Многолетней практикой доказано, что для
оборачивания пласта углы наклона образующих верхней части отвала по сравнению с
нижней его частью необходимо увеличивать. Поэтому оборачивающую способность
отвалов принято характеризовать величиной разности между углом θмаx
-наклона верхней образующей и углом θ0
- наклона лезвия лемеха к стенке борозды. Чем эта разница больше, тем оборот
пласта лучше. Графики изменения угла θ
для полувинтовых и культурных отвалов представлены на рисунке 3.4. На нижнем
участке угол θ уменьшается по
закону прямой от θ0 до θмin.
Делается это для обеспечения лучшего «приема» пласта. На верхнем участке
увеличивается от θмin
до θмаx
по параболе:
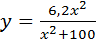
а) для культурных отвалов 
, (3.4)
б) для полувинтовых отвалов
, (3.5)
где х - координата в диаграмме изменения угла θ, мм;
p - численное
значение, мм.

, (3.6)
Координата х в этом уравнение
изменяется от образующей с наименьшим углом θмin, то есть
определяется разностью
x = z - z1, (3.7)
где z - высота образующей над дном борозды, мм.
Координата у показывает изменение
угла θ, начиная от
θмin . При этом
каждый миллиметр по оси y будет изображать λ градусов по
оси θ. Поэтому
координаты y и θ связаны
соотношением:
![]()
,
(3.8)


, (3.9)
где λ - масштабный коэффициент.
У полувинтовых отвалов углы θ (рисунок 3.4) увеличиваются в верхней части отвала. Рыхление почвы, таким образом, уменьшается, но оборачиваемость пласта становится лучше. У культурных типов отвала углы θ увеличиваются в средней части отвала. Рыхление почвы, таким образом, увеличивается.
Рисунок 3.4 - График изменения угла
образующей к стенке борозды
Пласт не должен обратно падать в борозду после прохода плуга. Это возможно только в том случае, если линия действия силы тяжести пласта Gn проходит правее точки D его опоры. Предельный наклон пласта (неустойчивое равновесие) соответствует такому положению, при котором диагонали D1B1, D2B2 и т. д. располагаются вертикально.
Рисунок 3.5 - Профиль дна борозды
Это условие соблюдается, если b/а = К ≥ 1,27, т.е. фактическая глубина вспашки и угол δ наклона пласта не превышают предельно допустимые значения:
Выбирая глубину обработки, необходимо соблюдать условие К >1,27. Для плугов общего назначения с культурными и полувинтовыми отвалами рекомендуется принимать К= 1,3...1,6, с винтовыми - К= 1,75...2,3, для кустарниково-болотных - К = 2...3.
Координата верхней точки Е полевого
обреза отвала Н, мм определяется по формуле:
H = b + ΔH, (3.10)
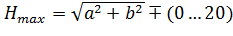
Высота расположения наивысшей точки отвала по
рекомендации профессора Щучкина Н. В.
![]()
![]()
(3.11)
Для обеспечения в многокорпусном плуге перекрытия между корпусами, ширину захвата отвала и лемеха корпуса рекомендуется принимать несколько больше ширины пласта.
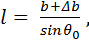
Длина лезвия лемеха l, мм
определяется по формуле:

(3.12)
где ![]()
- перекрытие между рабочими
органами, мм;
. Исходные данные по варианту
тип отвала: культурный;
глубина обработки: а = 130 мм;
величина перекрытия ![]()
мм;
угол, определяющий установку лемеха относительно для борозды: γ = 28⁰;
угол, определяющий положение нижней образующей относительно стенки борозды: θ0 = 42⁰;
угол, определяющий положение верхней образующей относительно стенки борозды: θmax = 45⁰;
наименьший угол наклона образующей к стенке борозды: θmin = 40⁰;
угол, определяющий величину отклонения касательной к направляющей кривой от вертикали: Δγ = 7⁰;
коэффициент пропорциональности: К= 1,4;
отклонение от вертикали верхней точки полевого обреза: n = 10 мм;
длина прямолинейного участка лемеха: S=30 мм;
высота полевого обреза: Н=b+20;
изменение высоты верхнего обрез: ![]()
= 11,34 мм;
ширина лемешной стали t =114 мм.
5 Расчетная часть
Определение ширины захвата
b = amax ![]()
K ≈ 120 ![]()
1,4≈ 182 мм
δ
= arcsin (amax/b) = arcsin 0,714≈ 45,585°
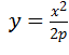
Определение координаты точки Е полевого обреза отвала
Н, мм
H = b+20= 202 мм.
![]()
+![]()
=![]()
Определение радиуса направляющей кривой R,
мм

мм
Определение длины лезвия лемеха ![]()
, мм

.