - глубина залегания выработки;
qн - нормативное вертикальное горное давление;
Pн - нормативное горизонтальное горное давление.
Тогда справедливы следующие формулы:

Собственный вес обделки определится по формуле:
![]()
где G -вес
сводчатой части обделки;
![]()
Определим расчётные нагрузки посредством умножения нормативных на коэффициенты перегрузки:
![]()
![]()
Коэффициент упругого отпора в сводчатой части выработки:
;
Коэффициент упругого отпора под пятой:
;
ко =200 – коэффициент удельного отпора.
Статический расчет обделки.
Статический расчет обделки выполняется на ЭВМ по методу Метрогипротранса
( программа ПК-6). Этот метод предназначен для расчета конструкции произвольного очертания, расчетную схему которой можно представить в виде плоской стержневой системы.
В основу расчетной схемы положены следующие допущения:
А). Плавное очертание оси обделки заменяются вписанным стержневым многоугольником переменной жесткости.
Б). Распределенные внешние нагрузки заменяются сосредоточенными в узлах многоугольника усилиями.
В). Сплошная грунтовая среда заменяется отдельными упругими опорами, расположенными в вершинах многоугольника, перпендикулярно наружной поверхности обделки.
Г). Силы трения, возникающие в пятах разомкнутой обделки, в расчетной схеме заменяются запретом перемещения узлов пяты по горизонтали.

Рис. 3. Схема к статическому расчету обделки на ЭВМ.
РАСЧЕТ КОНСТРУКЦИИ ТИПА Лист 1
КОНСТРУКЦИЯ СИММЕТРИЧНА 15 узлов, 14 стержней
ИСХОДНЫЕ ДАННЫЕ Вариант 1
ОПИСАНИЕ УЗЛОВ В ПРЯМОУГОЛЬНЫХ КООРДИНАТАХ Таблица 1
--------------------------------------------------------------------------
: : : Координаты, м : Сосредоточенные нагрузки :Запр.перем.:
: N :Расч:--------------------------------------------------------------:
:Узла: N : Х : У : Р верт : Р гориз : Момент :по-: Х : У :
: : : : : т : т : тм :вор: : :
--------------------------------------------------------------------------
: 1: 0: .000: 7.383: .000 : .000 : .000 : : : :
: 2: 0: .722: 7.293: .000 : .000 : .000 : : : :
: 3: 0: 1.463: 7.018: .000 : .000 : .000 : : : :
: 4: 0: 2.111: 6.582: .000 : .000 : .000 : : : :
: 5: 0: 2.587: 6.032: .000 : .000 : .000 : : : :
: 6: 0: 2.930: 5.281: .000 : .000 : .000 : : : :
: 7: 0: 3.030: 4.433: .000 : .000 : .000 : : : :
: 8: 0: 3.030: 3.576: .000 : .000 : .000 : : : :
: 9: 0: 3.030: 2.822: .000 : .000 : .000 : : : :
: 10: 0: 3.030: 1.992: .000 : .000 : .000 : : : :
: 11: 0: 3.030: 1.205: .000 : .000 : .000 : : : :
: 12: 0: 3.030: .444: .000 : .000 : .000 : : : :
: 13: 0: 3.030: .000: .000 : .000 : .000 : : : :
: 14: 0: 3.310: .000: .000 : .000 : .000 : : : :
: 15: 0: 2.450: .000: .000 : .000 : .000 : : * : :
--------------------------------------------------------------------------
ИСХОДНЫЕ ДАННЫЕ Вариант 1
ОПИСАНИЕ СТЕРЖНЕЙ Таблица 2
---------------------------------------------------------------------------
:Номера :Распределен. нагрузки: Коэффиц.:Шар:Площадь: Момент : Модуль :
:узлов :---------------------: упругого:нир:сечения: инерции :упругости :
:-------: Q верт : Q гориз : отпора :---: : сечения :конструкц.:
:Нач:Кон: т/м2 : т/м2 : К ,т/м3 :Н:К: F ,м2 : J ,м4 : Е ,т/м2 :
---------------------------------------------------------------------------
: 1 : 2 : 5.880 : .122 : 60423: : : .400 : .0053300: 3060000 :
: 2 : 3 : 5.880 : .122 : 60423: : : .406 : .0055800: 3060000 :
: 3 : 4 : 5.880 : .122 : 60423: : : .487 : .0096300: 3060000 :
: 4 : 5 : 5.880 : .122 : 60423: : : .558 : .0144400: 3060000 :
: 5 : 6 : 5.880 : .122 : 60423: : : .600 : .0179900: 3060000 :
: 6 : 7 : 5.880 : .122 : 60423: : : .569 : .0153500: 3600000 :
: 7 : 8 : .000 : .122 : 60423: : : .560 : .0146000: 3060000 :
: 8 : 9 : .000 : .122 : 60423: : : .560 : .0146000: 3060000 :
: 9 :10 : .000 : .122 : 60423: : : .560 : .0146000: 3060000 :
:10 :11 : .000 : .122 : 60423: : : .560 : .0146000: 3060000 :
:11 :12 : .000 : .122 : 60423: : : .560 : .0146000: 3060000 :
:12 :13 : .000 : .122 : 60423: : : .560 : .0146000: 3060000 :
:13 :14 : .000 : .000 : 247930: : : .250 : .0013020: 3060000 :
:14 :15 : .000 : .000 : 247930: : : .250 : .0013020: 3060000 :
---------------------------------------------------------------------------
^L
РЕЗУЛЬТАТЫ РАСЧЕТА
==========================================
: : Перемещения в системе Х У :
: Номера:--------------------------------:
: узлов : Угол : Горизонт.: Вертик. :
: : поворота : смещение : смещение :
: : (рад) : (м) : (м) :
==========================================
: 1 .00000 .00000 .00051 :
: 2 -.00011 .00000 .00047 :
: 3 -.00015 -.00003 .00037 :
: 4 -.00011 -.00008 .00027 :
: 5 -.00004 -.00012 .00023 :
: 6 .00002 -.00012 .00022 :
: 7 .00006 -.00008 .00022 :
: 8 .00006 -.00003 .00021 :
: 9 .00005 .00002 .00020 :
: 10 .00002 .00005 .00019 :
: 11 -.00001 .00005 .00019 :
: 12 -.00005 .00003 .00018 :
: 13 -.00007 .00000 .00017 :
: 14 -.00006 .00000 .00014 :
: 15 .00023 .00000 .00003 :
------------------------------------------
РЕЗУЛЬТАТЫ РАСЧЕТА
=============================================================================
: : Зона : : : : :
: : взаимо- : Момент :Нормальная:Поперечная: Эксцентриситет :
: НН- :действия : (тм) : : : (м) :
: :с грунтом: : сила : сила : :
: -НК :---------:-------------------: : :----------------:
: :Нач.: Кон:В начале : В конце :в элементе:от момента:В начале:В конце:
: :стер:стер: стержня : стержня : (т) : (т) :стержня :стержня:
=============================================================================
: 1- 2 2.764 -2.048 -9.266 -.984 -.2983 -.2210:
: 2- 3 2.048 .223 -10.721 -2.873 -.1911 .0208:
: 3- 4 -.223 3.104 -13.339 -3.689 .0167 .2327:
: 4- 5 -3.104 4.758 -16.299 -2.273 .1905 .2919:
: 5- 6 ** ** -4.758 3.920 -18.438 1.014 .2580 .2126:
: 6- 7 ** ** -3.920 .968 -18.667 3.457 .2100 .0519:
: 7- 8 ** ** -.968 -.732 -18.594 1.983 .0521 -.0393:
: 8- 9 ** .732 -1.227 -18.594 .657 -.0393 -.0660:
: 9-10 1.227 -1.692 -18.594 .560 -.0660 -.0910:
:10-11 1.692 -2.056 -18.594 .462 -.0910 -.1105:
:11-12 2.056 -2.335 -18.594 .367 -.1105 -.1256:
:12-13 ** 2.335 -2.466 -18.594 .294 -.1256 -.1326:
:13-14 2.466 2.741 -.262 -18.594 -9.4280 10.4804:
:14-15 ** ** -2.741 .000 .262 3.187 -10.4804 .0000:
Проверка прочности обделки.
После определения внутренних усилий (изгибающих моментов и нормальных сил) проверяют прочность бетонных сечений. Для этого вычисляют величину предельной нормальной силы NП, которую может воспринять данное сечение, и сравнивают её с величиной нормативной силы N, полученной при статическом расчете для этого же сечения. При этом должно соблюдаться условие NП > N.
Проверку прочности тоннельной обделки проводим для наиболее загруженных сечений 1 и 5 .
Для сечения 1. Проверяем эксцентриситет:
е0=0,2983 м = 29,83 см ≤ 0,9*у=0,9*0,2=0,18 м 18 см;
где y – расстояние от центра тяжести сечения до наиболее сжатого слоя бетона обделки.
Условие не выполняется, в этом случае работа сечения обделки приближается к работе изгибаемых элементов.
В этом случае проверка прочности сечения производится по формуле:
;
где m - коэффициент условия работы (m=0,9);
k - коэффициент, учитывающий вид бетона ( k=1 );
Rр - расчетное сопротивление бетона растяжению ( Rр=10кгс/см2 ).
b - ширина сечения ( b=100 см );
h - высота сечения ( см ).
Производим проверку: M=2,764 тс*м ≤ Мп=4,11 тс*м. Проверка выполняется, прочность обделки обеспечена.
Для сечения 5. Проверяем эксцентриситет:
е0=0,2919 м = 29,19 см ≤ 0,9*у =0,9* 0,279=0,25 м = 25,11 см;
Условие не выполняется, в этом случае работа сечения обделки приближается к работе изгибаемых элементов.
В этом случае проверка прочности сечения производится по формуле:
;
Производим проверку: M=4,758 тс*м ≤ Мп=8,00 тс*м. Проверка выполняется, прочность обделки обеспечена.
В дальнейшем увеличении толщины обделки нет необходимости, так как при принятых толщинах свода и стен прочность обделки обеспечена.