Выбор и технико-экономическое обоснование конструктивных решений обделок.
Конструкции тоннельных обделок должны удовлетворять следующим требованиям: эксплуатационным, технологическим, экономическим. Для выполнения этих условий обделки проектируются следующим образом.
В слабых породах, в которых может появиться всестороннее горное давление, очертание конструкций должно приближаться к круговому. В породах, где появляется вертикальное и горизонтальное давление, свод и стены выполняются выпуклыми в сторону действия давления. В породах с вертикальным горным давлением, ось свода обделки выполняется криволинейной, а ось стены вертикальными. В слабых грунтах отступление от углов габарита может достигать 100-200 мм в связи с возможными осадками конструкции и особенностями технологии сооружения.
В устойчивых крепких грунтах отступление 5-10 мм, в слабых – 15-20 мм. Для всех случаев обделок материал - монолитный бетон.
Для прочности породы f=3 принимается подковообразное очертание обделки с обратным сводом.
Для прочности породы f=4,5 принимается так же подковообразное очертание обделки без обратного свода, но с более тонкими стенками.
Для прочности породы f=14 обделка свода и стен выполняется из набрызгбетона толщиной 50 мм с анкерами.
Все типы обделок представлены на первом листе чертежей.
В целях безопасности обслуживающего персонала в автодорожном тоннеле предусматриваются ниши 200x200x100 см, располагающихся в шахматном порядке через 60 м. Для хранения ремонтного оборудования через каждые 300 м по обоим сторонам тоннеля вместо ниш сооружаются камеры длиной 6 м.
на участке с крепостью грунта f=4,5.
Исходные данные:
На участке с крепостью f=4,5 обделка подковообразного очертания без обратного свода.
Основные геометрические размеры: высота H=8,36 м, толщина свода меняется от 0,500 до 0,780 м, ширина B=9,13 м.
Марка бетона 300( класс В25), расчетное сопротивление: на растяжение –10 кгс/см2, на сжатие – 135 кгс/см2.
Основные физико-механические характеристики горной породы: коэффициент прочности f=4,5, кажущийся угол внутреннего трения φ=70º, коэффициент упругого отпора к0=200 кгс/см 2, объемная масса грунта γ=2,8 т/м3.
Определение нормативных и расчетных нагрузок.
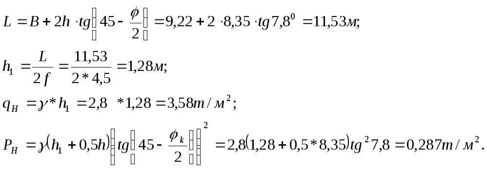
Величину горного давления в зависимости от степени трещиноватости массива и коэффициента крепости рекомендуется принимать от массы грунта в объеме свода обрушения в соответствии с гипотезой М.М. Протодьяконова (см. рис. 2);

Рис. 2. Схема нормативных и расчетных нагрузок.
где В – пролет выработки;
h - высота выработки;
L - пролет свода естественного равновесия ;
h1 - высота свода;
H - глубина залегания выработки;
qн - нормативное вертикальное горное давление;
Pн - нормативное горизонтальное горное давление.
Тогда справедливы следующие формулы:

Собственный вес обделки определится по формуле:
![]()
где G -вес
сводчатой части обделки;
![]()
Определим расчётные нагрузки посредством умножения нормативных на коэффициенты перегрузки:
![]()
![]()
Коэффициент упругого отпора в сводчатой части выработки:
;
Коэффициент упругого отпора под пятой:
;
ко =200 – коэффициент удельного отпора.
Статический расчет обделки.
Статический расчет обделки выполняется на ЭВМ по методу Метрогипротранса
( программа ПК-6). Этот метод предназначен для расчета конструкции произвольного очертания, расчетную схему которой можно представить в виде плоской стержневой системы.
В основу расчетной схемы положены следующие допущения:
А). Плавное очертание оси обделки заменяются вписанным стержневым многоугольником переменной жесткости.
Б). Распределенные внешние нагрузки заменяются сосредоточенными в узлах многоугольника усилиями.
В). Сплошная грунтовая среда заменяется отдельными упругими опорами, расположенными в вершинах многоугольника, перпендикулярно наружной поверхности обделки.
Г). Силы трения, возникающие в пятах разомкнутой обделки, в расчетной схеме заменяются запретом перемещения узлов пяты по горизонтали.

Рис. 3. Схема к статическому расчету обделки на ЭВМ.
РАСЧЕТ КОНСТРУКЦИИ ТИПА Лист 1
КОНСТРУКЦИЯ СИММЕТРИЧНА 15 узлов, 14 стержней
ИСХОДНЫЕ ДАННЫЕ Вариант 1
ОПИСАНИЕ УЗЛОВ В ПРЯМОУГОЛЬНЫХ КООРДИНАТАХ Таблица 1
--------------------------------------------------------------------------
: : : Координаты, м : Сосредоточенные нагрузки :Запр.перем.:
: N :Расч:--------------------------------------------------------------:
:Узла: N : Х : У : Р верт : Р гориз : Момент :по-: Х : У :
: : : : : т : т : тм :вор: : :
--------------------------------------------------------------------------
: 1: 0: .000: 7.765: .000 : .000 : .000 : : : :
: 2: 0: .836: 7.687: .000 : .000 : .000 : : : :
: 3: 0: 1.660: 7.416: .000 : .000 : .000 : : : :
: 4: 0: 2.379: 7.027: .000 : .000 : .000 : : : :
: 5: 0: 3.128: 6.363: .000 : .000 : .000 : : : :
: 6: 0: 3.764: 5.411: .000 : .000 : .000 : : : :
: 7: 0: 4.100: 4.391: .000 : .000 : .000 : : : :
: 8: 0: 4.179: 3.536: .000 : .000 : .000 : : : :
: 9: 0: 4.179: 2.810: .000 : .000 : .000 : : : :
: 10: 0: 4.179: 1.980: .000 : .000 : .000 : : : :
: 11: 0: 4.179: 1.193: .000 : .000 : .000 : : : :
: 12: 0: 4.179: .431: .000 : .000 : .000 : : : :
: 13: 0: 4.179: .000: .000 : .000 : .000 : : : :
: 14: 0: 4.608: .000: .000 : .000 : .000 : : : :
: 15: 0: 3.408: .000: .000 : .000 : .000 : : * : :
--------------------------------------------------------------------------
ИСХОДНЫЕ ДАННЫЕ Вариант 1
ОПИСАНИЕ СТЕРЖНЕЙ Таблица 2
---------------------------------------------------------------------------
:Номера :Распределен. нагрузки: Коэффиц.:Шар:Площадь: Момент : Модуль :
:узлов :---------------------: упругого:нир:сечения: инерции :упругости :
:-------: Q верт : Q гориз : отпора :---: : сечения :конструкц.:
:Нач:Кон: т/м2 : т/м2 : К ,т/м3 :Н:К: F ,м2 : J ,м4 : Е ,т/м2 :
---------------------------------------------------------------------------
: 1 : 2 : 7.480 : .230 : 43384: : : .500 : .0104000: 3060000 :
: 2 : 3 : 7.480 : .230 : 43384: : : .510 : .0111000: 3060000 :
: 3 : 4 : 7.480 : .230 : 43384: : : .540 : .0131000: 3060000 :
: 4 : 5 : 7.480 : .230 : 43384: : : .590 : .0171100: 3060000 :
: 5 : 6 : 7.480 : .230 : 43384: : : .600 : .0180000: 3060000 :
: 6 : 7 : 7.480 : .230 : 43384: : : .680 : .0262000: 3060000 :
: 7 : 8 : 7.480 : .230 : 43384: : : .720 : .0311040: 3060000 :
: 8 : 9 : .000 : .230 : 43384: : : .780 : .0395000: 3060000 :
: 9 :10 : .000 : .230 : 43384: : : .780 : .0395000: 3060000 :
:10 :11 : .000 : .230 : 43384: : : .780 : .0395000: 3060000 :
:11 :12 : .000 : .230 : 43384: : : .780 : .0395000: 3060000 :
:12 :13 : .000 : .230 : 43384: : : .780 : .0395000: 3060000 :
:13 :14 : .000 : .000 : 177685: : : .303 : .0023200: 3060000 :
:14 :15 : .000 : .000 : 177685: : : .303 : .0023200: 3060000 :
---------------------------------------------------------------------------
^L
РЕЗУЛЬТАТЫ РАСЧЕТА
==========================================
: : Перемещения в системе Х У :
: Номера:--------------------------------:
: узлов : Угол : Горизонт.: Вертик. :
: : поворота : смещение : смещение :
: : (рад) : (м) : (м) :
==========================================
: 1 .00000 .00000 .00099 :
: 2 -.00014 .00000 .00092 :
: 3 -.00023 -.00004 .00076 :
: 4 -.00022 -.00012 .00059 :
: 5 -.00013 -.00023 .00045 :
: 6 .00001 -.00027 .00040 :
: 7 .00009 -.00021 .00040 :
: 8 .00010 -.00013 .00039 :
: 9 .00009 -.00006 .00038 :
: 10 .00005 .00000 .00037 :
: 11 .00001 .00002 .00036 :
: 12 -.00003 .00002 .00035 :
: 13 -.00006 .00000 .00034 :
: 14 -.00014 .00000 .00027 :
: 15 .00035 .00000 .00005 :
------------------------------------------
РЕЗУЛЬТАТЫ РАСЧЕТА
=============================================================================
: : Зона : : : : :
: : взаимо- : Момент :Нормальная:Поперечная: Эксцентриситет :
: НН- :действия : (тм) : : : (м) :
: :с грунтом: : сила : сила : :
: -НК :---------:-------------------: : :----------------:
: :Нач.: Кон:В начале : В конце :в элементе:от момента:В начале:В конце:
: :стер:стер: стержня : стержня : (т) : (т) :стержня :стержня:
=============================================================================
: 1- 2 6.051 -4.777 -17.391 -1.518 -.3479 -.2746:
: 2- 3 4.777 -1.728 -19.194 -3.514 -.2489 -.0900:
: 3- 4 1.728 2.497 -22.192 -5.169 -.0779 .1125:
: 4- 5 -2.497 6.677 -26.338 -4.176 .0948 .2535:
: 5- 6 ** -6.677 7.123 -30.739 -.389 .2172 .2317:
: 6- 7 ** ** -7.123 3.702 -33.151 3.185 .2149 .1117:
: 7- 8 ** ** -3.702 -.711 -33.526 5.140 .1104 -.0212:
: 8- 9 ** ** .711 -3.793 -33.366 4.244 -.0213 -.1137:
: 9-10 ** ** 3.793 -5.436 -33.366 1.981 -.1137 -.1629:
:10-11 ** 5.436 -6.762 -33.366 1.684 -.1629 -.2027:
:11-12 6.762 -7.910 -33.366 1.506 -.2027 -.2371:
:12-13 ** 7.910 -8.500 -33.366 1.369 -.2371 -.2548:
:13-14 8.500 5.814 -1.298 -33.366 -6.5475 4.4785:
:14-15 ** ** -5.814 .000 1.298 4.845 -4.4785 .0000:
Проверка прочности обделки.
После определения внутренних усилий (изгибающих моментов и нормальных сил) проверяют прочность бетонных сечений. Для этого вычисляют величину предельной нормальной силы NП, которую может воспринять данное сечение, и сравнивают её с величиной нормативной силы N, полученной при статическом расчете для этого же сечения. При этом должно соблюдаться условие NП > N.
Проверку прочности тоннельной обделки проводим для наиболее загруженных сечений 1 и 13 .
Для сечения 1. Проверяем эксцентриситет:
е0=0,3479 м = 34,79 см ≤ 0,9*у=0,9*0,25=0,225 м =22,5 см;
где y – расстояние от центра тяжести сечения до наиболее сжатого слоя бетона обделки.
Условие не выполняется, в этом случае работа сечения обделки приближается к работе изгибаемых элементов.
В этом случае проверка прочности сечения производится по формуле:
;
где m - коэффициент условия работы (m=0,9);
k - коэффициент, учитывающий вид бетона ( k=1 );
Rр - расчетное сопротивление бетона растяжению ( Rр=10кгс/см2 ).
b - ширина сечения ( b=100 см );
h - высота сечения ( см ).
Производим проверку: M=6,051 тс*м ≤ Мп=6,42 тс*м. Проверка выполняется, прочность обделки обеспечена.
Для сечения 13. Проверяем эксцентриситет:
е0=0,2548 м = 25,48 см ≤ 0,9*у =0,9* 0,39=0,43 м = 43 см;
Расчет производится без учета сопротивления бетона растянутой зоны. В этом случае для прямоугольного сечения обделки предельная нормальная сила определяется по формуле: NП = m·k·RПР·b·h*(1-2 e0 η / h),
.
Производим проверку: N=33,366 тс*м ≤ Nп=328 тс*м. Проверка выполняется, прочность обделки обеспечена.
В дальнейшем увеличении толщины обделки нет необходимости, так как при принятых толщинах свода и стен прочность обделки обеспечена.
Участок тоннеля №1: грунт – известняк, f = 4,5.
Для проходки выработок в скальных грунтах с коэффициентом крепости от 2 до 4 при сооружении автодорожного тоннеля применяется уступный способ( см.рис. 4).

Рис.4. Схема сооружения тоннеля уступным способом.
В курсовом проекте одновременно с проходкой колотты(1) на определённом расстоянии от её забоя производим разработку уступа на ширину пролёта выработки(2) и затем по всему периметру выработки за один приём бетонируем обделку(3). Длину уступа принимаем равной 130 м.
Участок тоннеля №2: грунт – гранит, f=14.
При проходке данного участка тоннеля будем использовать способ сплошного забоя, для которого характерно наличие одной плоскости забоя, что упрощает использование для бурения шпуров буровых рам с тяжёлыми высокопроизводительными перфораторами, снабжёнными автоматическим управлением.
Основные работы при этом способе включают только два процесса (см. рис.5):

Рис. 5. Проходка тоннеля в крепком грунте способом сплошного забоя.
разработку грунта 1 с последующей уборкой её и облицовку выработки набрызгбетоном 2.
Участок тоннеля №3: грунт – песчаник, f = 3.
Для проходки выработок в грунтах с коэффициентом крепости от 2 до 4 при сооружении однопутного железнодорожного тоннеля применяется уступный способ( см.рис. 4).
В курсовом проекте одновременно с проходкой колотты(1) на определённом расстоянии от её забоя производим разработку уступа на ширину пролёта выработки(2) и затем по всему периметру выработки за один приём бетонируем обделку(3). Длину уступа принимаем равной 130 м. При этом бетонирование обделки можно вести как за один приём, так и в два: сперва забетонировать свод, а потом стены.
Разработка полускальных и скальных грунтов с коэффициентом крепости более 2 осуществляется буровзрывным способом. В курсовом проекте необходима детальная проработка проекта организации работ на участке с крепостью грунта f = 4,5. Как видно, грунт разрабатываем буровзрывным способом.
В соответствии с геологическими условиями в качестве ВВ выбираем аммонит №6 прессованный со следующими характеристиками:
плотность, ∆=1,25 г/см3=1250 кг/м3;
коэффициент работоспособности, е=0,9;
диаметр патрона, dп = 34 мм.
Определим удельный расход ВВ с учётом его работоспособности по формуле:
;
где е - коэффициент работоспособности ВВ;
ψ - коэффициент влияния плотности заряжения;
ω - коэффициент структуры и трещиноватости грунтового массива;
S - площадь сечения забоя.
Определим линию наименьшего сопротивления (ЛНС) отбойных шпуров по формуле:
;
где к - коэффициент зажима;
d - диаметр шпура, м;
γ - объёмная масса грунта, кг/м3.
Так как при обуривании забоя будем применять мощные бурильные установки и тяжёлые бурильные машины, вруб принимаем прямым призматическим с расстоянием между врубовыми зарядами 25 см с устройством незаряженной скважины в центре.
Расстояние между отбойными шпурами принимаем равным 0,8 м ((0,8-0,95)*W0), между подошвенными - ап=0,8 м ((0,7-0,9)*W0), между контурными – ак=0,58 м (0,6W0).